Spandidos Publications Logo
  • About
    • About Spandidos
    • Aims and Scopes
    • Abstracting and Indexing
    • Editorial Policies
    • Reprints and Permissions
    • Job Opportunities
    • Terms and Conditions
    • Contact
  • Journals
    • All Journals
    • Oncology Letters
      • Oncology Letters
      • Information for Authors
      • Editorial Policies
      • Editorial Board
      • Aims and Scope
      • Abstracting and Indexing
      • Bibliographic Information
      • Archive
    • International Journal of Oncology
      • International Journal of Oncology
      • Information for Authors
      • Editorial Policies
      • Editorial Board
      • Aims and Scope
      • Abstracting and Indexing
      • Bibliographic Information
      • Archive
    • Molecular and Clinical Oncology
      • Molecular and Clinical Oncology
      • Information for Authors
      • Editorial Policies
      • Editorial Board
      • Aims and Scope
      • Abstracting and Indexing
      • Bibliographic Information
      • Archive
    • Experimental and Therapeutic Medicine
      • Experimental and Therapeutic Medicine
      • Information for Authors
      • Editorial Policies
      • Editorial Board
      • Aims and Scope
      • Abstracting and Indexing
      • Bibliographic Information
      • Archive
    • International Journal of Molecular Medicine
      • International Journal of Molecular Medicine
      • Information for Authors
      • Editorial Policies
      • Editorial Board
      • Aims and Scope
      • Abstracting and Indexing
      • Bibliographic Information
      • Archive
    • Biomedical Reports
      • Biomedical Reports
      • Information for Authors
      • Editorial Policies
      • Editorial Board
      • Aims and Scope
      • Abstracting and Indexing
      • Bibliographic Information
      • Archive
    • Oncology Reports
      • Oncology Reports
      • Information for Authors
      • Editorial Policies
      • Editorial Board
      • Aims and Scope
      • Abstracting and Indexing
      • Bibliographic Information
      • Archive
    • Molecular Medicine Reports
      • Molecular Medicine Reports
      • Information for Authors
      • Editorial Policies
      • Editorial Board
      • Aims and Scope
      • Abstracting and Indexing
      • Bibliographic Information
      • Archive
    • World Academy of Sciences Journal
      • World Academy of Sciences Journal
      • Information for Authors
      • Editorial Policies
      • Editorial Board
      • Aims and Scope
      • Abstracting and Indexing
      • Bibliographic Information
      • Archive
    • International Journal of Functional Nutrition
      • International Journal of Functional Nutrition
      • Information for Authors
      • Editorial Policies
      • Editorial Board
      • Aims and Scope
      • Abstracting and Indexing
      • Bibliographic Information
      • Archive
    • International Journal of Epigenetics
      • International Journal of Epigenetics
      • Information for Authors
      • Editorial Policies
      • Editorial Board
      • Aims and Scope
      • Abstracting and Indexing
      • Bibliographic Information
      • Archive
    • Medicine International
      • Medicine International
      • Information for Authors
      • Editorial Policies
      • Editorial Board
      • Aims and Scope
      • Abstracting and Indexing
      • Bibliographic Information
      • Archive
  • Articles
  • Information
    • Information for Authors
    • Information for Reviewers
    • Information for Librarians
    • Information for Advertisers
    • Conferences
  • Language Editing
Spandidos Publications Logo
  • About
    • About Spandidos
    • Aims and Scopes
    • Abstracting and Indexing
    • Editorial Policies
    • Reprints and Permissions
    • Job Opportunities
    • Terms and Conditions
    • Contact
  • Journals
    • All Journals
    • Biomedical Reports
      • Information for Authors
      • Editorial Policies
      • Editorial Board
      • Aims and Scope
      • Abstracting and Indexing
      • Bibliographic Information
      • Archive
    • Experimental and Therapeutic Medicine
      • Information for Authors
      • Editorial Policies
      • Editorial Board
      • Aims and Scope
      • Abstracting and Indexing
      • Bibliographic Information
      • Archive
    • International Journal of Epigenetics
      • Information for Authors
      • Editorial Policies
      • Editorial Board
      • Aims and Scope
      • Abstracting and Indexing
      • Bibliographic Information
      • Archive
    • International Journal of Functional Nutrition
      • Information for Authors
      • Editorial Policies
      • Editorial Board
      • Aims and Scope
      • Abstracting and Indexing
      • Bibliographic Information
      • Archive
    • International Journal of Molecular Medicine
      • Information for Authors
      • Editorial Policies
      • Editorial Board
      • Aims and Scope
      • Abstracting and Indexing
      • Bibliographic Information
      • Archive
    • International Journal of Oncology
      • Information for Authors
      • Editorial Policies
      • Editorial Board
      • Aims and Scope
      • Abstracting and Indexing
      • Bibliographic Information
      • Archive
    • Medicine International
      • Information for Authors
      • Editorial Policies
      • Editorial Board
      • Aims and Scope
      • Abstracting and Indexing
      • Bibliographic Information
      • Archive
    • Molecular and Clinical Oncology
      • Information for Authors
      • Editorial Policies
      • Editorial Board
      • Aims and Scope
      • Abstracting and Indexing
      • Bibliographic Information
      • Archive
    • Molecular Medicine Reports
      • Information for Authors
      • Editorial Policies
      • Editorial Board
      • Aims and Scope
      • Abstracting and Indexing
      • Bibliographic Information
      • Archive
    • Oncology Letters
      • Information for Authors
      • Editorial Policies
      • Editorial Board
      • Aims and Scope
      • Abstracting and Indexing
      • Bibliographic Information
      • Archive
    • Oncology Reports
      • Information for Authors
      • Editorial Policies
      • Editorial Board
      • Aims and Scope
      • Abstracting and Indexing
      • Bibliographic Information
      • Archive
    • World Academy of Sciences Journal
      • Information for Authors
      • Editorial Policies
      • Editorial Board
      • Aims and Scope
      • Abstracting and Indexing
      • Bibliographic Information
      • Archive
  • Articles
  • Information
    • For Authors
    • For Reviewers
    • For Librarians
    • For Advertisers
    • Conferences
  • Language Editing
Login Register Submit
  • This site uses cookies
  • You can change your cookie settings at any time by following the instructions in our Cookie Policy. To find out more, you may read our Privacy Policy.

    I agree
Search articles by DOI, keyword, author or affiliation
Search
Advanced Search
presentation
Oncology Reports
Join Editorial Board Propose a Special Issue
Print ISSN: 1021-335X Online ISSN: 1791-2431
Journal Cover
September 2013 Volume 30 Issue 3

Full Size Image

Sign up for eToc alerts
Recommend to Library

Journals

International Journal of Molecular Medicine

International Journal of Molecular Medicine

International Journal of Molecular Medicine is an international journal devoted to molecular mechanisms of human disease.

International Journal of Oncology

International Journal of Oncology

International Journal of Oncology is an international journal devoted to oncology research and cancer treatment.

Molecular Medicine Reports

Molecular Medicine Reports

Covers molecular medicine topics such as pharmacology, pathology, genetics, neuroscience, infectious diseases, molecular cardiology, and molecular surgery.

Oncology Reports

Oncology Reports

Oncology Reports is an international journal devoted to fundamental and applied research in Oncology.

Experimental and Therapeutic Medicine

Experimental and Therapeutic Medicine

Experimental and Therapeutic Medicine is an international journal devoted to laboratory and clinical medicine.

Oncology Letters

Oncology Letters

Oncology Letters is an international journal devoted to Experimental and Clinical Oncology.

Biomedical Reports

Biomedical Reports

Explores a wide range of biological and medical fields, including pharmacology, genetics, microbiology, neuroscience, and molecular cardiology.

Molecular and Clinical Oncology

Molecular and Clinical Oncology

International journal addressing all aspects of oncology research, from tumorigenesis and oncogenes to chemotherapy and metastasis.

World Academy of Sciences Journal

World Academy of Sciences Journal

Multidisciplinary open-access journal spanning biochemistry, genetics, neuroscience, environmental health, and synthetic biology.

International Journal of Functional Nutrition

International Journal of Functional Nutrition

Open-access journal combining biochemistry, pharmacology, immunology, and genetics to advance health through functional nutrition.

International Journal of Epigenetics

International Journal of Epigenetics

Publishes open-access research on using epigenetics to advance understanding and treatment of human disease.

Medicine International

Medicine International

An International Open Access Journal Devoted to General Medicine.

Journal Cover
September 2013 Volume 30 Issue 3

Full Size Image

Sign up for eToc alerts
Recommend to Library

  • Article
  • Citations
    • Cite This Article
    • Download Citation
    • Create Citation Alert
    • Remove Citation Alert
    • Cited By
  • Similar Articles
    • Related Articles (in Spandidos Publications)
    • Similar Articles (Google Scholar)
    • Similar Articles (PubMed)
  • Download PDF
  • Download XML
  • View XML
Article

Regulation of miR-155 affects pancreatic cancer cell invasiveness and migration by modulating the STAT3 signaling pathway through SOCS1

  • Authors:
    • Chen Huang
    • Haidong Li
    • Weidong Wu
    • Tao Jiang
    • Zhengjun Qiu
  • View Affiliations / Copyright

    Affiliations: Department of General Surgery, Affiliated First People's Hospital, School of Medicine, Shanghai Jiao Tong University, Shanghai 200080, P.R. China
  • Pages: 1223-1230
    |
    Published online on: June 28, 2013
       https://doi.org/10.3892/or.2013.2576
  • Expand metrics +
Metrics: Total Views: 0 (Spandidos Publications: | PMC Statistics: )
Metrics: Total PDF Downloads: 0 (Spandidos Publications: | PMC Statistics: )
Cited By (CrossRef): 0 citations Loading Articles...

This article is mentioned in:



Abstract

In the present study, we investigated the effects of miR-155 on pancreatic cancer cell invasion and migration in vitro, underlying gene expression, expression of miR-155 and its target genes in pancreatic cancer tissues, and their association with metastasis and clinical stage. miR-155 mimics and an inhibitor were transfected into Panc-1 and Capan-2 cells in order to regulate the expression of miR-155. qPCR and western immunoblotting were performed in order to detect gene expression. Transwell assays were performed to characterize the invasion and migration of pancreatic cancer cells in vitro. Immunohistochemical analysis and in situ hybridization were used to detect the expression of protein and microRNA in pancreatic cancer tissue. miR-155 mimics and an inhibitor upregulated and downregulated, respectively, the expression of miR-155 in pancreatic cancer cells. The invasion and migration of pancreatic cancer cells increased or decreased along with miR-155 expression in vitro. Suppressor of cytokine signaling 1 (SOCS1) protein expression was upregulated when miR-155 was inhibited and downregulated when miR-155 was increased. However, the expression of P-signal transducer and activator of transcription-3 (STAT3) was synchronized with that of miR-155. Transcription of SOCS1 and STAT3 was unchanged by miR-155 regulation. miR-155 expression was high in pancreatic cancer tissues and SOCS1 expression was high in tumor-adjacent tissues. There was no relationship between these genes in cancer and tumor-adjacent tissues. In addition, miR-155 expression was associated with lymph node metastasis and clinical stage. In conclusion, miR-155 plays an important role in the regulation of pancreatic cancer cell invasion and migration by modulating the STAT3 signaling pathway and reducing SOCS1 expression in pancreatic cancer cells.

Introduction

microRNAs (miRNAs) are molecules, ~22 nucleotides long, that inhibit gene expression in animals and plants. Mounting evidence indicates that miRNAs are key regulators of human diseases such as cancer (1).

Pancreatic cancer is a deadly malignancy with a 5-year survival rate of ~5%; it is the fourth most common cause of cancer-related mortality in the Western world (2). The molecular mechanisms responsible for pancreatic cancer development remain unknown and there are no established guidelines for prevention. Recent studies have revealed a relationship between altered miRNA expression and pancreatic cancer (3,4).

The miR-155 locus is located within a region known as the B-cell integration cluster (BIC) (3), which was originally thought to be a proto-oncogene associated with lymphoma (5). miR-155 is overexpressed in various solid tumors, including breast, lung, colon and thyroid cancers, where it functions as an oncogenic miRNA (6–9). Reports have also shown that many miRNAs including miR-155 are differentially expressed in pancreatic cancer (10,11). High expression of miR-155 is correlated with poor prognoses of pancreatic cancer (12). miR-155 promotes pancreatic cancer development and mammary gland epithelial cell migration and invasion by targeting TP53INP1 and RhoA, respectively (13,14). These lines of evidence are consistent with the notion that miR-155 plays an important role in the development of pancreatic cancer.

Suppressor of cytokine signaling 1 (SOCS1) is a tumor suppressor that normally functions as a negative feedback regulator of Janus activated kinase (JAK)/signal transducer and activator of transcription-3 (STAT3) signaling (15). It is a target gene of miR-155 in breast cancer (16). We found that STAT3 signaling was overactivated in pancreatic cancer and that it promoted invasion and metastasis (17,18). However, the relationship between miR-155 overexpression and overactivation of STAT3 signaling in pancreatic cancer is unknown.

In the present study, we utilized miR-155 mimics and an inhibitor to regulate miR-155 expression. Migration and invasion in vitro were assessed, and SOCS1 expression and activation of STAT3 were detected. In situ hybridization and immunohistochemical analysis in tissue microarrays were performed to analyze the correlation of miR-155 and SOCS1 expression with various clinicopathologic factors.

Materials and methods

Cell culture and transient transfection

Human pancreatic cancer cell lines Panc-1 and Capan-2 were obtained from the American Type Culture Collection (Manassas, VA, USA) and cultured with Dulbecco’s modified Eagle’s medium (DMEM) supplemented with 10% fetal bovine serum (FBS) and penicillin/streptomycin at 37°C in a 5% CO2 incubator. Panc-1 and Capan-2 cells (1×106) were seeded into each well of 6-well plates and transfected with miR-155 mimics and anti-miR-155. Cognate control RNAs were used as negative controls. Transfection was performed using Lipofectamine® 2000 (Invitrogen) according to the manufacturer’s instructions, and miR-155 mimics or antisense oligonucleotides were mixed with Lipofectamine 2000. After 48 h, the cells were assayed. The sequences of miR-155 mimics were 5′-UUAAUGCUAAUC GUGAUAGGGGU-3′ and 5′-CCCUAUCACGAUUAGCAU UAAUU-3′; the inhibitor sequence was 5′-ACCCCUAUCACG AUUAGCAUUAA-3′.

Invasion and migration assays

The cell invasion assay was performed in a specialized invasion chamber that included a 24-well tissue culture plate and 12-cell culture inserts (both from Corning). The inserts contained an 8-μm pore polycarbonate membrane. A thin layer of basement membrane matrix (1:3 dilution; BD Biosciences) coated each well. Briefly, medium supplemented with 10% FBS was added to the lower chamber as a chemo-attractant. After reaching 60–70% subconfluence, pancreatic cancer cells were trypsinized, re-suspended in DMEM, and ~5×104 cells were added to each upper compartment.

After 48 h of incubation at 37°C, the non-invasive cells and membranes were removed from the upper surface using a moist cotton swab. Invasive cells on the lower surface of the membrane were stained for 20 min and rinsed several times with distilled water. Invasiveness was quantified by selecting 5 different views (x400) and calculating the number of invading cells.

The cell migration assay was performed as the invasion assay, but the basement membrane matrix was not used and the cell seeding number was 8×104.

Quantitative real-time reverse transcription-polymerase chain reaction (qRT-PCR)

Total RNA was isolated from Panc-1 and Capan-2 cells using TRIzol reagent (Invitrogen). The RNA was then purified using an RNeasy Mini kit (Qiagen) according to the manufacturer’s instructions. The miR-155, miR-21 and miR-210 levels were quantified by quantitative reverse transcription-PCR (qRT-PCR) using SYBR-Green assay kits (Genecopoeia), with U6 small nuclear RNA as an internal normalized reference. SOCS1 and STAT3 mRNA levels were determined using the forward and reverse primers with β-actin as an internal reference. Specific primers for the PCR reaction were as follows: SOCS1, 5′-GAGGGAGC GGATGGGTGTA-3′ (forward) and 5′-GAGGTAGGAGGT GCGAGTTCAG-3′ (reverse); STAT3, 5′-CCAAGGAGGAGG CATTCG-3′ (forward) and 5′-ACATCGGCAGGTCAATGG-3′ (reverse); β-actin, 5′-AGTTGCGTTACACCCTTTC-3′ (forward) and 5′-CACCTTCACCGTTCCAGT-3′ (reverse). Relative miRNA or mRNA expression of target genes, following normalization to an endogenous sequence, was calculated by the ΔΔCt method. miRNAs or mRNAs upregulated or downregulated 1-fold were identified as being significantly altered.

Protein extraction and western immunoblotting

Cells were harvested 48 h after transfection and lysed in radioimmunoprecipitation assay buffer (Beyotime, Haimen, Jiangsu, China) containing 1 mmol/l phenylmethanosulfonyl fluoride on ice for 15 min. Protein concentration was determined with a BCA protein assay kit (Beyotime). Lysates were mixed with SDS-PAGE sample loading buffer and boiled for 5 min. Total cellular protein (50 μg) was resolved on 8 or 10% SDS-polyacrylamide gels and transferred to nitrocellulose membranes. The membranes were stained with 0.5% Ponceau S containing 1% acetic acid to verify equal loading and transfer efficiency. The membranes were blocked in 5% bovine skim milk overnight and with primary antibody overnight at 4°C. After washing in TBS, the membranes were incubated with peroxidase-conjugated secondary antibody for 1.5 h at room temperature. Enhanced chemiluminescence reagent from Millipore (Billerica, MA, USA) was used to detect positive protein bands. The primary antibodies were as follows: SOCS1 (1:1,000; Abcam, Cambridge, MA, USA), STAT3 (1:1,000) and P-STAT3 (1:2,000; both from Cell Signaling Technology Danvers, MA, USA); and β-actin (1:1,000; Biomart, Shanghai, China). Secondary antibodies included peroxidase-conjugated Affinipure goat anti-mouse or anti-rabbit IgG (Jackson ImmunoResearch; West Grove, PA, USA).

Immunohistochemistry

Pancreatic cancer and tumor-adjacent tissue chips were purchased from Shanghai Outdo Biotech Co. (Shanghai, China); each point was 1.5 mm in diameter and 4 μm thick. The chip was deparaffinized in xylene and rehydrated in successive washes of ethanol, and then heated in a microwave oven at medium power for 8 min in citrate buffer (pH 6.0) for heat-induced epitope retrieval. Endogenous peroxidase activity was blocked, followed by non-specific binding of the primary antibody, target protein localization with the first antibody, visualization with the secondary antibody, and the color reaction. The primary antibodies included SOCS1 (1:1,000).

Stained tumor cells and paraffin sections were reviewed and scored using light microscopy performed by a pathologist blinded to the treatment group. Positivity of the stained tumor cells on coverslips and paraffin sections was defined by staining intensity and the percentage of positive cells. The staining intensity of SOCS1 expression was classified semi-quantitatively into negative and weak, moderate, and strong positivity (0, +, ++ and +++, respectively).

In situ hybridization of miRNAs

In situ hybridization of miR-155 was performed on tissue chip sections. The sequence of miR-155 probe was ACCCCTATCTCGATTAGCATT AA-HRP. Sections were deparaffinized in xylene, rehydrated in successive washes of DEPC-treated water through a graded series of ethanol (100, 70, 50 and 25%), and left in PBS for 10 min. After permeabilization with 0.1% Triton X-100 in PBS for 10 min, the sections were washed in PBS (2 × 5 min) and treated with Proteinase K (1 μg/ml in 50 mmol/l EDTA, pH 8.0, 0.1 mol/l Tris-HCl) for 5 min at 37°C, followed by washing in PBS (3 × 5 min). Mercury Locked Nucleic Acid (LNA) miRNA detection probes (Fudan Biotechnology Co., Shanghai, China) were used; hsa-miR-155 (40 nM in a formamide-free ISH buffer). Probes were denatured by heating to 95°C for 5 min and 50 ml of probe mixture was hybridized with the tissue sections in a hybridizer at 37°C for 60 min. The slides were then placed at RT in 5X saline-sodium citrate (SSC) (Invitrogen) and washed for 5 min at 55°C in 5X SSC (1 wash), 1X SSC (2 washes) and 0.5X SSC (2 washes). After washing in TBS, sections were blocked with blocking buffer and incubated for 30 min. Slides were then incubated for 120 min in TBS with HRP-conjugated anti-DIG (diluted 1:500 in blocking solution; Roche). After washing in TBS (2 × 5 min), the DAB color reaction was performed.

Positivity of stained tumor cells on coverslips and paraffin sections was defined by staining intensity and the percentage of positive cells as in the immunohistochemistry experiment.

Statistical analysis

Statistical analyses were performed using SPSS 13.0 software (SPSS, Chicago, IL, USA). The data are expressed as means ± SD when possible and were analyzed with the Student-Newman-Keuls test to determine statistical significance. P<0.05 was considered statistically significant. Correlations were calculated using Spearman’s r test (two-sided) unless otherwise specified. P-values were not adjusted for multiple testing. Categorical variables were assessed by the Chi-square test.

Results

Regulation of miR-155 expression in Panc-1 and Capan-2 cells

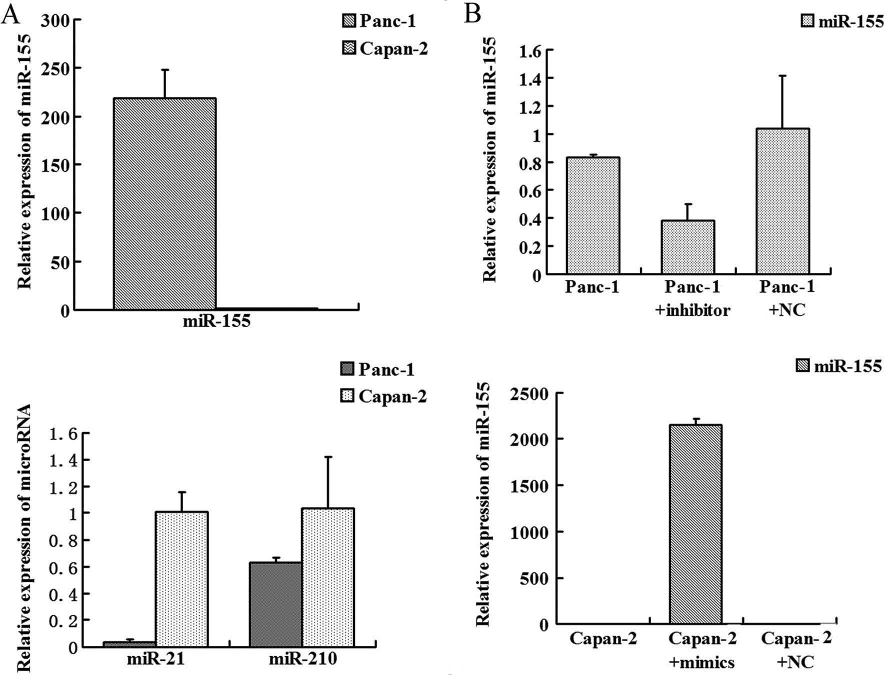
miR-155, miR-210 and miR-21 have been reported to be associated with tumor invasion and are highly expressed in pancreatic cancers (5–9). We determined expression of these microRNAs in Panc-1 and Capan-2 cells. No difference in miR-210 expression was noted while miR-21 expression was higher in the Capan-2 cells when compared to that in the Panc-1 cells. miR-155 expression was much higher in the Panc-1 cells than that in the Capan-2 cells (Fig. 1A). qRT-PCR revealed that miR-155 mimics upregulated miR-155 expression in Capan-2 cells and the miR-155 inhibitor successfully knocked down miR-155 expression in Panc-1 cells (Fig. 1B).

Figure 1

Expression of miR-155, miR-210 and miR-21 in Panc-1 and Capan-2 cells. We assessed the expression of three microRNAs which were reported to be associated with tumor invasion and high expression in pancreatic cancers. (A) miR-155 expression was much higher in the Panc-1 cells than that in the Capan-2 cells while miR-21 expression was lower in the Panc-1 cells than that in the Capan-2 cells, and there was no difference in the expression of miR-210 in both cell types. (B) miR-155 mimics upregulated miR-155 expression in Capan-2 cells; the inhibitor knocked down miR-155 expression in Panc-1 cells.

Invasion and migration ability and miR-155 modulation in pancreatic cancer cells

We assessed changes in invasion and migration ability of Panc-1 and Capan-2 cells after regulation of miR-155 expression by using Transwell assays. Upregulation of miR-155 expression in Capan-2 cells enhanced invasion and migration ability (P=0.0002, P=0.0001) (Figs. 2A and B; 3A and B), and knockdown of miR-155 expression in Panc-1 cells inhibited invasion and migration ability (P=0.0005, P=0.0002) (Figs. 2C and D; 3C and D).

Figure 2

Invasion and migration of pancreatic cancer cells in vitro. (A) Changes in invasive ability following upregulation of expression of miR-155 in Capan-2 cells. (B) Changes in migratory ability following upregulation of expression of miR-155 in Capan-2 cells. (C) Changes in invasive ability following knockdown of expression of miR-155 in Panc-1 cells. (D) Changes in migratory ability following knockdown of expression of miR-155 in Panc-1 cells.

Figure 3

The number of invasive and migratory pancreatic cancer cells in vitro. (A and B) Upregulation of expression of miR-155 in Capan-2 cells enhanced the number of invasive and migratory cells in vitro (*P<0.01). (C and D) Knockdown of expression of miR-155 in Panc-1 cells decreased the number of invasive and migratory cells (*P<0.01).

Expression of SOCS1 and STAT3 and activation of STAT3 following regulation of miR-155

We determined SOCS1 gene expression in miR-155-regulated cells by qRT-PCR and western blotting. The data revealed that SOCS1 and STAT3 mRNA expression did not differ in the transfected cells when compared with the parental and control cells (Fig. 4A). However, at the protein level, SOCS1 expression was increased by miR-155 knockdown and decreased by miR-155 upregulation in Panc-1 cells. P-STAT3 protein was decreased by miR-155 knockdown in Panc-1 cells and was increased by miR-155 upregulation in Capan-2 cells (Fig. 4B).

Figure 4

Expression of suppressor of cytokine signaling 1 (SOCS1) and signal transducer and activator of transcription-3 (STAT3) and activation of STAT3 following regulation of miR-155. (A) SOCS1 and STAT3 mRNA expression did not significantly differ (<2-fold or 50%) in the transfected cells when compared to the parental and control cells. (B) SOCS1 protein expression increased when miR-155 expression was knocked down in Panc-1 cells while SOCS1 protein expression decreased following miR-155 upregulation; the opposite pattern was observed for P-STAT3 protein.

Expression of miR-155 and SOCS1 in pancreatic cancer and tumor-adjacent tissues

We detected expression of miR-155 and SOCS1 in pancreatic cancer and tumor-adjacent tissues in tissue chips by in situ hybridization and immunohistochemistry. The rate of miR-155-positive expression in the pancreatic cancer tissues was 81.25% (65/80), and the rate of strong-positive expression was 10% (10/80). However, in tumor-adjacent tissues, the rate of miR-155-positive expression was 71.25% (57/80) and the rate of strong-positive expression was 1.25% (1/80). Statistical analyses showed that miR-155-positive expression in pancreatic cancer tissues was significantly higher than that in tumor-adjacent tissues (P=0.0001) (Fig. 5A) (Table I). The positive expression rate of SOCS1 in pancreatic cancer tissues was 37.5% (30/80) and 65% (52/80) in tumor-adjacent tissues. The rates of strong-positive expression were 2.5% (2/80) and 25% (20/80), respectively. There was significantly higher expression in the tumor-adjacent tissues when compared with that in the cancer tissues (P=0.0003) (Fig. 5B) (Table II).

Figure 5

Expression of miR-155 and suppressor of cytokine signaling 1 (SOCS1) in pancreatic cancer and tumor-adjacent tissues. (A) miR-155 expression in pancreatic cancer tissue. miR-155 expression was noted in cancer cells (black arrow). (B) miR-155 expression in tumor-adjacent tissue. (C) SOCS1 expression in pancreatic cancer tissue. (D) SOCS1 expression in tumor-adjacent tissue. SOCS1 expression was noted in normal pancreatic ductal epithelial cells (black arrow).

Table I

Expression of miR-155 in pancreatic tumor and tumor-adjacent tissues.

Table I

Expression of miR-155 in pancreatic tumor and tumor-adjacent tissues.

miR-155

−++++++Positive rate (%)
Tissue
 Tumor152730881.5a
 Tumor-adjacent23155171.25

a P<0.01 vs. tumor-adjacent tissue.

Table II

Expression of SOCS1 protein in pancreatic tumor and tumor-adjacent tissues.

Table II

Expression of SOCS1 protein in pancreatic tumor and tumor-adjacent tissues.

SOCS1 protein

−++++++Positive rate (%)
Tissue
 Tumor501711237.5a
 Tumor-adjacent2817152065

a P<0.01 vs. tumor-adjacent tissue.

{ label (or @symbol) needed for fn[@id='tfn3-or-30-03-1223'] } SOCS1, suppressor of cytokine signaling 1.

Relationship between miR-155 and SOCS1 expression in pancreatic cancer and tumor-adjacent tissues

We analyzed the relationship between miR-155 and SOCS1 expression in pancreatic cancer and tumor-adjacent tissues. The data revealed no relationship between miR-155 and SOCS1 in cancer or tumor-adjacent tissues (r1=−0.178, P1=0.115; r2=−0.002, P2=0.947) (Tables III and IV).

Table III

miR-155 and SOCS1 expression in pancreatic cancer tumors.

Table III

miR-155 and SOCS1 expression in pancreatic cancer tumors.

miR-155Spearman’s rank correlation


− (n=15)+ (n=27)++ (n=30)+++ (n=8)rP-value
SOCS1−0.1780.115
 − (n=50)814235
 + (n=17)4742
 ++ (n=11)2531
 +++ (n=2)1100

[i] SOCS1, suppressor of cytokine signaling 1.

Table IV

miR-155 and SOCS1 expression in tumor-adjacent tissue.

Table IV

miR-155 and SOCS1 expression in tumor-adjacent tissue.

miR-155Spearman’s rank correlation


− (n=23)+ (n=1)++ (n=55)+++ (n=1)rP-value
SOCS1−0.0020.947
 − (n=28)60220
 + (n=17)8081
 ++ (n=15)40110
 +++ (n=20)51140

[i] SOCS1, suppressor of cytokine signaling 1.

Relationship between miR-155, SOCS1 and clinical stage of pancreatic cancer

We analyzed the relationship between miR-155, SOCS1 and the clinical stage of pancreatic cancer and found SOCS1-positive expression in 33.3% (13/39) of the non-lymph node metastatic pancreatic cancer tissues and in 48.4% (15/31) of the lymph node metastatic pancreatic cancer tissues. Thus, positive expression of SOCS1 was not related to lymph node metastasis (P=0.767). Positive expression was noted in 34.5% (10/29), 22.22% (2/9), 34.37% (11/32) of stage I, IIa and IIb + III + IV cases, respectively. However, there was no relationship between positivity and clinical stage (P=0.539) (Table V).

Table V

Distribution of SOCS1 expression in pancreatic cancer tumors according to TNM stage and lymph node metastasis.

Table V

Distribution of SOCS1 expression in pancreatic cancer tumors according to TNM stage and lymph node metastasis.

SOCS1

nLowHighP-value
TNM stage0.767
 I291910
 IIa972
 IIb + III + IV322111
Lymph nodes0.539
 No metastasis392613
 Metastasis311615

[i] SOCS1, suppressor of cytokine signaling 1.

Positive expression of miR-155 was noted in 30.8% (12/39) of the non-lymph node metastatic pancreatic cancer tissues and in 67.7% (21/31) of the lymph node metastatic pancreatic cancer tissues. Thus, miR-155 expression was related to lymph node metastasis (P=0.0001). Positive expression was noted in 51.7% (15/29), 55.5% (5/9) and 81.25% (26/32) of stage I, IIa and IIb + III + IV cases, respectively. Thus, miR-155 expression was related to clinical stage (P=0.011) (Table VI).

Table VI

Distribution of miR-155 expression in pancreatic cancer tumors according to TNM stage and lymph node metastasis.

Table VI

Distribution of miR-155 expression in pancreatic cancer tumors according to TNM stage and lymph node metastasis.

miR-155

nLowHighP-value
TNM stage
 I2914150.000a
 IIa945
 IIb + III + IV32626
Lymph nodes
 No metastasis3927120.011a
 Metastasis311021

a P<0.01.

Discussion

miR-155 mimics and inhibitor respectively upregulated and downregulated expression of miR-155 in Panc-1 and Capan-2 cells in comparison to the parental and negative control cells. Invasion and migration ability of pancreatic cancer cells was significantly reduced in vitro when miR-155 was downregulated. The reverse was true for miR-155 upregulation. miR-155 was previously found to be highly expressed in pancreatic cancer tissues (19,20) and to influence invasion and metastasis through its target genes including TP53INP1 and RhoA (13,14). Our results are consistent with these previous reports. However, our study was performed in vitro; in vivo studies will follow.

miRNAs have hundreds of potential target genes. SHIP1, C/EBPβ and CK1α are targets of miR-155 (21–23). As these genes have different functions, miR-155 plays multiple roles in cancer development. Reports indicate that SOCS1 is a target gene of miR-155 in breast cancer and plays an important role in activation of the STAT3 signaling pathway (24). In the present study, we found that expression of SOCS1 protein (not transcription) in pancreatic cancer cells was regulated by miR-155. This finding suggests that miR-155 regulated SOCS1 expression only at the subtranscription level but did not lead to its mRNA degradation. Phosphorylation of STAT3 was also affected by miR-155, but with a reverse trend. Thus, miR-155 may influence pancreatic cancer invasion and metastasis, at least partly, by regulating SOCS1 through the STAT3 signaling pathway. Our previous study showed that overactivation of the STAT3 signaling pathway in pancreatic cancer regulated MMP-2, MMP-7 and others to mediate invasion and metastasis (18,25). However, we do not know what induces the overactivation of STAT3 in pancreatic cancer. We now suggest that high miR-155 expression may be one cause of STAT3 overactivation in pancreatic cancer. Other reports have indicated that miR-155 activates the STAT3 signaling pathway in cancer cells (26,27). However, these hypotheses require in vivo validation.

Reports indicate that expression of miR-155 and SOCS1 is related to clinical stage and prognosis (28–30). We found increased expression of miR-155 in pancreatic cancer tissue, but not in tumor-adjacent tissues. SOCS1 was more highly expressed in tumor-adjacent tissues than in pancreatic cancer tissues. However, there was no relationship between these phenomena. This may suggest some contradiction with our in vitro results. However, we know that expression of one type of protein may be regulated by many factors and there is a reticular structure to the regulation of protein expression. Therefore, of the many factors influencing SOCS1 expression in pancreatic cancers, miR-155 is one.

Our study also showed that expression of miR-155 was related to lymph node metastasis and clinical stage. A previous study indicated that miR-155 levels significantly increased in intraepithelial neoplasia grade II pancreatic ductal epithelial cells or early-stage pancreatic cancer in comparison to normal pancreatic tissues (31). This result suggests that when malignant transformation occurs in pancreatic ductal epithelial cells, miR-155 levels increase. Several studies have shown increased miR-155 expression in pancreatic cancer tissues in comparison to normal pancreatic tissues or chronic pancreatitis tissues, and they showed that miR-155 may serve as an index for diagnosis and clinical staging (12,32,33). These results are consistent with our study. However, other studies have indicated that miR-155 can inhibit gastric cancer invasion and metastasis by altering expression of smad2, acting as a type of tumor-suppressor gene (34). Therefore, continued investigation of the roles of miR-155 in pancreatic cancer and its relationship with metastasis and prognosis is warranted.

Identification of the molecular mechanisms responsible for pancreatic cancer invasion and metastasis are critical to successful treatment of this disease. In the present study, we found that miR-155 can affect activation of STAT3 to mediate invasion and metastasis through SOCS1. These findings may be helpful to find suitable targets for microRNA-based gene therapy and for novel approaches for the early diagnosis of pancreatic cancer.

Acknowledgements

The present study was supported by grants 81101844 and 81210108027 (to C.H.) from the National Natural Science Foundation of China and grants 2012040 and 13PJD024 (to C.H.) from Shanghai Municipal Human Resources and Social Security Bureau.

References

1 

Stefani G and Slack FJ: Small non-coding RNAs in animal development. Nat Rev Mol Cell Biol. 9:219–230. 2008. View Article : Google Scholar : PubMed/NCBI

2 

Jemal A, Bray F, Center MM, et al: Global cancer statistics. CA Cancer J Clin. 61:69–90. 2011. View Article : Google Scholar

3 

Yu J, Li A, Hong SM, et al: MicroRNA alterations of pancreatic intraepithelial neoplasias. Clin Cancer Res. 18:981–992. 2012. View Article : Google Scholar : PubMed/NCBI

4 

Chen Z, Chen LY, Dai HY, et al: miR-301a promotes pancreatic cancer cell proliferation by directly inhibiting Bim expression. J Cell Biochem. 113:3229–3235. 2012. View Article : Google Scholar : PubMed/NCBI

5 

Tam W, Ben-Yehuda D and Hayward WS: bic, a novel gene activated by proviral insertions in avian leukosis virus-induced lymphomas, is likely to function through its noncoding RNA. Mol Cell Biol. 17:1490–1502. 1997.PubMed/NCBI

6 

Kong W, He L, Coppola M, et al: MicroRNA-155 regulates cell survival, growth, and chemosensitivity by targeting FOXO3a in breast cancer. J Biol Chem. 285:17869–17879. 2010. View Article : Google Scholar : PubMed/NCBI

7 

Babar IA, Czochor J, Steinmetz A, Weidhaas JB, et al: Inhibition of hypoxia-induced miR-155 radiosensitizes hypoxic lung cancer cells. Cancer Biol Ther. 12:908–914. 2011. View Article : Google Scholar : PubMed/NCBI

8 

Bakirtzi K, Hatziapostolou M, Karagiannides I, et al: Neurotensin signaling activates microRNAs-21 and -155 and Akt, promotes tumor growth in mice, and is increased in human colon tumors. Gastroenterology. 141:1749–1761. 2011. View Article : Google Scholar : PubMed/NCBI

9 

Nikiforova MN, Tseng GC, Steward D, et al: MicroRNA expression profiling of thyroid tumors: biological significance and diagnostic utility. J Clin Endocrinol Metab. 93:1600–1608. 2008. View Article : Google Scholar : PubMed/NCBI

10 

Szafranska AE, Davison TS, John J, et al: MicroRNA expression alterations are linked to tumorigenesis and non-neoplastic processes in pancreatic ductal adenocarcinoma. Oncogene. 26:4442–4452. 2007. View Article : Google Scholar : PubMed/NCBI

11 

Bloomston M, Frankel WL, Petrocca F, et al: MicroRNA expression patterns to differentiate pancreatic adenocarcinoma from normal pancreas and chronic pancreatitis. JAMA. 297:1901–1908. 2007. View Article : Google Scholar : PubMed/NCBI

12 

Greither T, Grochola LF, Udelnow A, et al: Elevated expression of microRNAs 155, 203, 210 and 222 in pancreatic tumors is associated with poorer survival. Int J Cancer. 126:73–80. 2010. View Article : Google Scholar : PubMed/NCBI

13 

Gironella M, Seux M, Xie MJ, et al: Tumor protein 53-induced nuclear protein 1 expression is repressed by miR-155, and its restoration inhibits pancreatic tumor development. Proc Natl Acad Sci USA. 104:16170–16175. 2007. View Article : Google Scholar : PubMed/NCBI

14 

Kong W, Yang H, He L, et al: MicroRNA-155 is regulated by the transforming growth factor beta/Smad pathway and contributes to epithelial cell plasticity by targeting RhoA. Mol Cell Biol. 28:6773–6784. 2008. View Article : Google Scholar : PubMed/NCBI

15 

Davey GM, Heath WR and Starr R: SOCS1: a potent and multifaceted regulator of cytokines and cell-mediated inflammation. Tissue Antigens. 67:1–9. 2006. View Article : Google Scholar : PubMed/NCBI

16 

Zhang J, Zhao H, Chen J, et al: Interferon-β-induced miR-155 inhibits osteoclast differentiation by targeting SOCS1 and MITF. FEBS Lett. 586:3255–3262. 2012.

17 

Huang C, Yang G, Jiang T, et al: The effects and mechanisms of blockage of STAT3 signaling pathway on IL-6 inducing EMT in human pancreatic cancer cells in vitro. Neoplasma. 58:396–405. 2011. View Article : Google Scholar : PubMed/NCBI

18 

Li HD, Huang C, Huang KJ, et al: STAT3 knockdown reduces pancreatic cancer cell invasiveness and matrix metalloproteinase-7 expression in nude mice. PLoS One. 6:e259412011. View Article : Google Scholar : PubMed/NCBI

19 

Lee EJ, Gusev Y, Jiang J, et al: Expression profiling identifies microRNA signature in pancreatic cancer. Int J Cancer. 120:1046–1054. 2007. View Article : Google Scholar : PubMed/NCBI

20 

Habbe N, Koorstra JB, Mendell JT, et al: MicroRNA miR-155 is a biomarker of early pancreatic neoplasia. Cancer Biol Ther. 8:340–346. 2009. View Article : Google Scholar : PubMed/NCBI

21 

Pedersen IM, Otero D, Kao E, et al: Onco-miR-155 targets SHIP1 to promote TNFalpha-dependent growth of B cell lymphomas. EMBO Mol Med. 1:288–295. 2009. View Article : Google Scholar : PubMed/NCBI

22 

Costinean S, Sandhu SK, Pedersen IM, et al: Src homology 2 domain-containing inositol-5-phosphatase and CCAAT enhancer-binding protein β are targeted by miR-155 in B cells of Eμ-MiR-155 transgenic mice. Blood. 114:1374–1382. 2009.PubMed/NCBI

23 

Zhang P, Bill K, Liu J, Young E, et al: MiR-155 is a liposarcoma oncogene that targets casein kinase-1α and enhances β-catenin signaling. Cancer Res. 72:1751–1762. 2012.PubMed/NCBI

24 

Jiang S, Zhang HW, Lu MH, et al: MicroRNA-155 functions as an OncomiR in breast cancer by targeting the suppressor of cytokine signaling 1 gene. Cancer Res. 70:3119–3127. 2010. View Article : Google Scholar : PubMed/NCBI

25 

Huang C, Cao J, Huang KJ, et al: Inhibition of STAT3 activity with AG490 decreases the invasion of human pancreatic cancer cell in vitro. Cancer Sci. 97:1417–1423. 2006. View Article : Google Scholar : PubMed/NCBI

26 

Jiang S, Zhang LF, Zhang HW, et al: A novel miR-155/miR-143 cascade controls glycolysis by regulating hexokinase 2 in breast cancer cells. EMBO J. 31:1985–1998. 2012. View Article : Google Scholar : PubMed/NCBI

27 

Su C, Hou Z, Zhang C, et al: Ectopic expression of microRNA-155 enhances innate antiviral immunity against HBV infection in human hepatoma cells. Virol J. 8:3542011. View Article : Google Scholar : PubMed/NCBI

28 

Han ZB, Chen HY, Fan JW, et al: Up-regulation of microRNA-155 promotes cancer cell invasion and predicts poor survival of hepatocellular carcinoma following liver transplantation. J Cancer Res Clin Oncol. 138:153–161. 2012. View Article : Google Scholar : PubMed/NCBI

29 

Sasi W, Jiang WG, Sharma A and Mokbel K: Higher expression levels of SOCS 1,3,4,7 are associated with earlier tumour stage and better clinical outcome in human breast cancer. BMC Cancer. 10:1782010. View Article : Google Scholar : PubMed/NCBI

30 

Zhang J, Li H, Yu JP, et al: Role of SOCS1 in tumor progression and therapeutic application. Int J Cancer. 130:1971–1980. 2012. View Article : Google Scholar : PubMed/NCBI

31 

Ryu JK, Hong SM, Karikari CA, et al: Aberrant microRNA-155 expression is an early event in the multistep progression of pancreatic adenocarcinoma. Pancreatology. 10:66–73. 2010. View Article : Google Scholar : PubMed/NCBI

32 

Panarelli NC, Chen YT, Zhou XK, et al: MicroRNA expression aids the preoperative diagnosis of pancreatic ductal adenocarcinoma. Pancreas. 41:685–690. 2012.PubMed/NCBI

33 

Wang J, Chen J, Chang P, et al: microRNAs in plasma of pancreatic ductal adenocarcinoma patients as novel blood-based biomarkers of disease. Cancer Prev Res. 2:807–813. 2009. View Article : Google Scholar : PubMed/NCBI

34 

Li CL, Nie H, Wang M, et al: microRNA-155 is downregulated in gastric cancer cells and involved in cell metastasis. Oncol Rep. 27:1960–1966. 2012.PubMed/NCBI

Related Articles

  • Abstract
  • View
  • Download
  • Twitter
Copy and paste a formatted citation
Spandidos Publications style
Huang C, Li H, Wu W, Jiang T and Qiu Z: Regulation of miR-155 affects pancreatic cancer cell invasiveness and migration by modulating the STAT3 signaling pathway through SOCS1. Oncol Rep 30: 1223-1230, 2013.
APA
Huang, C., Li, H., Wu, W., Jiang, T., & Qiu, Z. (2013). Regulation of miR-155 affects pancreatic cancer cell invasiveness and migration by modulating the STAT3 signaling pathway through SOCS1. Oncology Reports, 30, 1223-1230. https://doi.org/10.3892/or.2013.2576
MLA
Huang, C., Li, H., Wu, W., Jiang, T., Qiu, Z."Regulation of miR-155 affects pancreatic cancer cell invasiveness and migration by modulating the STAT3 signaling pathway through SOCS1". Oncology Reports 30.3 (2013): 1223-1230.
Chicago
Huang, C., Li, H., Wu, W., Jiang, T., Qiu, Z."Regulation of miR-155 affects pancreatic cancer cell invasiveness and migration by modulating the STAT3 signaling pathway through SOCS1". Oncology Reports 30, no. 3 (2013): 1223-1230. https://doi.org/10.3892/or.2013.2576
Copy and paste a formatted citation
x
Spandidos Publications style
Huang C, Li H, Wu W, Jiang T and Qiu Z: Regulation of miR-155 affects pancreatic cancer cell invasiveness and migration by modulating the STAT3 signaling pathway through SOCS1. Oncol Rep 30: 1223-1230, 2013.
APA
Huang, C., Li, H., Wu, W., Jiang, T., & Qiu, Z. (2013). Regulation of miR-155 affects pancreatic cancer cell invasiveness and migration by modulating the STAT3 signaling pathway through SOCS1. Oncology Reports, 30, 1223-1230. https://doi.org/10.3892/or.2013.2576
MLA
Huang, C., Li, H., Wu, W., Jiang, T., Qiu, Z."Regulation of miR-155 affects pancreatic cancer cell invasiveness and migration by modulating the STAT3 signaling pathway through SOCS1". Oncology Reports 30.3 (2013): 1223-1230.
Chicago
Huang, C., Li, H., Wu, W., Jiang, T., Qiu, Z."Regulation of miR-155 affects pancreatic cancer cell invasiveness and migration by modulating the STAT3 signaling pathway through SOCS1". Oncology Reports 30, no. 3 (2013): 1223-1230. https://doi.org/10.3892/or.2013.2576
Follow us
  • Twitter
  • LinkedIn
  • Facebook
About
  • Spandidos Publications
  • Careers
  • Cookie Policy
  • Privacy Policy
How can we help?
  • Help
  • Live Chat
  • Contact
  • Email to our Support Team