Spandidos Publications Logo
  • About
    • About Spandidos
    • Aims and Scopes
    • Abstracting and Indexing
    • Editorial Policies
    • Reprints and Permissions
    • Job Opportunities
    • Terms and Conditions
    • Contact
  • Journals
    • All Journals
    • Oncology Letters
      • Oncology Letters
      • Information for Authors
      • Editorial Policies
      • Editorial Board
      • Aims and Scope
      • Abstracting and Indexing
      • Bibliographic Information
      • Archive
    • International Journal of Oncology
      • International Journal of Oncology
      • Information for Authors
      • Editorial Policies
      • Editorial Board
      • Aims and Scope
      • Abstracting and Indexing
      • Bibliographic Information
      • Archive
    • Molecular and Clinical Oncology
      • Molecular and Clinical Oncology
      • Information for Authors
      • Editorial Policies
      • Editorial Board
      • Aims and Scope
      • Abstracting and Indexing
      • Bibliographic Information
      • Archive
    • Experimental and Therapeutic Medicine
      • Experimental and Therapeutic Medicine
      • Information for Authors
      • Editorial Policies
      • Editorial Board
      • Aims and Scope
      • Abstracting and Indexing
      • Bibliographic Information
      • Archive
    • International Journal of Molecular Medicine
      • International Journal of Molecular Medicine
      • Information for Authors
      • Editorial Policies
      • Editorial Board
      • Aims and Scope
      • Abstracting and Indexing
      • Bibliographic Information
      • Archive
    • Biomedical Reports
      • Biomedical Reports
      • Information for Authors
      • Editorial Policies
      • Editorial Board
      • Aims and Scope
      • Abstracting and Indexing
      • Bibliographic Information
      • Archive
    • Oncology Reports
      • Oncology Reports
      • Information for Authors
      • Editorial Policies
      • Editorial Board
      • Aims and Scope
      • Abstracting and Indexing
      • Bibliographic Information
      • Archive
    • Molecular Medicine Reports
      • Molecular Medicine Reports
      • Information for Authors
      • Editorial Policies
      • Editorial Board
      • Aims and Scope
      • Abstracting and Indexing
      • Bibliographic Information
      • Archive
    • World Academy of Sciences Journal
      • World Academy of Sciences Journal
      • Information for Authors
      • Editorial Policies
      • Editorial Board
      • Aims and Scope
      • Abstracting and Indexing
      • Bibliographic Information
      • Archive
    • International Journal of Functional Nutrition
      • International Journal of Functional Nutrition
      • Information for Authors
      • Editorial Policies
      • Editorial Board
      • Aims and Scope
      • Abstracting and Indexing
      • Bibliographic Information
      • Archive
    • International Journal of Epigenetics
      • International Journal of Epigenetics
      • Information for Authors
      • Editorial Policies
      • Editorial Board
      • Aims and Scope
      • Abstracting and Indexing
      • Bibliographic Information
      • Archive
    • Medicine International
      • Medicine International
      • Information for Authors
      • Editorial Policies
      • Editorial Board
      • Aims and Scope
      • Abstracting and Indexing
      • Bibliographic Information
      • Archive
  • Articles
  • Information
    • Information for Authors
    • Information for Reviewers
    • Information for Librarians
    • Information for Advertisers
    • Conferences
  • Language Editing
Spandidos Publications Logo
  • About
    • About Spandidos
    • Aims and Scopes
    • Abstracting and Indexing
    • Editorial Policies
    • Reprints and Permissions
    • Job Opportunities
    • Terms and Conditions
    • Contact
  • Journals
    • All Journals
    • Biomedical Reports
      • Information for Authors
      • Editorial Policies
      • Editorial Board
      • Aims and Scope
      • Abstracting and Indexing
      • Bibliographic Information
      • Archive
    • Experimental and Therapeutic Medicine
      • Information for Authors
      • Editorial Policies
      • Editorial Board
      • Aims and Scope
      • Abstracting and Indexing
      • Bibliographic Information
      • Archive
    • International Journal of Epigenetics
      • Information for Authors
      • Editorial Policies
      • Editorial Board
      • Aims and Scope
      • Abstracting and Indexing
      • Bibliographic Information
      • Archive
    • International Journal of Functional Nutrition
      • Information for Authors
      • Editorial Policies
      • Editorial Board
      • Aims and Scope
      • Abstracting and Indexing
      • Bibliographic Information
      • Archive
    • International Journal of Molecular Medicine
      • Information for Authors
      • Editorial Policies
      • Editorial Board
      • Aims and Scope
      • Abstracting and Indexing
      • Bibliographic Information
      • Archive
    • International Journal of Oncology
      • Information for Authors
      • Editorial Policies
      • Editorial Board
      • Aims and Scope
      • Abstracting and Indexing
      • Bibliographic Information
      • Archive
    • Medicine International
      • Information for Authors
      • Editorial Policies
      • Editorial Board
      • Aims and Scope
      • Abstracting and Indexing
      • Bibliographic Information
      • Archive
    • Molecular and Clinical Oncology
      • Information for Authors
      • Editorial Policies
      • Editorial Board
      • Aims and Scope
      • Abstracting and Indexing
      • Bibliographic Information
      • Archive
    • Molecular Medicine Reports
      • Information for Authors
      • Editorial Policies
      • Editorial Board
      • Aims and Scope
      • Abstracting and Indexing
      • Bibliographic Information
      • Archive
    • Oncology Letters
      • Information for Authors
      • Editorial Policies
      • Editorial Board
      • Aims and Scope
      • Abstracting and Indexing
      • Bibliographic Information
      • Archive
    • Oncology Reports
      • Information for Authors
      • Editorial Policies
      • Editorial Board
      • Aims and Scope
      • Abstracting and Indexing
      • Bibliographic Information
      • Archive
    • World Academy of Sciences Journal
      • Information for Authors
      • Editorial Policies
      • Editorial Board
      • Aims and Scope
      • Abstracting and Indexing
      • Bibliographic Information
      • Archive
  • Articles
  • Information
    • For Authors
    • For Reviewers
    • For Librarians
    • For Advertisers
    • Conferences
  • Language Editing
Login Register Submit
  • This site uses cookies
  • You can change your cookie settings at any time by following the instructions in our Cookie Policy. To find out more, you may read our Privacy Policy.

    I agree
Search articles by DOI, keyword, author or affiliation
Search
Advanced Search
presentation
Oncology Reports
Join Editorial Board Propose a Special Issue
Print ISSN: 1021-335X Online ISSN: 1791-2431
Journal Cover
September 2012 Volume 28 Issue 3

Full Size Image

Sign up for eToc alerts
Recommend to Library

Journals

International Journal of Molecular Medicine

International Journal of Molecular Medicine

International Journal of Molecular Medicine is an international journal devoted to molecular mechanisms of human disease.

International Journal of Oncology

International Journal of Oncology

International Journal of Oncology is an international journal devoted to oncology research and cancer treatment.

Molecular Medicine Reports

Molecular Medicine Reports

Covers molecular medicine topics such as pharmacology, pathology, genetics, neuroscience, infectious diseases, molecular cardiology, and molecular surgery.

Oncology Reports

Oncology Reports

Oncology Reports is an international journal devoted to fundamental and applied research in Oncology.

Experimental and Therapeutic Medicine

Experimental and Therapeutic Medicine

Experimental and Therapeutic Medicine is an international journal devoted to laboratory and clinical medicine.

Oncology Letters

Oncology Letters

Oncology Letters is an international journal devoted to Experimental and Clinical Oncology.

Biomedical Reports

Biomedical Reports

Explores a wide range of biological and medical fields, including pharmacology, genetics, microbiology, neuroscience, and molecular cardiology.

Molecular and Clinical Oncology

Molecular and Clinical Oncology

International journal addressing all aspects of oncology research, from tumorigenesis and oncogenes to chemotherapy and metastasis.

World Academy of Sciences Journal

World Academy of Sciences Journal

Multidisciplinary open-access journal spanning biochemistry, genetics, neuroscience, environmental health, and synthetic biology.

International Journal of Functional Nutrition

International Journal of Functional Nutrition

Open-access journal combining biochemistry, pharmacology, immunology, and genetics to advance health through functional nutrition.

International Journal of Epigenetics

International Journal of Epigenetics

Publishes open-access research on using epigenetics to advance understanding and treatment of human disease.

Medicine International

Medicine International

An International Open Access Journal Devoted to General Medicine.

Journal Cover
September 2012 Volume 28 Issue 3

Full Size Image

Sign up for eToc alerts
Recommend to Library

  • Article
  • Citations
    • Cite This Article
    • Download Citation
    • Create Citation Alert
    • Remove Citation Alert
    • Cited By
  • Similar Articles
    • Related Articles (in Spandidos Publications)
    • Similar Articles (Google Scholar)
    • Similar Articles (PubMed)
  • Download PDF
  • Download XML
  • View XML
Article Open Access

Modulation of u-PA, MMPs and their inhibitors by a novel nutrient mixture in human female cancer cell lines

  • Authors:
    • M. Waheed Roomi
    • Tatiana Kalinovsky
    • Matthias Rath
    • Aleksandra Niedzwiecki
  • View Affiliations

    Affiliations: Dr. Rath Research Institute, Santa Clara, CA, USA
  • Published online on: June 20, 2012     https://doi.org/10.3892/or.2012.1879
  • Pages: 768-776
  • Copyright: © Roomi et al. This is an open access article distributed under the terms of Creative Commons Attribution License [CC BY_NC 3.0].

Metrics: Total Views: 0 (Spandidos Publications: | PMC Statistics: )
Metrics: Total PDF Downloads: 0 (Spandidos Publications: | PMC Statistics: )
Cited By (CrossRef): 0 citations Loading Articles...

This article is mentioned in:



Abstract

Cancers of the breast, cervix, uterus and ovary are the most prevalent cancers in women worldwide. Proteases play a key role in tumor cell invasion and metastasis by digesting the basement membrane and ECM components. Strong clinical and experimental evidence demonstrates association of elevated levels of urokinase plasminogen activators (u-PA) and matrix metalloproteinases (MMPs) with cancer progression, metastasis and shortened patient survival. MMP activities are regulated by specific tissue inhibitors of metalloproteinases (TIMPs). Our main objective was to study the effect of a nutrient mixture (NM) on the activity of u-PA, MMPs and TIMPs in human breast, cervix, uterine and ovarian cancer cell lines. Human breast (MDA-MB-231 and MCF-7), cervical (HeLa), uterine (SK-UT-1) and ovarian (SKOV3) cancer cell lines were cultured in their respective media and treated at confluence with NM at 0, 50, 100, 250, 500 and 1000 µg/ml. Analysis of u-PA activity was carried out by fibrin zymography, MMPs by gelatinase zymography and TIMPs by reverse zymography. Both breast and uterine cancer cell lines expressed u-PA, which was inhibited by NM in a dose-dependent manner. However, no bands corresponding to u-PA were detected for HeLa and SK-OV-3 cell lines. On gelatinase zymography, MDA-MB-231 and MCF-7 showed one band corresponding to MMP-9, HeLa showed two bands, an intense band corresponding to MMP-2 and a faint band corresponding to MMP-9, SK-UT-1 showed PMA-induced MMP-9, and SK-OV-3 showed a band corresponding to MMP-2. NM inhibited their expression in all cell lines. The activity of TIMPs was upregulated in all cancer cell lines in a dose-dependent manner. Analysis revealed a positive correlation between u-PA and MMPs and a negative correlation between u-PA/MMPs and TIMPs. These findings suggest the therapeutic potential of NM in the treatment of female cancers.

Introduction

Breast cancer is the most prevalent cancer in women worldwide, and the leading cause of cancer death in women, accounting for 23% of the total new cancer cases and 14% of total cancer deaths (1). About 12% of women in the United States will develop invasive breast cancer over the course of their lifetime. About 39,520 women in the US were expected to die in 2011 from breast cancer (2). Though treatable in early stages, once metastasis has occurred the survival rate is drastically reduced to a median of 2–3 years and treatment focuses on palliative care (3). Endometrial cancer is the most common cancer of the female reproductive organs, with most cases diagnosed in the 50 to 69 age group. Approximately 46, 470 new cases are estimated to be diagnosed in 2011 and 8,120 deaths (4). Cervical cancer is the third most commonly diagnosed cancer and the fourth leading cause of deaths in females worldwide, with more than 85% of associated deaths occurring in developing countries (1). Cervical cancer develops slowly, taking 10–15 years to develop into cancer from a pre-cancerous condition called dysplasia. Though fully treatable in early stages, once the cancer has metastasized, patient outcome is poor. Ovarian carcinoma, which occurs mainly in post-menopausal women, is the ninth most common cancer among women and the fifth leading cause of death among women worldwide (5). Since ovarian cancer often remains clinically silent, the majority of patients with ovarian carcinoma have advanced intraperitoneal metastatic disease at diagnosis, resulting in a poor prognosis. About 80% of ovarian cancer cases are diagnosed at an advanced stage after metastasis has occurred (5).

Progression of metastasis occurs secondary to cancer cell detachment from the primary tumor, basement membrane degradation, cancer cell invasion into the surrounding stroma, and entry into and transport through the vascular or lymphatic system to distal sites such as the liver, lungs, and brain, and extravasation, tumor cell proliferation and angiogenesis at distal sites (6–10). Tumor cell invasion depends upon degradation of the extracellular matrix (ECM), which is composed of collagen, proteoglycans, fibronectin, laminin and other glycoproteins, and, when intact, acts as a barrier to block cancer cell invasion (11–13). Two families of proteases, the MMPs and urokinase plasminogen activators (u-PA) are involved in tumor invasion and metastasis. Numerous clinical and experimental studies have demonstrated that elevated levels of u-PA and MMPs are associated with tumor growth, cancer progression, metastasis and shortened survival in patients (14–27).

MMPs, especially MMP-2 and MMP-9 play key roles in tumor cell invasion and metastasis due to their ability to degrade type IV collagen, a major component of the ECM (13,28,29). Secreted in their latent zymogenic form as inactive pro-enzymes, MMP-2 and MMP-9 are cleaved by other MMPs or proteases to yield the activated forms of 68, 58, and 54 kDa for MMP-2, and 84 kDa for MMP-9. Proteolytic activities of MMP-2 and MMP-9 are inhibited by specific inhibitors, tissue inhibitors of metalloproteinases (TIMPs). Thus, a critical determinant of net proteolytic degradation is the balance between MMP and TIMP levels. Clinical studies note the association of MMP expression with progression of breast (18–20), cervical (21,22), uterine (24) and ovarian (23,25) cancers.

The serine protease u-PA consists of two disulfide bridges linked to polypeptides, which are cleaved to the active chain (33kDa) by various stimuli. The protease u-PA converts plasminogen to plasmin, which is capable of promoting tumor growth and angiogenesis, degrading the ECM and basement membrane and activating pro-MMPs (30). Synthetic u-PA inhibitors have been reported to inhibit metastasis of mammary carcinoma cell lines (31). Clinical studies have shown that high uPA levels are correlated with progression of female cancers (25–27,32,33).

Rath and Pauling (34) proposed that nutrients such as lysine and ascorbic acid be utilized to target plasmin-mediated connective tissue degradation as a universal approach to tumor growth and expansion. Binding to plasminogen active sites, lysine blocks plasminogen activation into plasmin by tissue plasminogen activator (t-PA). Thus it modulates the plasmin-induced MMP activation cascade (35). Subsequent studies confirmed this approach and resulted in identifying a novel formulation composed of lysine, ascorbic acid, proline and green tea extract and other micronutrients (NM), which has shown significant anticancer activity against a large number (~40) of cancer cell lines, blocking cancer growth, tissue invasion and MMP expression both in vitro and in vivo(36). In this study, we focused on the modulating effect of NM on the activities of MMP-2 and -9, TIMPs and u-PA in human breast (MBA-MD-231, MCF-7), cervical (HeLa), uterine (SK-UT-1) and ovarian (SK-OV-3) cancer cell lines.

Methods and materials

Materials

Human breast cancer cells MDA-MB-231 and MCF-7, cervical cancer cells HeLa, uterine leimyosarcoma SK-UT-1 and ovarian cancer cells SK-OV-3, along with their culture media were obtained from ATCC. Antibiotics, penicillin, and fetal bovine serum (FBS), were obtained from Gibco (BRL, Long Island, NY). Twenty-four-well tissue culture plates were obtained from Costar (Cambrdige, MA). Gelatinase zymography was performed in 10% Novex pre-cast SDS polyacrylamide gel (Invitrogen Inc.) with 0.1% gelatin in non-reducing conditions. The nutrient mixture (NM), prepared by VitaTech (Hayward, CA) was composed of the following ingredients in the relative amounts indicated: vitamin C (as ascorbic acid and as Mg, Ca, and palmitate ascorbate) 700 mg; L-lysine 1000 mg; L-proline 750 mg; L-arginine 500 mg; N-acetyl cysteine 200 mg; standardized green tea extract (80% polyphenol) 1000 mg; selenium 30 μg; copper 2 mg; manganese 1 mg. All other reagents used were of high quality and were obtained from Sigma, unless otherwise indicated.

Cell cultures

Human breast cancer cell lines MDA-MB-231 and MCF-7 and cervical cancer cell line HeLa were grown in MEM, uterine cell line SK-UT-1 in DEME and ovarian cancer cell line SK-OV-3 in McCoy medium supplemented with 10% FBS, penicillin (100 U/ml), and streptomycin (100 μg/ml) in 24-well tissue culture plates. The cells were plated at a density of 1×105 cells/ml and grown to confluency in a humidified atmosphere at 5% CO2 at 37°C. Serum-supplemented media were removed and the cell monolayer was washed once with PBS with the recommended serum-free media. The cells were treated with the nutrient mixture, dissolved in media and tested at 0, 50, 100, 250, 500, and 1000 μg/ml in triplicate at each dose. Parallel sets of cultures were treated with PMA (100 ng/ml) for induction of MMP-9. Control and PMA treatments were done in triplicates. The plates were then returned to the incubator. The conditioned media were collected separately, pooled, and centrifuged at 4°C for 10 min at 3000 rpm to remove cells and cell debris. The supernatant was collected and used to assess for u-PA activity (by fibrin zymography on 10% SDS-PAGE gels containing fibrinogen and plasminogen), MMP-2 and -9 (by gelatinase zymography), and TIMPs (by reverse zymography).

Fibrin zymography

Fibrin zymography was used to analyze u-PA activity on 10% SDS-PAGE gels containing fibrinogen (5.5 mg/ml) and plasminogen (50 μg/ml). After electrophoresis, the gels were washed twice with 2.5% Triton X-100 for 30 min. The gels were then incubated overnight at 37°C with 0.1% glycine buffer pH 7.5 and then stained with 0.5% Coomassie Brilliant Blue R250 and destained. Electrophoresis of u-PA and t-PA were conducted for comparison. Fibrin zymograms were scanned using CanoScan 9950F Canon Scanner.

Gelatinase zymography

Gelatinase zymography was performed in 10% NOVEX Pre-Cast SDS polyacrylamide gel (Invitrogen Corporation) in the presence of 0.1% gelatin under non-reducing conditions. Culture media (20 μl) were mixed with sample buffer and loaded for SDS-PAGE with tris glycine SDS buffer as suggested by the manufacturer (Novex). Samples were not boiled before electrophoresis. Following electrophoresis the gels were washed twice in 2.5% Triton X-100 for 30 min at room temperature to remove SDS. The gels were then incubated at 37°C overnight in substrate buffer containing 50 mM Tris-HCl and 10 mM CaCl2 at pH 8.0 and stained with 0.5% Coomassie Blue R250 in 50% methanol and 10% glacial acetic acid for 30 min and destained. Upon renaturation of the enzyme, the gelatinases digest the gelatin in the gel and give clear bands against an intensely stained background. Protein standards were run concurrently and approximate molecular weights were determined by plotting the relative mobilities of known proteins.

Reverse zymography

TIMPS were analyzed by reverse zymography on 15% SDS gels containing serum-free conditioned medium from cells. After electrophoresis the gels were washed twice with 2.5% Triton-X for 30 min at room temperature to remove SDS. The gels were then incubated at 37°C overnight in 50 mM Tris-HCl and 10 mM CaCl2 at pH 7.6 and stained with 0.5% Coomassie Blue R25, destained and scanned.

Scanning of gelatinase and fibrin zymograms

Gelatinase and fibrin zymograms were scanned using CanoScan 9950F Canon scanner at 300 dpi. The intensity of the bands was evaluated using the pixel-based densitometer program Un-Scan-It, Version 5.1, 32-bit, by Silk Scientific Corporation (Orem, UT, USA), at a resolution of 1 Scanner Unit (1/100 of an inch for an image that was scanned at 100 dpi). The pixel densitometer calculates the optical density of each pixel (values 0 to 255) using the darkly stained background of the gel as a pixel value of 0. A logarithmic optical density scale was used since the optical density of films and gels is logarithmically proportional to the concentration. The pixel densitometer sums the optical density of each pixel to give a band’s density. In all graphs, band densities were reported as percentages of the sums of all pixels in a given lane (treatment) of a gel.

Statistical analysis

Pearson’s correlation coefficient was determined between mean MMP-9, u-PA and TIMP-2 expression of breast cancer cell lines MDA-MB-231 and MCF-7 and uterine cell line SK-UT-1 and between mean MMP-2 and TIMP-2 expression of cervical cell line HeLa and ovarian cancer SK-OV-3 using MedCalc Software (Mariakerke, Belgium).

Results

Effect of NM on u-PA activity in human breast, cervical, uterine and ovarian cell lines

Activity of u-PA was detected in both breast cancer cell lines and in the uterine cell line showing two bands corresponding to 55 and 33 kD. NM exerted dose response inhibition with virtual block of u-PA activity at 100 μg/ml in SK-UT-1 cells (linear trend R2=0.461) and in MCF-7 cells (linear trend R2=0.656), and at 500 μg/ml (linear trend R2=0.813) in MDA-MB-231 cells. See Fig. 1 for respective fibrin zymograms and densitometry analyses. However, no bands corresponding to u-PA were detected for HeLa and SK-OV-3 cell lines.

Figure 1

Effect of NM on breast cancer cell lines MDA-MB-231 and MCF-7 and uterine cancer cell line SK-UT-1 u-PA expression. Fibrin zymograms of MDA-MB-231 (A), MCF-7 (B) and SK-UT-1 (C) u-PA expression. Lane: 1, t-PA; 2, u-PA; 3, Markers; 4, Control, 5–9 NM 50, 100, 250, 500, 1000 μg/ml. Densitometric analyses of MDA-MB-231 (D), MCF-7 (E) and SK-UT-1 (F) u-PA expression.

Effect of NM on MMP-2 and MMP-9 expression by human breast cervical and ovarian cancer cell lines

On gelatinase zymography, a band corresponding to MMP-9 was detected in both MDA-MB-231 and MCF-7 cell lines. Cervical HeLa cells showed two bands, an intense band corresponding to MMP-2 and a faint band corresponding to MMP-9, which was enhanced with PMA treatment. Normal uterine SK-UT-1 cells did not express MMP-2 or MMP-9; however, MMP-9 was induced with PMA. Ovarian SK-OV-3 cells showed only a band corresponding to MMP-2. NM inhibited MMP expression in all cell lines, with complete block of MMP-9 in breast cancer cells at 100 μg/ml and in uterine and cervical cells at 500 μg/ml. NM blocked MMP-2 expression in ovarian and cervical cell lines at 100 and 1000 μg/ml, respectively. See Figs. 2–4 for gelatinase zymograms and densitometry analyses.

Figure 2

Effects of NM on breast cancer cell lines MDA-MB-231 and MCF-7 MMP-9 expression. Gelatinase zymograms of PMA-treated MDA-MB-231 cell MMP-9 secretion (A) and normal MCF-7 cell MMP-9 secretion (B). Lane: 1, Markers; 2, Control, 3–7 NM 50, 100, 250, 500, 1000 μg/ml. Densitometric analyses of PMA-treated MDA-MB-231 MMP-9 secretion (C) and normal MCF-7 MMP-9 secretion (D).

Figure 4

Effects of NM on ovarian cancer cell line SK-OV-3 and uterine cell line SK-UT-1 MMP-2 and -9 expression. Gelatinase zymograms of normal SK-OV-3 MMP-2 secretion (A) and PMA-treated SK-UT-1 cell MMP-9 secretion (B). Lane: 1, Markers; 2, Control, 3–7 NM 50, 100, 250, 500, 1000 μg/ml. Densitometric analyses of normal SK-OV-3 MMP-2 secretion (C) and PMA-treated SK-UT-1 MMP-9 secretion (D).

Effect of NM on TIMPs activity in human breast, cervical and ovarian cancer cell lines

Reverse zymography revealed up regulation of TIMP-2 activity with NM treatment in all cancer cell lines in a dose-dependent manner. Minimum activity was expressed at 50 and maximum at 1000 μg/ml NM. See Figs. 5 and 6 for respective reverse zymograms and densitometry analyses.

Figure 5

Effect of NM on breast cancer cell lines MDA-MB-231 and MCF-7 TIMP-2 expression. Gelatinase zymograms of MDA-MB-231 TIMP-2 expression (A) and MCF-7 TIMP-2 expression (B). Lane: 1, Markers; 2, Control, 3–7 NM 50, 100, 250, 500, 1000 μg/ml. Densitometric analyses of MDA-MB-231 TIMP-2 expression (C) and MCF-7 TIMP-2 expression (D).

Figure 6

Effect of NM on cervical cancer cell line HeLa, ovarian cancer cell line SK-OV-3 and uterine cancer cell line SK-UT-1 TIMP-2 expression. Gelatinase zymograms of HeLa TIMP-2 expression (A) SK-OV-3 TIMP-2 expression (B) and SK-UT-1 TIMP-2 expression (C) Lane: 1, Markers; 2, Control, 3–7 NM 50, 100, 250, 500, 1000 μg/ml. Densitometric analyses of HeLa TIMP-2 expression (D), SK-OV-3 TIMP-2 expression (E) and SK-UT-1 TIMP-2 expression (F).

Correlation between female cancer cell lines u-PA, TIMP-2 and MMP expressions

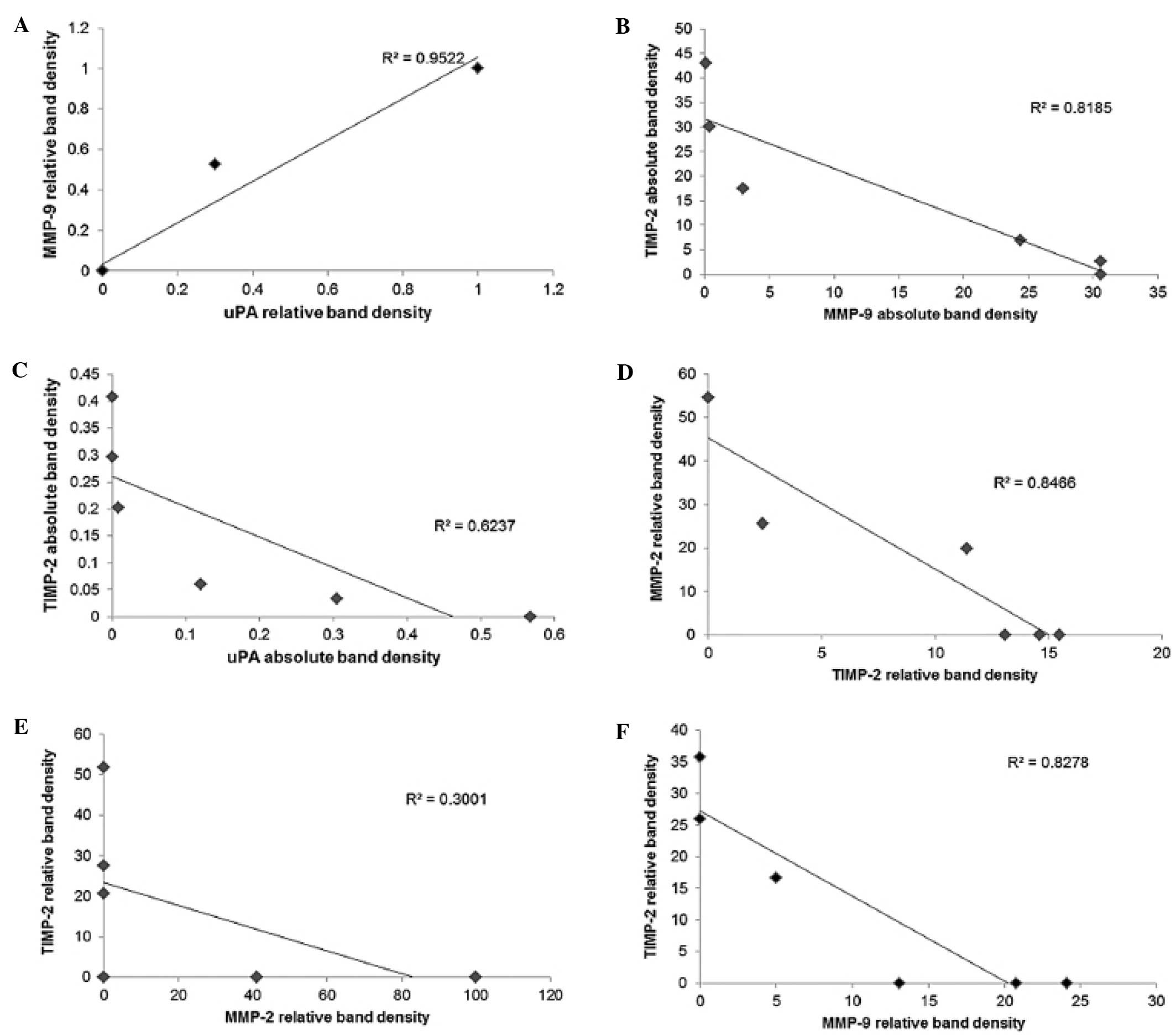
Analysis revealed a positive correlation between NM-treated breast cancer cell line MCF-7 u-PA and MMP expressions, as shown in Fig. 7A, with a correlation coefficient r=0.976. A negative correlation (correlation coefficient r= −0.904) was found between the expressions of MCF-7 u-PA and MMP-9 (Fig. 7B). A negative correlation (correlation coefficient r= −0.790) was found between MBA-MB-231 expression of TIMP-2 and u-PA (Fig. 7C). Negative correlations were found between HeLa expression of TIMP-2 and MMP-2 (correlation coefficient r= −0.820) and between SK-OV-3 TIMP-2 and MMP-2 (correlation coefficient r= −0.548), as shown in Fig. 7D and E, respectively. A negative correlation was found between uterine SK-UT-1 cell TIMP-2 and MMP-9 (r= −0.910), as shown in Fig. 7F; Table I).

Figure 7

(A) Correlation between the effects of NM on breast cancer MCF-7 u-PA and MMP-9 expression. (B) Correlation between the effects of NM on breast cancer MCF-7 TIMP-2 and MMP-9 expression. (C) Correlation between the effects of NM on breast cancer MDA-MB-231 TIMP-2 and u-PA expression. (D) Correlation between the effects of NM on cervical cancer HeLa MMP-2 and TIMP-2 expression. (E) Correlation between the effects of NM on ovarian cancer SK-OV-3 TIMP-2 and MMP-2 expression. (F) Correlation between the effects of NM on uterine cancer SK-UT-1 MMP-9 and u-PA expression.

Table I

Overview of MMP-2 and -9, u-PA and TIMP-2 expression of female cancer cell lines.

Table I

Overview of MMP-2 and -9, u-PA and TIMP-2 expression of female cancer cell lines.

Cancer cell lineMMP-2MMP-9u-PATIMP-2
Breast cancer MDA-MB-231−+++
Breast cancer MCF-7−+++
Cervical cancer HeLa++−+
Ovarian cancer SK-OV-3+−−+
Uterine cancer SK-UT-1−With PMA induction++

Discussion

Critical events in tumor cell invasion include cell attachment, degradation of the ECM and migration through the disrupted matrix. The two families of proteases, matrix metalloproteinases and urokinase plasminogen activators play key roles in tumor cell invasion. Experimental studies have demonstrated the role of urokinase plasminogen, especially cell surface u-PA, as an initiator of ECM proteolysis and associated tumor cell invasion (35). The protease u-PA converts plasminogen to plasmin, which is capable of promoting tumor growth and angiogenesis, degrading the ECM and basement membrane and activating pro-MMPs (30). Duffy first reported the prognostic value of u-PA in breast cancer patients, showing a positive correlation between high levels of u-PA and cancer progression (32). High u-PA levels have been reported to be prognostic indicators of increased risk of endometrial cancer progression (26,27). High levels of u-PA in cervical cancer patients have also been reported to be correlated with pelvic lymph node metastasis (17) and were reported to predict survival in advanced ovarian cancer patients after radical surgery and chemotherapy (33). Matrix metalloproteinases, especially MMP-2 and MMP-9 play pivotal roles in tumor cell invasion and metastasis due to their ability to degrade type IV collagen, a major component of the ECM. Overproduction of MMPs, especially MMP-2 and -9 has been associated with a more aggressive behavior of female cancers (18,22–24).

Our study demonstrated that the specific mixture of nutrients tested significantly inhibited breast cancer cell MDA-MB-231 and MCF-7 u-PA secretion. (Cervical cancer HeLa and ovarian cancer SK-OV-3 cells were not found to secrete u-PA in this study). Furthermore, the NM demonstrated dose-dependent decrease in MMP secretion and increase in TIMP-2 secretion by all these female cancer cells. As expected, a significant positive correlation was found between the secretion of u-PA and MMPs and a significant negative correlation between u-PA and TIMP-2 secretion by NM treatment of breast cancer cells. As anticipated, a significant negative correlation was found between MMP and TIMP-2 secretion by all the female cancer cell lines tested. Furthermore, a previous study demonstrated significant correlation between NM inhibition of Matrigel invasion and NM modulation of the MMP-2 and -9 activity of the female cancer cells lines studied (37). A significant negative correlation was found between NM modulation of Matrigel invasion inhibition and MMP-9 secretion with breast cancer MDA-MB-231 (r= − 0.851) and MCF-7 (r= −0.993) cell lines and with uterine cancer SK-UT-1 cell line (r= −0.910). For cervical HeLa cells and ovarian SK-OV-3 cells, negative correlations (r= −0.924 and r= −0.812, respectively) were found between NM modulation of Matrigel invasion inhibition and MMP-2 secretion. A previous in vivo study of the effects of NM on breast cancer supports these results in that it demonstrated significant inhibition of MDA-MB-231 xenograft tumor growth in nude mice and inhibition of MMP-9 and VEGF secretion and mitosis in the tissue of nutrient-supplemented mice (38).

In contrast to the associated toxicity and limited efficacy of standard cancer chemotherapy and radiation therapy, extensive research has documented the efficacy and safety of dietary and botanical natural compounds in cancer prevention (39). The nutrient mixture was formulated by selecting nutrients that act on critical physiological targets in cancer progression and metastasis, as documented in both clinical and experimental studies. Combining these micronutrients expands metabolic targets, maximizing biological impact with lower doses of components. For example, a previous study of the comparative effects of NM, green tea extract and EGCG on inhibition of MMP-2 and MMP-9 secretion of different cancer cell lines with varying MMP secretion patterns, documented the superior potency of NM over GTE and EGCG at equivalent doses (40). These results can be understood from the more comprehensive treatment offered by the combination of nutrients in NM over individual components of NM since MMP-2 and MMP-9 are mediated by differential pathways.

Optimal ECM structure depends upon adequate supplies of ascorbic acid and the amino acids lysine and proline to ensure proper synthesis and hydroxylation of collagen fibers. In addition, lysine contributes to ECM stability as a natural inhibitor of plasmin-induced proteolysis (34,41). Manganese and copper are also essential for collagen formation. There is considerable documentation of the potency of green tea extract in modulating cancer cell growth, metastasis, angiogenesis, and other aspects of cancer progression (42–48). N-acetyl cysteine and selenium have demonstrated inhibition of tumor cell MMP-9 and invasive activities, as well as migration of endothelial cells through ECM (49–51). Ascorbic acid demonstrates cytotoxic and antimetastatic actions on malignant cell lines (52–56) and cancer patients have been found to have low levels of ascorbic acid (57,58). Low levels of arginine, a precursor of nitric oxide (NO), can limit the production of NO, which has been shown to predominantly act as an inducer of apoptosis (59).

In conclusion, the NM demonstrated potent anticancer activity by targeting primary mechanisms responsible for the aggressive spread of breast, uterine, cervical and ovarian cancer. In this in vitro study, the NM significantly inhibited breast cancer cell lines MDA-MB-231 and MCF-7 and uterine cell line SK-UT-1 secretion of u-PA and MMP-9 and increased their secretion of TIMP-2, suggesting its potential in modulating breast and uterine cancer invasion and metastasis. Cervical HeLa and ovarian SK-OV-3 cell lines did not secrete u-PA; however, secretion by these cell lines of MMP-2 was inhibited by NM and secretion of TIMP-2 was enhanced by NM. With all these female cancer cell lines, NM inhibition of MMP secretion was found to be correlated significantly with Matrigel invasion of these cell lines. Furthermore, use of the nutrient mixture would not pose any toxic effect clinically, especially in the relevant doses, as in vivo safety studies demonstrate. An in vivo toxicology study showed that NM had no adverse effects on vital organs (heart, liver, and kidney), or on the associated functional serum enzymes (60).

Acknowledgements

Mr. J. Monterrey provided assistance in scanning the gels. The study was funded by Dr. Rath Health Foundation (Santa Clara, CA, USA) a non-profit organization.

References

1 

Jemal A, Bray F, Center MM, Ferley J, Ward E and Forman D: Global cancer statistics. CA Cancer J Clin. 61:69–90. 2011. View Article : Google Scholar

2 

Breastcancer.org. U.S. Breast Cancer Statistics. http://www.breastcancer.org/symptoms/understand_bc/statistics.jsp. Accessed December 21, 2011

3 

Ali SM, Harvey HA and Lipton A: Metastatic breast cancer: overview of treatment. Clin Orthop. 414:S132–S137. 2003. View Article : Google Scholar

4 

Endometrial (Uterine) Cancer. What are the key statistics about endometrial cancer? http://www.cancer.org/Cancer/EndometrialCancer/DetailedGuide/endometrial-uterine-cancer-key-statistics. Accessed January 20, 2012

5 

Ovarian Cancer National Alliance. Ovarian Cancer Statistics. http://www.ovariancancer.org/about-ovarian-cancer/statsitics/. Accessed December 28, 2011

6 

Fidler IJ: Molecular biology of cancer: invasion and metastasis. Cancer: Principles and Practice of Oncology. De Vita VT, Hellman S and Rosenberg SA: 5th edition. Lippincott-Raven; Philadelphia, PA: pp. 135–152. 1997

7 

Egeblad M and Werb Z: New functions for the matrix metalloproteinases in cancer progression. Nat Rev Cancer. 2:161–174. 2002. View Article : Google Scholar : PubMed/NCBI

8 

Folkman J: Role of angiogenesis in tumor growth and metastasis. Semin Oncol. 29(Suppl 16): 15–18. 2002. View Article : Google Scholar : PubMed/NCBI

9 

Chambers AF and Matrisian LM: Changing views on the role of matrix metalloproteinases in metastasis. J Natl Cancer Inst. 89:1260–1270. 1997. View Article : Google Scholar : PubMed/NCBI

10 

Kleiner DL and Stetler-Stevenson WG: Matrix metalloproteinases and metastasis. Cancer Chemother Pharmacol. 43:S42–S51. 1999. View Article : Google Scholar

11 

Yurchenko PD and Schitny JC: Molecular architecture of basement membranes. FASEB J. 4:1577–1590. 1990.PubMed/NCBI

12 

Barsky SH, Siegel GP, Jannotta F and Liotta LA: Loss of basement membrane components by invasive tumors but not by their benign counterparts. Lab Invest. 49:140–147. 1983.PubMed/NCBI

13 

Liotta LA, Tryggvason K, Garbisa A, Hart I, Foltz CM and Shafie S: Metastatic potential correlates with enzymatic degradation of basement membrane collagen. Nature. 284:67–68. 1980. View Article : Google Scholar : PubMed/NCBI

14 

Nelson AR, Fingleton B, Rothenberg ML and Matrisian LM: Matrix metalloproteinases: biologic activity and clinical implications. J Clin Oncol. 18:1135–1149. 2000.PubMed/NCBI

15 

Bérubé M, Deschambeault A, Boucher M, Germain L, Petitclerc E and Guérin SL: MMP-2 expression in uveal melanoma: differential activation status dictated by the cellular environment. Mol Vis. 11:1101–1111. 2005.PubMed/NCBI

16 

Garzetti G, Ciavattini A, Lucarini G, Goteri G, de Nicolis M, Garbisa S, Masiero L, Romanini C and Graziella B: Tissue and serum metalloproteinase (MMP-2) expression in advanced ovarian serous cystadenocarcinomas: clinical and prognostic implications. Anticancer Res. 15:2799–2804. 1995.PubMed/NCBI

17 

Sugimura M, Kobayashi H, Kanayama N and Terao T: Clinical significance of urokinase-type plasminogen activator (uPA) in invasive cervical cancer of the uterus. Gynecol Oncol. 46:330–336. 1992. View Article : Google Scholar : PubMed/NCBI

18 

Bachmeier BE, Nerlich AG, Lichtinghagen R and Sommerhoff CP: Matrix metalloproteinases (MMPs) in breast cancer cell lines of different tumorigenicity. Anticancer Res. 6A:3821–3828. 2001.PubMed/NCBI

19 

Pellikainen JM, Ropponen KM, Kataja VV, Kellokoski JK, Eskelinen MJ and Kosma VM: Expression of matrix metalloproteinase (MMP)-2 and MMP-9 in breast cancer with a special reference to activator protein-2, HER-2, and prognosis. Clin Cancer Res. 10:7621–7628. 2004. View Article : Google Scholar : PubMed/NCBI

20 

Scorilas A, Karameris A, Arnogiannaki N, Ardavanis A, Bassilopoulos P, Tangas T and Tlieri M: Overexpression of matrix-metalloproteinase-9 in human breast cancer: a potential favourable indicator in node-negative patients. Br J Cancer. 84:1488–1496. 2001. View Article : Google Scholar : PubMed/NCBI

21 

Asha Nair S, Karunagaran D, Nair MB and Sudhakaran PR: Changes in matrix metalloproteinases and their endogenous inhibitors during tumor progression in the uterine cervix. J Cancer Res Clin Oncol. 129:123–131. 2003.PubMed/NCBI

22 

Zhou CY, Yao JF and Chen XD: Expression of matrix metalloproteinase-2,9 and their inhibitor-TIMP 1,2 in human squamous cell carcinoma of uterine cervix. Al Zhen. 21:735–739. 2002.PubMed/NCBI

23 

Lopata A, Agresta F, Quinn MA, Smith C, Ostor AG and Salamonsen LA: Detection of endometrial cancer by determination of matrix metalloproteinases in the uterine cavity. Gynecol Oncol. 90:318–324. 2003. View Article : Google Scholar : PubMed/NCBI

24 

Aglund K, Rauvala M, Puistola U, Angström T, Turpeeniemi-Hujanen T, Zackrisson B and Stendahl U: Gelatinases A and B (MMP-2 and MMP-9) in endometrial cancer - MMP-9 correlates to the grade and the stage. Gynecol Oncol. 94:699–704. 2004. View Article : Google Scholar : PubMed/NCBI

25 

Torng PL, Mao TL, Chan WY, Huang SC and Lin CT: Prognostic significance of stromal metalloproteinase-2 in ovarian adenocarcinoma and in relation to carcinoma progression. Gynecol Oncol. 92:559–567. 2004. View Article : Google Scholar : PubMed/NCBI

26 

Memarzedeh S, Kozak KR, Chang L, Natarajan S, Shintaku P, Reddy ST and Farias-Eisner R: Urokinase plasminogen activator receptor: prognostic biomarker for endometrial cancer. Proc Natl Acad Sci USA. 99:10647–10652. 2002. View Article : Google Scholar : PubMed/NCBI

27 

Steiner E, Pollow K, Hasenclever D, Schormann W, Hermes M, Schmidt M, Puhl A, Brulport M, Bauer A, Petry IB, Koelbl H and Hengstler JG: Role of urokinase-type plasminogen activator (uPA) and plasminogen activator inhibitor type 1 (PAI-1) for prognosis in endometrial cancer. Gynecol Oncol. 108:569–576. 2008. View Article : Google Scholar : PubMed/NCBI

28 

Stetler-Stevenson WG: The role of matrix metalloproteinases in tumor invasion, metastasis and angiogenesis. Surg Oncol Clin N Am. 10:383–392. 2001.PubMed/NCBI

29 

Stetler-Stevenson WG: Type IV collagenases in tumor invasion and metastasis. Cancer Metastasis Rev. 9:289–303. 1990. View Article : Google Scholar : PubMed/NCBI

30 

Dano K, Andreasen PA, Grondahl-Hansen J, Kristensen P, Nielsen LS and Skriver L: Plasminogen activators, tissue degradation and cancer. Adv Cancer Res. 44:139–266. 1985. View Article : Google Scholar : PubMed/NCBI

31 

Alonso DF, Farias EF, Ladeda V, Davel L, Puricelli L and Bal de Kier Joffé E: Effects of synthetic urokinase on local invasion and metastasis in a murine mammary tumor model. Breast Cancer Res Treat. 40:209–223. 1996. View Article : Google Scholar : PubMed/NCBI

32 

Duffy MJ, Duggan C, Mulcahy HE, McDermott EW and O’Higgins NJ: Urokinase plasminogen activator: a prognostic marker in breast cancer including patients with axillary node-negative disease. Clin Chem. 44:1177–1183. 1998.PubMed/NCBI

33 

Kuhn W, Pache L, Schmaltfeldt B, Dettmar P, Schmitt M, Jänicke F and Graeff H: Urokinase (uPA) and Pal-1 predict survival in advanced ovarian cancer patients (FIGO III) after radical surgery and platinum-based chemotherapy. Gynecol Oncol. 55:401–409. 1994. View Article : Google Scholar : PubMed/NCBI

34 

Rath M and Pauling L: Plasmin-induced proteolysis and the role of apoprotein(a), lysine and synthetic analogs. J Orthomolecular Med. 7:17–23. 1992.

35 

Andreasen PA, Kjøller L, Christensen L and Duffy MJ: The urokinase-type plasminogen activator system in cancer metastasis: a review. Int J Cancer. 72:1–22. 1997. View Article : Google Scholar : PubMed/NCBI

36 

Niedzwiecki A, Roomi MW, Kalinovsky T and Rath M: Micronutrient synergy - a new tool in effective control of metastasis and other key mechanisms of cancer. Cancer Metastasis Rev. 29:529–543. 2010. View Article : Google Scholar : PubMed/NCBI

37 

Roomi MW, Monterrey JC, Kalinovsky T, Niedzwiecki A and Rath M: Inhibition of invasion and MMPs by a nutrient mixture in human cancer cell lines: a correlation study. Exp Oncol. 32:243–248. 2010.PubMed/NCBI

38 

Roomi MW, Ivanov V, Kalinovsky T, Niedzwiecki A and Rath M: In vitro and in vivo antitumorigenic activity of a mixture of lysine, proline, ascorbic acid, and green tea extract on human breast cancer lines MDA-MB-231 and MCF-7. Med Oncol. 22:129–138. 2005. View Article : Google Scholar : PubMed/NCBI

39 

Amin ARMR, Kucek O, Khuri FR and Shin DM: Perspectives for cancer prevention with natural compounds. J Clin Oncol. 27:2712–2725. 2009. View Article : Google Scholar : PubMed/NCBI

40 

Roomi MW, Monterrey JC, Kalinovsky T, Rath M and Niedzwiecki A: Comparative effects of EGCG, green tea and a nutrient mixture on the patterns of MMP-2 and MMP-9 expression in cancer cell lines. Oncol Rep. 24:747–757. 2010.PubMed/NCBI

41 

Sun Z, Chen YH, Wang P, Zhang J, Gurewich V, Zhang P and Liu JN: The blockage of high-affinity lysine binding sites of plasminogen by EACA significantly inhibits prourokinase-induced plasminogen activation. Biochem Biophys Acta. 1596:182–192. 2002.PubMed/NCBI

42 

Kemberling JK, Hampton JA, Keck RW, Gomez MA and Selman SH: Inhibition of bladder tumor growth by the green tea derivative epigallocatechin-3-gallate. J Urol. 170:773–776. 2003. View Article : Google Scholar : PubMed/NCBI

43 

Sato D and Matsushima M: Preventive effects of urinary bladder tumors induced by N-butyl-N-(4-hydroxybutyl)-nitrosamine in rat by green tea leaves. Int J Urol. 10:160–166. 2003. View Article : Google Scholar : PubMed/NCBI

44 

Valcic S, Timmermann BN, Alberts DS, Wachter GA, Krutzsch M, Wymer J and Guillen JM: Inhibitory effect of six green tea catechins and caffeine on the growth of four selected human tumor cell lines. Anticancer Drugs. 7:461–468. 1996. View Article : Google Scholar : PubMed/NCBI

45 

Mukhtar H and Ahmed N: Tea polyphenols: prevention of cancer and optimizing health. Am J Clin Nutr. 71:S1698–S1704. 2000.PubMed/NCBI

46 

Yang GY, Liao J, Kim K, Yurtow EJ and Yang CS: Inhibition of growth and induction of apoptosis in human cancer cell lines by tea polyphenols. Carcinogenesis. 19:611–616. 1998. View Article : Google Scholar : PubMed/NCBI

47 

Taniguchi S, Fujiki H, Kobayashi H, Go H, Miyado K, Sadano H and Shimikawa R: Effect of (−) epigallocatechin gallate, the main constituent of green tea, on lung metastasis with mouse B16 melanoma cell lines. Cancer Lett. 65:51–54. 1992.

48 

Hara Y: Green Tea: Health Benefits and Applications. Marcel Dekker Inc; New York: 2001, View Article : Google Scholar

49 

Kawakami S, Kageyama Y, Fujii Y, Kihara K and Oshima H: Inhibitory effects of N-acetyl cysteine on invasion and MMP 9 production of T24 human bladder cancer cells. Anticancer Res. 21:213–219. 2001.PubMed/NCBI

50 

Morini M, Cai T, Aluigi MG, Noonan DM, Masiello L, De Floro S, D’Agostinin F, Albini A and Fassima G: The role of the thiol N-acetyl cysteine in the prevention of tumor invasion and angiogenesis. Int J Biol Markers. 14:268–271. 1999.PubMed/NCBI

51 

Yoon SO, Kim MM and Chung AS: Inhibitory effects of selenite on invasion of HT 1080 tumor cells. J Biol Chem. 276:20085–20092. 2001. View Article : Google Scholar : PubMed/NCBI

52 

Naidu KA, Karl RC and Coppola D: Antiproliferative and proapoptotic effect of ascorbyl stearate in human pancreatic cancer cells: association with decreased expression of insulin-like growth factor 1 receptor. Dig Dis Sci. 48:230–237. 2003. View Article : Google Scholar

53 

Anthony HM and Schorah CJ: Severe hypovitaminosis C in lung-cancer patients: The utilization of vitamin C in surgical repair and lymphocyte-related host resistance. Br J Cancer. 46:354–367. 1982. View Article : Google Scholar : PubMed/NCBI

54 

Maramag C, Menon M, Balaji KC, Reddy PG and Laxmanan S: Effect of vitamin C on prostate cancer cells in vitro: effect on cell number, viability and DNA synthesis. Prostate. 32:188–195. 1997. View Article : Google Scholar : PubMed/NCBI

55 

Koh WS, Lee SJ, Lee H, Park C, Park MH, Kim WS, Yoon SS, Park K, Hong SI, Chung MH and Park CH: Differential effects and transport kinetics of ascorbate derivatives in leukemic cell lines. Anticancer Res. 8:2487–2493. 1998.PubMed/NCBI

56 

Chen Q, Espey MG, Krishna MC, Mitchell JB, Corpe CP, Buettner GR, Shacter E and Levine M: Pharmacologic ascorbic acid concentrations selectively kill cancer cells: Action as a pro-drug to deliver hydrogen peroxide to tissues. Proc Natl Acad Sci USA. 102:13604–13609. 2005. View Article : Google Scholar : PubMed/NCBI

57 

Nunez C, Ortiz de Apodaca Y and Ruiz A: Ascorbic acid in the plasma and blood cells of women with breast cancer. The effect of consumption of food with an elevated content of this vitamin. Nutr Hosp. 10:368–372. 1995.(In Spanish).

58 

Kurbacher CM, Wagner U, Kolster B, Andreotti PE, Krebs D and Bruckner HW: Ascorbic acid (vitamin C) improves the antineoplastic activity of doxorubicin, cisplatin and paclitaxel in human breast carcinoma cells in vitro. Cancer Lett. 103:183–189. 1996. View Article : Google Scholar : PubMed/NCBI

59 

Cooke JP and Dzau VJ: Nitric oxide synthase: Role in the genesis of vascular disease. Annu Rev Med. 48:489–509. 1997. View Article : Google Scholar : PubMed/NCBI

60 

Roomi MW, Ivanov V, Netke SP, Niedzwiecki A and Rath M: Serum markers of the liver, heart, and kidney and lipid profile and histopathology in ODS rats treated with nutrient synergy. J AM Coll Nutr. 22:4772003.

Related Articles

  • Abstract
  • View
  • Download
  • Twitter
Copy and paste a formatted citation
Spandidos Publications style
Roomi MW, Kalinovsky T, Rath M and Niedzwiecki A: Modulation of u-PA, MMPs and their inhibitors by a novel nutrient mixture in human female cancer cell lines. Oncol Rep 28: 768-776, 2012.
APA
Roomi, M.W., Kalinovsky, T., Rath, M., & Niedzwiecki, A. (2012). Modulation of u-PA, MMPs and their inhibitors by a novel nutrient mixture in human female cancer cell lines. Oncology Reports, 28, 768-776. https://doi.org/10.3892/or.2012.1879
MLA
Roomi, M. W., Kalinovsky, T., Rath, M., Niedzwiecki, A."Modulation of u-PA, MMPs and their inhibitors by a novel nutrient mixture in human female cancer cell lines". Oncology Reports 28.3 (2012): 768-776.
Chicago
Roomi, M. W., Kalinovsky, T., Rath, M., Niedzwiecki, A."Modulation of u-PA, MMPs and their inhibitors by a novel nutrient mixture in human female cancer cell lines". Oncology Reports 28, no. 3 (2012): 768-776. https://doi.org/10.3892/or.2012.1879
Copy and paste a formatted citation
x
Spandidos Publications style
Roomi MW, Kalinovsky T, Rath M and Niedzwiecki A: Modulation of u-PA, MMPs and their inhibitors by a novel nutrient mixture in human female cancer cell lines. Oncol Rep 28: 768-776, 2012.
APA
Roomi, M.W., Kalinovsky, T., Rath, M., & Niedzwiecki, A. (2012). Modulation of u-PA, MMPs and their inhibitors by a novel nutrient mixture in human female cancer cell lines. Oncology Reports, 28, 768-776. https://doi.org/10.3892/or.2012.1879
MLA
Roomi, M. W., Kalinovsky, T., Rath, M., Niedzwiecki, A."Modulation of u-PA, MMPs and their inhibitors by a novel nutrient mixture in human female cancer cell lines". Oncology Reports 28.3 (2012): 768-776.
Chicago
Roomi, M. W., Kalinovsky, T., Rath, M., Niedzwiecki, A."Modulation of u-PA, MMPs and their inhibitors by a novel nutrient mixture in human female cancer cell lines". Oncology Reports 28, no. 3 (2012): 768-776. https://doi.org/10.3892/or.2012.1879
Follow us
  • Twitter
  • LinkedIn
  • Facebook
About
  • Spandidos Publications
  • Careers
  • Cookie Policy
  • Privacy Policy
How can we help?
  • Help
  • Live Chat
  • Contact
  • Email to our Support Team