Spandidos Publications Logo
  • About
    • About Spandidos
    • Aims and Scopes
    • Abstracting and Indexing
    • Editorial Policies
    • Reprints and Permissions
    • Job Opportunities
    • Terms and Conditions
    • Contact
  • Journals
    • All Journals
    • Oncology Letters
      • Oncology Letters
      • Information for Authors
      • Editorial Policies
      • Editorial Board
      • Aims and Scope
      • Abstracting and Indexing
      • Bibliographic Information
      • Archive
    • International Journal of Oncology
      • International Journal of Oncology
      • Information for Authors
      • Editorial Policies
      • Editorial Board
      • Aims and Scope
      • Abstracting and Indexing
      • Bibliographic Information
      • Archive
    • Molecular and Clinical Oncology
      • Molecular and Clinical Oncology
      • Information for Authors
      • Editorial Policies
      • Editorial Board
      • Aims and Scope
      • Abstracting and Indexing
      • Bibliographic Information
      • Archive
    • Experimental and Therapeutic Medicine
      • Experimental and Therapeutic Medicine
      • Information for Authors
      • Editorial Policies
      • Editorial Board
      • Aims and Scope
      • Abstracting and Indexing
      • Bibliographic Information
      • Archive
    • International Journal of Molecular Medicine
      • International Journal of Molecular Medicine
      • Information for Authors
      • Editorial Policies
      • Editorial Board
      • Aims and Scope
      • Abstracting and Indexing
      • Bibliographic Information
      • Archive
    • Biomedical Reports
      • Biomedical Reports
      • Information for Authors
      • Editorial Policies
      • Editorial Board
      • Aims and Scope
      • Abstracting and Indexing
      • Bibliographic Information
      • Archive
    • Oncology Reports
      • Oncology Reports
      • Information for Authors
      • Editorial Policies
      • Editorial Board
      • Aims and Scope
      • Abstracting and Indexing
      • Bibliographic Information
      • Archive
    • Molecular Medicine Reports
      • Molecular Medicine Reports
      • Information for Authors
      • Editorial Policies
      • Editorial Board
      • Aims and Scope
      • Abstracting and Indexing
      • Bibliographic Information
      • Archive
    • World Academy of Sciences Journal
      • World Academy of Sciences Journal
      • Information for Authors
      • Editorial Policies
      • Editorial Board
      • Aims and Scope
      • Abstracting and Indexing
      • Bibliographic Information
      • Archive
    • International Journal of Functional Nutrition
      • International Journal of Functional Nutrition
      • Information for Authors
      • Editorial Policies
      • Editorial Board
      • Aims and Scope
      • Abstracting and Indexing
      • Bibliographic Information
      • Archive
    • International Journal of Epigenetics
      • International Journal of Epigenetics
      • Information for Authors
      • Editorial Policies
      • Editorial Board
      • Aims and Scope
      • Abstracting and Indexing
      • Bibliographic Information
      • Archive
    • Medicine International
      • Medicine International
      • Information for Authors
      • Editorial Policies
      • Editorial Board
      • Aims and Scope
      • Abstracting and Indexing
      • Bibliographic Information
      • Archive
  • Articles
  • Information
    • Information for Authors
    • Information for Reviewers
    • Information for Librarians
    • Information for Advertisers
    • Conferences
  • Language Editing
Spandidos Publications Logo
  • About
    • About Spandidos
    • Aims and Scopes
    • Abstracting and Indexing
    • Editorial Policies
    • Reprints and Permissions
    • Job Opportunities
    • Terms and Conditions
    • Contact
  • Journals
    • All Journals
    • Biomedical Reports
      • Information for Authors
      • Editorial Policies
      • Editorial Board
      • Aims and Scope
      • Abstracting and Indexing
      • Bibliographic Information
      • Archive
    • Experimental and Therapeutic Medicine
      • Information for Authors
      • Editorial Policies
      • Editorial Board
      • Aims and Scope
      • Abstracting and Indexing
      • Bibliographic Information
      • Archive
    • International Journal of Epigenetics
      • Information for Authors
      • Editorial Policies
      • Editorial Board
      • Aims and Scope
      • Abstracting and Indexing
      • Bibliographic Information
      • Archive
    • International Journal of Functional Nutrition
      • Information for Authors
      • Editorial Policies
      • Editorial Board
      • Aims and Scope
      • Abstracting and Indexing
      • Bibliographic Information
      • Archive
    • International Journal of Molecular Medicine
      • Information for Authors
      • Editorial Policies
      • Editorial Board
      • Aims and Scope
      • Abstracting and Indexing
      • Bibliographic Information
      • Archive
    • International Journal of Oncology
      • Information for Authors
      • Editorial Policies
      • Editorial Board
      • Aims and Scope
      • Abstracting and Indexing
      • Bibliographic Information
      • Archive
    • Medicine International
      • Information for Authors
      • Editorial Policies
      • Editorial Board
      • Aims and Scope
      • Abstracting and Indexing
      • Bibliographic Information
      • Archive
    • Molecular and Clinical Oncology
      • Information for Authors
      • Editorial Policies
      • Editorial Board
      • Aims and Scope
      • Abstracting and Indexing
      • Bibliographic Information
      • Archive
    • Molecular Medicine Reports
      • Information for Authors
      • Editorial Policies
      • Editorial Board
      • Aims and Scope
      • Abstracting and Indexing
      • Bibliographic Information
      • Archive
    • Oncology Letters
      • Information for Authors
      • Editorial Policies
      • Editorial Board
      • Aims and Scope
      • Abstracting and Indexing
      • Bibliographic Information
      • Archive
    • Oncology Reports
      • Information for Authors
      • Editorial Policies
      • Editorial Board
      • Aims and Scope
      • Abstracting and Indexing
      • Bibliographic Information
      • Archive
    • World Academy of Sciences Journal
      • Information for Authors
      • Editorial Policies
      • Editorial Board
      • Aims and Scope
      • Abstracting and Indexing
      • Bibliographic Information
      • Archive
  • Articles
  • Information
    • For Authors
    • For Reviewers
    • For Librarians
    • For Advertisers
    • Conferences
  • Language Editing
Login Register Submit
  • This site uses cookies
  • You can change your cookie settings at any time by following the instructions in our Cookie Policy. To find out more, you may read our Privacy Policy.

    I agree
Search articles by DOI, keyword, author or affiliation
Search
Advanced Search
presentation
Oncology Reports
Join Editorial Board Propose a Special Issue
Print ISSN: 1021-335X Online ISSN: 1791-2431
Journal Cover
December 2013 Volume 30 Issue 6

Full Size Image

Sign up for eToc alerts
Recommend to Library

Journals

International Journal of Molecular Medicine

International Journal of Molecular Medicine

International Journal of Molecular Medicine is an international journal devoted to molecular mechanisms of human disease.

International Journal of Oncology

International Journal of Oncology

International Journal of Oncology is an international journal devoted to oncology research and cancer treatment.

Molecular Medicine Reports

Molecular Medicine Reports

Covers molecular medicine topics such as pharmacology, pathology, genetics, neuroscience, infectious diseases, molecular cardiology, and molecular surgery.

Oncology Reports

Oncology Reports

Oncology Reports is an international journal devoted to fundamental and applied research in Oncology.

Experimental and Therapeutic Medicine

Experimental and Therapeutic Medicine

Experimental and Therapeutic Medicine is an international journal devoted to laboratory and clinical medicine.

Oncology Letters

Oncology Letters

Oncology Letters is an international journal devoted to Experimental and Clinical Oncology.

Biomedical Reports

Biomedical Reports

Explores a wide range of biological and medical fields, including pharmacology, genetics, microbiology, neuroscience, and molecular cardiology.

Molecular and Clinical Oncology

Molecular and Clinical Oncology

International journal addressing all aspects of oncology research, from tumorigenesis and oncogenes to chemotherapy and metastasis.

World Academy of Sciences Journal

World Academy of Sciences Journal

Multidisciplinary open-access journal spanning biochemistry, genetics, neuroscience, environmental health, and synthetic biology.

International Journal of Functional Nutrition

International Journal of Functional Nutrition

Open-access journal combining biochemistry, pharmacology, immunology, and genetics to advance health through functional nutrition.

International Journal of Epigenetics

International Journal of Epigenetics

Publishes open-access research on using epigenetics to advance understanding and treatment of human disease.

Medicine International

Medicine International

An International Open Access Journal Devoted to General Medicine.

Journal Cover
December 2013 Volume 30 Issue 6

Full Size Image

Sign up for eToc alerts
Recommend to Library

  • Article
  • Citations
    • Cite This Article
    • Download Citation
    • Create Citation Alert
    • Remove Citation Alert
    • Cited By
  • Similar Articles
    • Related Articles (in Spandidos Publications)
    • Similar Articles (Google Scholar)
    • Similar Articles (PubMed)
  • Download PDF
  • Download XML
  • View XML
Article

Antitumor effect of 1, 8-cineole against colon cancer

  • Authors:
    • Soichiro Murata
    • Risa Shiragami
    • Chihiro Kosugi
    • Tohru Tezuka
    • Masato Yamazaki
    • Atsushi Hirano
    • Yukino Yoshimura
    • Masato Suzuki
    • Kiyohiko Shuto
    • Nobuhiro Ohkohchi
    • Keiji Koda
  • View Affiliations / Copyright

    Affiliations: Department of Surgery, Teikyo University Chiba Medical Center, Ichihara, Japan, Department of Surgery, Division of Gastroenterological and Hepatobiliary Surgery, and Organ Transplantation, University of Tsukuba, Tsukuba, Ibaraki, Japan
  • Pages: 2647-2652
    |
    Published online on: October 1, 2013
       https://doi.org/10.3892/or.2013.2763
  • Expand metrics +
Metrics: Total Views: 0 (Spandidos Publications: | PMC Statistics: )
Metrics: Total PDF Downloads: 0 (Spandidos Publications: | PMC Statistics: )
Cited By (CrossRef): 0 citations Loading Articles...

This article is mentioned in:



Abstract

Several essential oils possess pharmacological effects. Among the various constituents of essential oils, 1, 8-cineole has been shown to possess pharmacological effects such as anti-bacterial and anti-inflammatory effects. The effect of 1, 8-cineole on human colorectal cancer cells, however, has not reported previously. In this study, we have investigated the anti-proliferative effect of 1, 8-cineole on human colon cancer cell lines HCT116 and RKO by WST-8 and BrdU assays. The cytotoxicity of 1, 8-cineole was investigated by LDH activity and TUNEL staining. The mechanism of apoptosis by 1, 8-cineole was determined by western blot analyses. In in vivo study, RKO cells were injected into the SCID mice and the effect of 1, 8-cineole was investigated. Specific induction of apoptosis, not necrosis, was observed in human colon cancer cell lines HCT116 and RKO by 1, 8-cineole. The treatment with 1, 8-cineole was associated with inactivation of survivin and Akt and activation of p38. These molecules induced cleaved PARP and caspase-3, finally causing apoptosis. In xenotransplanted SCID mice, the 1, 8-cineole group showed significantly inhibited tumor progression compared to the control group. These results indicated 1, 8-cineole suppressed human colorectal cancer proliferation by inducing apoptosis. Based on these studies 1, 8-cineole would be an effective strategy to treat colorectal cancer.

Introduction

The use of plant-derived natural products for medical benefits is playing an important role globally. Several anticancer drugs available on the market today such as Taxol, Oncovin, Navelbine and Vumon trace their origins to plants (1–3). In cancer therapy, the focus is on strategies that suppress tumor growth through cell cycle disruption (4) and activate the apoptotic program in the cell (5).

Several essential oils from plants possess medical benefits. Among the various constituents of essential oils, 1, 8-cineole has been shown to possess pharmacological effects. The content of 1, 8-cineole in the essential oils varies in the different Eucalyptus species, from 25 to 90% (6,7). 1, 8-cineole has been used as a percutaneous penetration enhancer (8), as an antibacterial and expectorant (6), anti-inflammatory (9,10) or antihypertensive (11) agent. 1, 8-cineole was reported to induce apoptosis in leukemia cell lines (12).

In this study, we found that 1, 8-cineole exerts antitumor activity on human colon cancer cell lines HCT116 and RKO. We investigated whether 1, 8-cineole induces apoptosis in two human colorectal cancer cell lines and in a xenograft model.

Materials and methods

Reagents

1, 8-cineole (eucalyptol) was obtained from Sigma (St. Louis, MO, USA). For cell culture experiment, 1, 8-cineole was dissolved in ethanol and then in water at a concentration of 0.1 mg/ml. In an in vitro experiment, 5–50 mM of 1, 8-cineole was added to the medium and cell viability assay and western blot experiments were performed 24 h later.

Cells

The human CRC cell lines HCT116 and RKO were used and tested for mycoplasma-free cell lines. The cancer cell lines were subdivided into multiple tubes for stock in liquid nitrogen immediately after possession. All cell lines were subjected to the present experiment within 6 months of resuscitation. Stock cultures were grown in high-glucose DMEM containing 10% FBS and 1% antibiotics. The cells were grown in growth medium at 37°C in a 95% air, 5% CO2-humidified incubator.

Cell viability assay

To measure the cytotoxicity of 1, 8-cineole against these cancer cells, 3×103 cells were plated per well onto 96-well plates. Following overnight culture, 1, 8-cineole and oxaliplatin were added at specified concentrations. After 24 h incubation, cell viability was measured by the mitochondrial activity in reducing 2-(2-methoxy-4-nitrophenyl)-3-(4-nitrophenyl)-5-(2,4-disulfophenyl)-2H-tetrazolium monosodium salt (WST-8) to formazan using a Cell Counting kit-8 (Dojindo Laboratories, Kumamoto, Japan). Cells were incubated with a reagent as per the manufacturer's instructions. Plates were read at A450 on a spectrometer.

Cell proliferation assay

To measure the cell proliferation activity of 1, 8-cineole against HCT116 and RKO cancer cells, 3×103 cells were plated per well onto 96-well plates. Following overnight culture, 1, 8-cineole was added at specified concentrations. After 24 h of incubation, cell proliferation was measured with a BrdU assay kit (Roche Diagnostics, Penzberg, Germany). Cells were incubated with a reagent as per the manufacturer's instructions. Plates were read at A450 on a spectrometer.

Lactate dehydrogenase (LDH) activity assay

In order to evaluate the activity of the cytoplasmic enzyme lactate dehydrogenase (LDH) released from the cytosol when cells were damaged under stress, HCT116 and RKO cells were seeded (1×105 cells/ml) on 96-well plates. The LDH activity was determined using a commercial kit (Takara Bio, Tokyo, Japan). Absorbance values were then correlated with the number of viable cells to predict the cytotoxic activity. Triton X-100 (1%) (Sigma) was used as a positive control.

Apoptosis assay

The In Situ Cell Death Detection kit (Roche Diagnostics, Basel, Switzerland) was used for the demonstration of apoptotic cell death of cell culture and liver tissue. Cells (3×104) were plated per well onto Lab-Tek II Chamber Slides (Nalge Nunc International, Tokyo, Japan) and were incubated with the terminal deoxynucleotidyl transferase-mediated dUTP nick end labeling (TUNEL) reaction mixture according to the manufacturer's recommendations.

Western blot analysis

For western blot analysis, total protein extracts of HCT116 cells were obtained 24 h after 1, 8-cineole treatment and separated by 10% SDS-PAGE and transferred to nitrocellulose membrane (Millipore, Bedford, MA, USA). The following antibodies were used as primary antibodies: cleaved caspase-3 (9661), cleaved poly(ADP-ribose) polymerase (PARP) (5625p), survivin (2808p), phosphoserine 473 Akt (9271), phospho p38 (4511p) and GAPDH (2118) (Cell Signaling Technology, Beverly, MA, USA). Secondary goat anti-rabbit antibody conjugated with horseradish peroxidase was purchased from Cell Signaling Technology.

Animals

Seven-week-old male severe combined immunodeficiency (SCID) mice (Clea, Tokyo, Japan), weighing 24–28 g, were utilized. The mice were kept in a temperature-controlled room on a 12-h light-dark cycle. They had free access to water and standard chow throughout the experiment. After an acclimation period of ≥7 days, the mice were separated into two groups as follows: control group, mice without any treatment (n=10); and 1, 8-cineole group, mice with 1, 8-cineole treatment (n=9). All animal experiments were carried out in a humane manner after receiving approval from the Institutional Animal Committee of Teikyo University and in accordance with the Regulation for Animal Experiments of the University and Fundamental Guidelines for Proper Conduct of Animal Experiments and Related Activities in Academic Research Institutions under the jurisdication of the Ministry of Education, Culture, Sports, Science and Technology of Japan.

Xenograft

Cells (2×106) of RKO were injected subcutaneously into the right flank of each mouse with a 27-gauge needle. Tumors were detected by palpation and measured periodically with calipers. Seven days after tumor injection, 50 mg/kg of 1, 8-cineole was injected subcutaneously every 3 days. Twenty-one days after inoculation, mice were sacrificed and tumors were removed for examination.

Statistical analysis

All data are expressed as the mean ± SD of samples. Comparisons between various points were made using one-way ANOVA. Comparisons between the two groups were made using Mann-Whitney U test. Significant data were examined by the Bonferroni-Dunn multiple comparisons post hoc test. In all cases, a P-value <0.05 was considered statistically significant.

Results

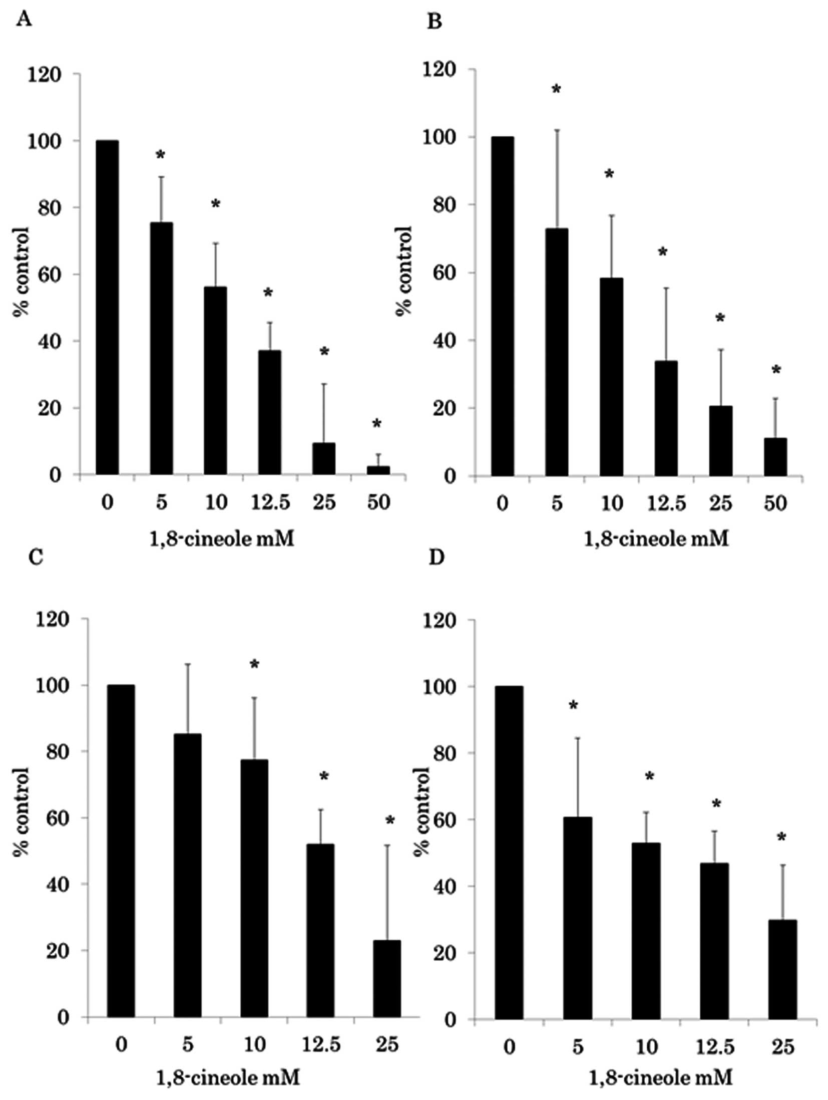
Dose-dependent inhibition of proliferation of human CRC cell lines by 1, 8-cineole

We initially determined whether 1, 8-cineole treatment led to the inhibition of human CRC cell proliferation. CRC cells were treated with various doses of 1, 8-cineole for 24 h and cell viability was assayed using WST-8 assay (Fig. 1A and B) and BrdU assay (Fig. 1C and D). Fig. 1 shows that as the dose of 1, 8-cineole increased from 5 to 50 mM, cell growth inhibition increased in a dose-dependent fashion in CRC cell lines HCT116 and RKO. 1, 8-cineole-induced growth inhibition was found to be statistically significant (p<0.01) (one-way ANOVA) in 5–50 mM of 1, 8-cineole compared to 0 mM in WST-8 assay and 5–25 mM in BrdU assay.

Figure 1

Effect of 1, 8-cineole on the WST-8 assay and BrdU assay of human CRC cell lines. CRC cell lines were treated with 0–50 mM 1, 8-cineole for 24 h. (A) RKO; (B) HCT116. *p<0.01 compared to 0 mM 1, 8-cineole. The values indicate ratio compared to 0 mM 1, 8-cineole as 100% control. In the BrdU assay of human CRC cell lines, cell lines were treated with 0–25 mM 1, 8-cineole for 24 h. (C) RKO; (D) HCT116. *p<0.01 compared to 0 mM 1, 8-cineole. The values indicate ratio compared to 0 mM 1, 8-cineole as 100% control.

1, 8-cineole does not induce necrosis

Fig. 2 shows the cytoplasmic LDH released of HCT116 and RKO cells treated with each sample at 5–50 mM of 1, 8-cineole. Compared to culture medium (negative control), no statically significant increase in LDH released by these cells was observed. However, all samples showed a statistically significant difference (p<0.01) in LDH released when compared to 1% Triton X-100 (positive control). Damaged cells or those under stress can release cytoplasmic LDH and other substances into the medium due to disruption of the cytoplasmic membrane and cell necrosis (13). Therefore, it is possible that the cytotoxic activity of the samples was not based on the mechanism of cell death by necrosis. Consequently, these results indicate that the cytotoxic activity of the samples can involve pathways inducing cell death by apoptosis.

Figure 2

Effect of 1, 8-cineole on the LDH activity assay of human CRC cell lines. CRC cell lines were treated with 0–50 mM 1, 8-cineole for 24 h. (A) RKO; (B) HCT116. *p<0.01 compared to 1% Triton X-100. The values indicate ratio compared to 1% Triton X-100 as 100% control.

Induction of apoptosis via activation of caspase-dependent pathway by 1, 8-cineole

In subsequent experiments, we determined the mechanism of the observed suppressive effect of 1, 8-cineole by WST-8 and BrdU assays. The overexpression of survivin has been observed to cooperate with survival pathways, including the phosphatidylinositol-3-kinase (PI3K)/Akt pathway. Suppression of survivin and constitutive activated Akt and activation of p38 was observed in 12.5–50 mM of 1, 8-cineole. These molecules induced increments of cleaved PARP and caspase-3 in 1, 8-cineole treatment (Fig. 3A). TUNEL staining of RKO cells showed apoptotic cells in 50 mM of 1, 8-cineole (Fig. 3B).

Figure 3

(A) RKO cells were treated with 0–50 mM of 1, 8-cineole for 24 h. After cell lysis, equal amounts of proteins were separated by SDS-PAGE, transferred to Immobilon membrane and immunoblotted with antibodies against survivin, p-Akt, p-p38, cleaved caspase-3, cleaved PARP and GAPDH as indicated. 1, 8-cineole treatment caused suppression of survivin, dephosphorylation of constitutive phosphorylation of Akt, p38 activation and cleavage of PARP and caspase-3. (B) TUNEL staining of RKO cells, which were treated with 0, 5 and 50 mM of 1, 8-cineole. Stained cells indicate TUNEL positive apoptotic cells.

1, 8-cineole inhibits tumor growth of RKO xenografts

We evaluated the potential effectiveness of 1, 8-cineole in a xenograft model of RKO, which was subcutaneously injected into the right flank of each mouse. Fig. 4A shows representative mice of each group. No skin damage was observed in the 1, 8-cineole group. Fig. 4B shows tumors removed from the representative control and mice with 1, 8-cineole groups. Fig. 4C indicates tumor growth curve. Fig. 4D indicates tumor weight in the 2 groups. Tumor growth was significantly inhibited in the 1, 8-cineole group, compared to the control group.

Figure 4

1, 8-cineole therapy significantly inhibits tumor growth of the xenograft RKO tumors in SCID mice. RKO cells were injected into the right flank subcutaneously. Seven days later, 50 mg/kg of 1, 8-cineole was injected subcutaneously 4 times, with 3-day intervals. Control animals were prepared as no treatment. (A) Representative mice of the 2 groups. Arrows indicated tumors. No skin damage was observed in the 2 groups. (B) Representative xenograft tumors of the 2 groups. (C) Tumor volume of the 2 groups. Columns, mean; bars, SD. White bar, control group. Black bar, 1, 8-cineole group. *p<0.05 versus control group. (D) Tumor weight of the 2 groups. **p<0.01 versus control group.

Discussion

Essential oils and their components have been investigated regarding their effect against a variety of human cancer cell lines. Lemon balm was verified to show cytotoxic activity against some human cancer cell lines and a mouse cell line (14). The genus Eucalyptus is native to Australia and this plant is mainly cultivated for paper, pharmaceutical and cosmetics industries. Several species of Eucalyptus are also used in traditional medicine as antiseptics and against infections of the upper respiratory tract such as the common cold, influenza and sinus congestion (15,16). Essential oils from this species have a therapeutic application in the treatment of pulmonary infections by inhalation (17) and the monoterpene extracted from Eucalyptus species exhibit antibacterial activity (18). Ashour (19) showed cytotoxic activities of volatile oils and extracts from Eucalyptus species against the human breast adenocarcinoma cell line MCF7.

Among the various constituents of essential oils extracted from Eucalyptus species, 1, 8-cineole is one of the main constituent in the essential oils from Eucalyptus species (6,7). 1, 8-cineole has been shown to possess several pharmacological effects. The cytotoxic activities against tumor cell lines were previously only reported in leukemia cell lines (12). In this study, we revealed the cytotoxic activities of 1, 8-cineole against human colorectal cancer for the first time.

The mechanism of cell killing by 1, 8-cineole is not fully understood. Suppression of growth by 1, 8-cineole in the leukemia cell lines was reported to the induction of apoptosis (12). Survivin is a type of inhibitor of apoptosis (IAP) protein and helps repress apoptosis. IAPs are highly expressed in most malignancies and play key roles in the survival of neoplastic cells by negatively regulating apoptosis (20). Several studies show that high survivin expression in tumors is associated with lower apoptosis index, increased resistance to chemotherapeutic agents and poor patient survival (21). Specific inhibition of survivin expression in multiple cancer cell lines by a survivin antisense oligonucleotide induced caspase-3-dependent apoptosis, cell cycle arrest in the G2-M phase and multinucleated cells (21). Inhibition of survivin expression using 1, 8-cineole mediates the apoptosis and growth arrest in human colorectal cancers. p38 MAP kinase is a member of the MAP kinase family and is activated by a variety of cellular stresses (22–26). Activated p38 MAP kinase appears to have multiple targets in the apoptotic pathway. Activated p38 mediates apoptosis by the downregulation of survivin in colon cancer cells (27,28). The phosphatidylinositol-3-kinase (PI3K)/Akt pathway is a cell signaling pathway and signaling through the PI3K/Akt signaling axis promotes growth and survival and undergoes apoptosis (29). The overexpression of PI3K/Akt pathway was observed in many human cancers (30). Our results show that human CRC cell line RKO contains constitutively active PI3K/Akt pathway. RKO expressed phosphoserine 473-Akt constitutively and treatment with 1, 8-cineole dephosphorylated Akt. 1, 8-cineole treatment activated p38 and dephosphorylated Akt, which induced caspase-3 cleavage and resultant cleavage of PARP and finally caused apoptosis.

In a xenotransplant mouse model, 1, 8-cineole therapy showed tumor shrinkage comparable to the control group. Throughout the experiments, the animals had no weight loss in 1, 8-cineole and control groups (data not shown). Moreover, we could not observe any skin damage in the 1, 8-cineole group, which was injected locally.

In conclusion, these findings demonstrate that 1, 8-cineole might exert its antitumor activity by triggering apoptosis in human colorectal cancer cells in vitro and in vivo. 1, 8-cineole shows promise as a strong and safe chemotherapeutic agent for colorectal cancer.

Acknowledgements

The authors thank Satoko Nakabayashi for technical assistance. This study was supported in part by grants-in-aid from the Ministry of Education, Culture, Sports, Science and Technology of Japan (MEXT).

References

1 

Pezzuto JM: Plant-derived anticancer agents. Biochem Pharmacol. 53:121–133. 1997. View Article : Google Scholar

2 

Kinghorn AD, Farnsworth NR, Doel Soejarto D, et al: Novel strategies for the discovery of plant-derived anticancer agents. Pure Appl Chem. 71:1611–1618. 1999. View Article : Google Scholar

3 

Lee KH: Anticancer drug design based on plant-derived natural products. J Biomed Sci. 6:236–250. 1999.PubMed/NCBI

4 

Moalic S, Liagre B, Corbiére C, et al: A plant steroid, diosgenin, induces apoptosis, cell cycle arrest and COX activity in osteosarcoma cells. FEBS Lett. 506:225–230. 2001. View Article : Google Scholar : PubMed/NCBI

5 

Fan S, Cherney B, Reinhold W, et al: Disruption of p53 function in immortalized human cells does not affect survival or apoptosis after taxol or vincristine treatment. Clin Can Res. 4:1047–1054. 1998.PubMed/NCBI

6 

Giamakis A, Kretsi O, Chinou IB, et al: Eucalyptus camaldulensis: volatiles from immature flowers and high production of 1,8-cineole and b-pinene by in vitro cultures. Phytochemistry. 58:351–355. 2001. View Article : Google Scholar

7 

Tsiri DO, Kretsi O, Chinou IB, et al: Composition of fruit volatiles and annual changes in the volatiles of leaves of Eucalyptus camandulensis Dehn. Growing in Greece. Flav Fragr J. 18:244–247. 2003. View Article : Google Scholar

8 

Levinson KK, Takayama K, Okabe K, et al: Formulation optimization of indomethacine gels containing a combination of three kinds of cyclic monoterpenes as percutaneous penetration enhancers. J Pharm Sci. 83:1367–1372. 1994. View Article : Google Scholar : PubMed/NCBI

9 

Juergens UR, Stober M, Schmidt-Schilling L, et al: Anti-inflammatory effects of encalyptol (1,8-cineole) in bronchial asthma:inhibition of arachidonic acid metabolism in human blood monocytes ex vivo. Eur J Med Res. 17:407–412. 1998.PubMed/NCBI

10 

Juergens UR, Stober M and Vetter H: Inhibition of cytokine production and arachidonic acid metabolism by eucalyptol (1,8-cineole) in human blood monocytes in vitro. Eur J Med Res. 17:508–510. 1998.PubMed/NCBI

11 

Lahlou S, Figueierdo AF, Magalhaes PJ, et al: Cardiovascular effects of 1,8-cineole, a terpenoid oxide present in many plant essential oils, in normotensive rats. Can J Physiol Pharmacol. 80:1125–1131. 2002. View Article : Google Scholar : PubMed/NCBI

12 

Moteki H, Hibasami H, Yamada Y, et al: Specific induction of apoptosis by 1,8-cineole in two human leukemia cell lines, but not a in human stomach cancer cell line. Oncol Rep. 9:757–760. 2002.PubMed/NCBI

13 

Korzeniewski C and Callewaert DM: An enzyme-release assay for natural cytotoxicity. J Immunol Methods. 64:313–320. 1983. View Article : Google Scholar : PubMed/NCBI

14 

De Sousa AC, Alviano DS, Blank AF, et al: Melissa officinalis L. Essential oil: antitumoral and antioxidant activities. J Pharm Pharmacol. 56:677–681. 2004.

15 

Silva J, Abebe W, Sousa SM, et al: Analgestic and anti-inflammatory effects of essential oils of Eucalyptus. J Ethnopharmacol. 89:277–283. 2003. View Article : Google Scholar : PubMed/NCBI

16 

Williams LR, Stockley JK, Yan W, et al: Essential oils with high antimicrobial activity for therapeutic use. Int J Aromatherapy. 8:30–40. 1998. View Article : Google Scholar

17 

Low D, Rawal BD and Griffin WJ: Antibacterial action of the essential oils of some Australian Myrtaceae with special references to the activity of chromatographic fractions of oil of Eucalyptus citriodora. Planta Med. 26:184–185. 1974. View Article : Google Scholar : PubMed/NCBI

18 

Ramezani H, Singh HP, Batish DR, et al: Antifungal activity of the volatile oil of Eucalyptus citriodora. Fitoterapia. 73:261–262. 2002. View Article : Google Scholar : PubMed/NCBI

19 

Ashour HM: Antibacterial, antifungal and anticancer activities of volatile oils and extracts from stems, leaves and flowers of Eucalyptus sideroxylon and Eucalyptus torquata. Cancer Biol Ther. 7:399–403. 2008. View Article : Google Scholar : PubMed/NCBI

20 

Altieri DC: Validating survivin as a cancer therapeutic target. Nat Rev Cancer. 3:46–54. 2003. View Article : Google Scholar : PubMed/NCBI

21 

Carrasco RA, Stamm NB, Marcusson E, et al: Antisense inhibition of survivin expression as a cancer therapeutic. Mol Cancer Ther. 10:221–232. 2011. View Article : Google Scholar : PubMed/NCBI

22 

Rouse J, Cohen P, Trigon S, et al: A novel kinase cascade triggered by stress and heat shock that stimulates MAPKAP kinase-2 and phosphorylation of the small heat shock proteins. Cell. 78:1027–1037. 1994. View Article : Google Scholar : PubMed/NCBI

23 

Han J, Lee JD, Bibbs L, et al: A MAP kinase targeted by endotoxin and hyperosmolarity in mammalian cells. Science. 265:808–811. 1994. View Article : Google Scholar : PubMed/NCBI

24 

Lee JC, Laydon JT, McDonnell PC, et al: A protein kinase involved in the regulation of inflammatory cytokine biosynthesis. Nature. 372:739–746. 1994. View Article : Google Scholar : PubMed/NCBI

25 

Freshney NW, Rawlinson L, Guesdon F, et al: Interleukin-1 activates a novel protein kinase cascade that results in the phosphorylation of Hsp27. Cell. 78:1039–1049. 1994. View Article : Google Scholar : PubMed/NCBI

26 

Raingeaud J, Gupta S, Rogers JS, et al: Pro-inflammatory cytokines and environmental stress cause p38 mitogen-activated protein kinase activation by dual phosphorylation on tyrosine and threonine. J Biol Chem. 270:7420–7426. 1995. View Article : Google Scholar

27 

Hsiao PW, Chang CC, Liu HF, et al: Activation of p38 mitogen-activated protein kinase by celecoxib oppositely regulates survivin and gamma-H2AX in human colorectal cancer cells. Toxicol Appl Pharmacol. 222:97–104. 2007. View Article : Google Scholar

28 

Hsu YF, Sheu JR, Lin CH, et al: Trichostatin A and sirtinol suppressed survivin expression through AMPK and p38 MAPK in HT29 colon cancer cells. Biochem Biophys Acta. 1820:104–115. 2012. View Article : Google Scholar : PubMed/NCBI

29 

Toker A and Yoeli-Lerner M: Akt signaling and cancer: surviving but not moving on. Cancer Res. 66:3963–3966. 2006. View Article : Google Scholar : PubMed/NCBI

30 

Altomare DA and Testa JR: Perturbations of the AKT signaling pathway in human cancer. Oncogene. 24:7455–7464. 2005. View Article : Google Scholar : PubMed/NCBI

Related Articles

  • Abstract
  • View
  • Download
  • Twitter
Copy and paste a formatted citation
Spandidos Publications style
Murata S, Shiragami R, Kosugi C, Tezuka T, Yamazaki M, Hirano A, Yoshimura Y, Suzuki M, Shuto K, Ohkohchi N, Ohkohchi N, et al: Antitumor effect of 1, 8-cineole against colon cancer. Oncol Rep 30: 2647-2652, 2013.
APA
Murata, S., Shiragami, R., Kosugi, C., Tezuka, T., Yamazaki, M., Hirano, A. ... Koda, K. (2013). Antitumor effect of 1, 8-cineole against colon cancer. Oncology Reports, 30, 2647-2652. https://doi.org/10.3892/or.2013.2763
MLA
Murata, S., Shiragami, R., Kosugi, C., Tezuka, T., Yamazaki, M., Hirano, A., Yoshimura, Y., Suzuki, M., Shuto, K., Ohkohchi, N., Koda, K."Antitumor effect of 1, 8-cineole against colon cancer". Oncology Reports 30.6 (2013): 2647-2652.
Chicago
Murata, S., Shiragami, R., Kosugi, C., Tezuka, T., Yamazaki, M., Hirano, A., Yoshimura, Y., Suzuki, M., Shuto, K., Ohkohchi, N., Koda, K."Antitumor effect of 1, 8-cineole against colon cancer". Oncology Reports 30, no. 6 (2013): 2647-2652. https://doi.org/10.3892/or.2013.2763
Copy and paste a formatted citation
x
Spandidos Publications style
Murata S, Shiragami R, Kosugi C, Tezuka T, Yamazaki M, Hirano A, Yoshimura Y, Suzuki M, Shuto K, Ohkohchi N, Ohkohchi N, et al: Antitumor effect of 1, 8-cineole against colon cancer. Oncol Rep 30: 2647-2652, 2013.
APA
Murata, S., Shiragami, R., Kosugi, C., Tezuka, T., Yamazaki, M., Hirano, A. ... Koda, K. (2013). Antitumor effect of 1, 8-cineole against colon cancer. Oncology Reports, 30, 2647-2652. https://doi.org/10.3892/or.2013.2763
MLA
Murata, S., Shiragami, R., Kosugi, C., Tezuka, T., Yamazaki, M., Hirano, A., Yoshimura, Y., Suzuki, M., Shuto, K., Ohkohchi, N., Koda, K."Antitumor effect of 1, 8-cineole against colon cancer". Oncology Reports 30.6 (2013): 2647-2652.
Chicago
Murata, S., Shiragami, R., Kosugi, C., Tezuka, T., Yamazaki, M., Hirano, A., Yoshimura, Y., Suzuki, M., Shuto, K., Ohkohchi, N., Koda, K."Antitumor effect of 1, 8-cineole against colon cancer". Oncology Reports 30, no. 6 (2013): 2647-2652. https://doi.org/10.3892/or.2013.2763
Follow us
  • Twitter
  • LinkedIn
  • Facebook
About
  • Spandidos Publications
  • Careers
  • Cookie Policy
  • Privacy Policy
How can we help?
  • Help
  • Live Chat
  • Contact
  • Email to our Support Team