International Journal of Molecular Medicine is an international journal devoted to molecular mechanisms of human disease.
International Journal of Oncology is an international journal devoted to oncology research and cancer treatment.
Covers molecular medicine topics such as pharmacology, pathology, genetics, neuroscience, infectious diseases, molecular cardiology, and molecular surgery.
Oncology Reports is an international journal devoted to fundamental and applied research in Oncology.
Experimental and Therapeutic Medicine is an international journal devoted to laboratory and clinical medicine.
Oncology Letters is an international journal devoted to Experimental and Clinical Oncology.
Explores a wide range of biological and medical fields, including pharmacology, genetics, microbiology, neuroscience, and molecular cardiology.
International journal addressing all aspects of oncology research, from tumorigenesis and oncogenes to chemotherapy and metastasis.
Multidisciplinary open-access journal spanning biochemistry, genetics, neuroscience, environmental health, and synthetic biology.
Open-access journal combining biochemistry, pharmacology, immunology, and genetics to advance health through functional nutrition.
Publishes open-access research on using epigenetics to advance understanding and treatment of human disease.
An International Open Access Journal Devoted to General Medicine.
Prostate cancer (PCa) is one of the most common malignancies and one of the leading causes of cancer deaths in men in the Western world. There are many therapeutic options against localized prostate cancer including prostatectomy and radiation therapy (1). However, in advanced cancer, most tumors ultimately relapse after a period of initial response to therapy and progress to metastatic cancer (2,3). It is still a clinical challenge to deal with advanced prostate cancer in patients. Unfortunately, many aspects remain unknown of the cellular and molecular mechanisms for metastatic disease (4). As is known, epithelial-mesenchymal transition (EMT) plays essential roles in development, invasion and migration of prostate cancer. EMT is characterized by loss of homotypic adhesion and cell polarity (5). The most familiar change that occurs during EMT is the downregulation of surface E-cadherin expression and increased expression of N-cadherin. Many signaling pathways, including TGF-β, Wnt, notch, PI3K/AKT, and hedgehog, have been intricately connected to the onset of EMT (6). A number of studies have reported that EMT-inducing transcription factors, such as Snail, Slug, Twist, and Zeb, are directly or indirectly involved in cancer cell metastasis through different signaling cascades and pathways (7).
Nuclear factor κB (NF-κB) signaling has been previously identified as an important pathway in the regulation of EMT in tumor progression (8). The NF-κB family is composed of five proteins, including Rel-A/p65, Rel-B, C-Rel, p52, and p50. In unstimulated cells, uninduced NF-κB dimers are restrained in the cytoplasm by complex formation with a member of the IκB family (9). On stimulation, IκB proteins are phosphorylated by the multisubunit IκB kinase (IKK) complex, subsequently ubiquitinated and degraded through the proteasomal pathway. Then, the liberated NF-κB heterodimer rapidly translocates into the nucleus, where it binds to the κB site and induces transcription of a wide variety of target genes involved in cancer development and progression (10). The IKK complex consists of IKKα/IKK1, IKKβ/IKK2, and IKKγ/NEMO. Recently, two protein kinases called IKKε/IKKi and TBK1 (TANK-banding kinase) were identified that exhibit structural similarity to IKKα and IKKβ (11). However, it remains unclear what is the regulation relationship between upstream NF-κB activator IKK family members and EMT in prostate cancer.
Because IKK is a key molecular complex specifically regulating IκB proteins and subsequently targeting NF-κB, we speculated that IKK would be a potential therapeutic target for prostate cancer. A potent small-molecule compound, BMS-345541, was identified as a highly selective IKKα and IKKβ inhibitor to inhibit kinase activity (12). To determine whether IKK inhibitor manipulates the process of EMT and cell death, we delivered the BMS-345541 drug to human prostate cancer PC-3 cell in vitro. Here we investigated the detailed effect of IKK inhibitor on EMT, apoptosis, and metastasis in prostate cancer cells.
BMS-345541 (4(2′-aminoethyl) amino-1, 8-dimethylimidazo(1,2-α) quinoxaline) were obtained from Calbiochem (San Diego, CA, USA). BMS-345541 was dissolved in DMSO to produce a 50-mmol/l stock solution for experiments. All phosphospecific or total antibodies used in this study were purchased from Cell Signaling Tech (Denver, MA, USA) and Santa Cruz Biotech (Santa Cruz, CA, USA).
PC-3 and LNCaP cells were obtained directly from the American Type Culture Collection (Manassas, VA, USA). All cell lines were grown in RPMI-1640 medium (Gibco) both supplemented 10% heat-inactivated FBS (fetal bovine serum), 100 IU/ml penicillin, 100 µg/ml streptomycin, 0.1 mM non-essential amino acids, 0.2 mM glutamine, and 1 mM pyruvate and incubated at 37°C in a 5% CO2 incubator. Cells were treated with BMS-345541 in the following experiments. Cell treated with DMSO were used as controls. Each experiment was repeated three times.
The cells were seeded in a 96-well culture plate and cultured overnight. The MTT assay was used to determine cell viability. BMS-345541 was added to the cells in different time and concentration. The MTT regent (5 mg/ml) was added and the cells then incubated for a further 4 h. The reduced MTT crystals were dissolved in DMSO and the absorbance was detected on BioTek ELISA reader (Winooski, VT, USA) at 570 nm wavelength.
The cell invasion assay was performed using Boyden chambers with 8 µm porosity polyvinylpyrrolidone-free polycarbonate filters coated with 50 µg/ml Matrigel solution. The cells in 24-well plates at a concentration of 5×104/well were cultured for 24 h with DMSO and BMS-345541, respectively. Normal culture medium was added to the bottom chamber to induce the cancer cell lines. Pretreated cell were seeded in the top chamber. The Matrigel invasion chamber was incubated for 24 h in a humidified culture incubator, and after 24 h, the non-invasive cells were removed from the upper surface of the separating membrane using a cotton swab. The invading cells were then fixed in 100% methanol and stained with 0.1% crystal violet solution. They were counted using a microscope (magnification, ×200).
Cells were cultured to reach 100% confluency and were pretreated with DMSO or IKK inhibitor (BMS-345541) for 12 h in culture medium supplemented with 10% FBS. A scratch wound was created on the cell surface using a micropipette tip. The wound area was photographed by bright-field microscopy every 8 h for 48 h. The width of the wound was measured and the wound closure rate was calculated.
For isolation of total protein, control and treated cells were washed in ice cold PBS. Briefly, treated cells were lysed in modified lysis buffer containing 50 mM Tris-HCl (pH 7.4), 150 mM NaCl, 1% NP-40, 0.1% SDS, 1 mM EDTA, 1 mM EGTA, 20 mM NaF, 1% sodium deoxycholate and protease inhibitor cocktail (Roche, Mannheim, Germany). After lysis, the lysates were centrifuged for 10 min at 13,000 g at 4°C. Total protein samples (25–50 μg) were transferred onto PVDF membrane after electrophoretic separation in 12% SDS polyacrylamide gel. After blocked with 5% non-fat milk in Tris-buffered saline for 1 h at room temperature, the membranes were incubated overnight with the primary antibody at 4°C and washed three times in PBS containing 0.1% Tween-20, then incubated with the horseradish peroxidase conjugated secondary antibodies at room temperature for 1 h. The membranes were washed three times in PBS, and then developed with a horseradish peroxidase chemiluminescence detection reagent and exposed to X-ray film.
A quantitative evaluation method was applied by using terminal deoxynucleotidyl transferase- mediated deoxyuridine triphosphate (TdT) nick-end labelling (TUNEL) kit to examine apoptotic cells. Briefly, coverslips with adherent cells treated with BMS-345541 (5 µmol/l) for 72 h were fixed in 4% paraformaldehyde at room temperature for 30 min. Then they were rinsed in distilled water and incubated in PBS containing 0.2% Triton X-100. DNA fragments were labeled with TUNEL-enzyme (Boehringer Mannheim). The kit was used according to the manufacturer's instructions, with the addition of incubation in TdT reaction buffer for 10 min before TUNEL reaction. The coverslips were then incubated in TdT reaction mixture for 60 min at 37°C in humidified chamber, rinsed in stop wash buffer for 10 min and washed by PBS for 3 times. The reaction was detected by incubating coverslips with streptavidin-HRP in PBS for 30 min at room temperature. Then washed by PBS 3 times, and the sections were incubated with DAB solution for 10 min.
Positive signal was defined as the presence of a dark brown staining on the nuclei of the neoplastic cells or on apoptotic bodies as morphologically defined. Cells were defined as apoptotic if the whole nuclear area of cells labeled positively. Apoptotic bodies were defined as small, positively labeled, globular bodies in the cytoplasm of the tumor cells that could be found either singly or in groups. The apoptotic index was determined by the percentage of apoptotic cells divided by the number of tumor cells in ×400 magnification. A total of ≥1,000 neoplastic nuclei were counted based on 10 randomly chosen fields at ×400 magnification. Apoptotic cells were identified by TUNEL in conjunction with characteristic morphological changes, such as cell shrinkage, membrane blebbing, and chromatin condensation.
Data are expressed as mean ± standard deviation (SD) from three independent experiments. All statistical analyses were performed using the SPSS 19.0 for Windows software system. Data with two groups were analyzed by Student's t-tests, and data with multiple groups were analyzed by one-way ANOVA. A significant difference was considered when the P-value from a two-tailed test was <0.05.
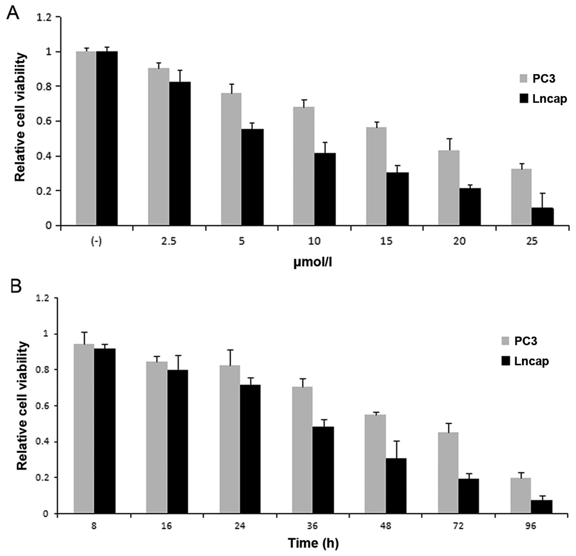
Since inappropriate regulation of IKK/NF-κB correlates with prostate caner progression, IKK inhibitor might be a potential therapeutic agent (13). Hereby, we first assessed the effects of BMS-345541 on cell viability in PC-3 and LNCaP prostate cancer cells, respectively. PC-3 (1×103) and LNCaP (5×103) cell lines were cultured in medium with BMS-345541 at 0, 2.5, 5, 10, 15, 20 and 25 µmol/l concentrations. We then measured cell viability at different time points (8–96 h). From the results of MTT assay, the inhibition rate of prostate cancer cells treated with BMS-345541 showed a dose-dependent and time-dependent increase (Fig. 1).
BMS-345541 was identified as a selective inhibitor of the catalytic subunits of IKK (IKKβ IC50=0.3 micron, IKKα IC50=4 micron). It bands to similar allosteric sites on IKKα and IKKβ, which then affects the active sites of subunits differently (14). The IκBα is constitutively phosphorylated in PC-3 cells by IKK (15). To evaluate the effect of the IKK inhibitor BMS-345541 on phosphorylation of IκBα, we performed western blotting using cytoplasmic extracts from PC-3 cells treated with DMSO or BMS-345541 (final concentration, 0.5, 2.5 and 5 µM) in DMSO for 12 h. As shown in Fig. 2, treatment of PC-3 cells with 0.5, 2.5 and 5 µM doses of BMS-345541 for 12 h resulted in a significant decrease in p-IκBα level in a dose-dependent manner. Compared with DMSO-treated control, the level of inhibition was 50% at 5 µM doses for 12 h.
In addition, p50/p65 dimer is considered to be the most important of NF-κB proteins, and nuclear translocation of p50/p65 is required for their transactivation potential (16). Western blot analysis of nuclear protein from PC-3 cells treated with BMS-345541 showed a dose-dependent inhibition of the NF-κB/p65 level (Fig. 2). Compared with DMSO-treated control, a 60% inhibition in NF-κB/p65 protein expression in the nucleus was observed 10 µM dose of BMS-345541 for 12 h.
Accumulated evidence suggests that prostate cancer cells can activate the process of EMT, and epithelial cells undergo multiple biochemical changes including expression of mesenchymal biomarkers, induction of angiogenesis and resistance to apoptosis (17–19). To characterize the effect of IKK inhibitor on EMT, we used BMS-345541 with varying concentration in PC-3 cells. As shown in Fig. 3, BMS-345541 induced upregulation of the epithelial marker E-cadherin at protein level. Nevertheless, we observed downregulation of the N-cadherin, Snail, Slug and Twist proteins in a dose-dependent manner.
N-myc downstream-regulated gene 1 (NDRG1) is a potent metastasis suppressor that has been demonstrated to inhibit the TGF-β induced EMT in prostate cancer cells (20). To elucidate the molecular role of NDRG1 in EMT and the IKK inhibitor effect on NDRG1, immunoblot analysis was used to measure the level of phosphorylation of NDRG1 in PC-3 treated by BMS-345541. There was a significant increase in phosphorylated NDRG1 by blocking IKK in a dose-dependent manner (Fig. 3).
We investigated whether BMS-345541 has an impact on invasion and migration of PC-3 cells, which is usually associated with the propensity to metastasis. The invasion ability of PC-3 cells was assessed by transwell invasion assay, and BMS-345541 significantly decreased the cell invasion through matrigel-coated filters by 40% at 24 h (Fig. 4). We further examined the cell migration by wounding cells plated on the cell culture plates. The result of wound healing assay showed that PC-3 cells treated by BMS-345541 were unable to recolonize the denuded zone as fast as the control cells did at 48 h after removal (Fig. 5).
The above results demonstrate that IKK inhibitor exerts a control on the invasion and migration capacities of prostate cancer cells and suggests that, besides its effect on the cell proliferative rate, it could also contribute to both tumor aggressiveness and metastasis.
PC-3 cells after exposure to BMS-345541 for 72 h were examined by TUNEL assay. As shown in Fig. 6, apoptotic nuclei and fragmented DNA were stained dark brown in treated cells, but not in the control cells. The apoptotic index is significantly higher in the BMS-345541 treated cells than in the control (Table I).
To gain better understanding of the mechanism leading to cell death, we measured the combined effect of IKK inhibitor on the expression of Bcl-2 and Bax proteins. As shown in Fig. 7, the decreases in Bcl-2 expression were significantly greater in samples treated with BMS-345541 than those in control samples. Moreover, IKK inhibitor resulted in greater increases in Bax protein expression than untreated control.
Several lines of evidence suggest that IKK/NF-κB pathway activation is a key event in the acquisition of invasive and metastatic capacities in prostate cancer (21). Furthermore, NF-κB expression is upregulated in patients with castration-resistant prostate cancer (CRPC) who progress more rapidly (13). The kinase subunits of IKK complex have previously been shown to be involved either directly or indirectly in the regulation of cellular proliferation (22). Hence, both IKKα and IKKβ are considered to be therapeutic targets for development of anticancer agents (23,24). However, the precise mechanisms how it is achieved in prostate cancer are only partly understood. In this study, we characterized a highly selective IKK small-molecule kinase inhibitor-BMS-345541, and demonstrated a key role of IKK in both EMT and apoptosis of prostate cancer. Unlike other reported IKK inhibitors, BMS-345541 was found to bind to an unidentified allosteric site of the catalytic subunits, and so behaves as an ATP-non-competitive inhibitor. The high selectivity of BMS-345541 for IKKα and IKKβ suggests that the allosteric site is unique to the IKKs, although it cannot be excluded that the site may also be present within other kinases not yet tested for selectivity (14). Especially, BMS-345541 is a potent and selective inhibitor of IKKα and IKKβ. It displays 10-fold greater selectivity towards IKKβ than IKKα with no activity towards IKKε or other protein kinases, even at concentrations as high as 100 µM.
In our study, we showed that BMS-345541 treatment results in a concentration-dependent suppression of prostate cancer cell survival in vitro. In addition, BMS-345541 could induce cell apoptosis and cause inhibition of tumor cell migration and invasion in PC-3 cells. Thus, we demonstrate the significant inhibitory effect on CRPC of IKK inhibitor. This phenomenon may involve several biologic properties such as EMT and programmed cell death existing in tumor cells. We found that BMS-345541 treatment resulted in inhibition of cytoplasmic pIκBα and reduction of NF-κB p65 nuclear translocation. Thus, significant blockade of NF-κB pathway was achieved by IKK inhibitor. Based on the complexity of signaling networks that regulate induction of EMT, and the plasticity of these transitions, it is important to focus on the most promising methods toward safe and effective reversal of EMT. IKK/NF-κB appears to be a potential pathway in the regulation of EMT. Our results showed that IKK inhibitor reduced the critical EMT markers and transcription factors including N-cadherin, Snail, and Slug in PC-3 cells. Nevertheless, the level of E-cadherin protein increased in a dose-dependent manner with BMS-345541 treatment.
N-myc downregulated gene 1 (NDRG1) is a known metastasis suppressor in multiple cancers, being also involved in cell growth and differentiation, apoptosis, stress responses, angiogenesis and EMT (25,26). However, the relationship of IKKs, EMT and NDRG1 is unclear. Here, we first confirmed the effects of IKK inhibitor on NDRG1 protein in prostate cancer cells. The results showed BMS-345541 induced upregulation of membrane pNDRG1 in a dose-dependent manner. It has been reported that NDRG1 modulated EMT through upregulation of the E-cadherin expression, but downregulation of the N-cadherin, Snail, Slug, and Vimentin (27). We predict that there is a complex signaling network among IKK, NDRG1 and EMT which needs further studies in the future.
Several lines of evidence demonstrated that NF-κB activation and NDRG1 downregulation can maintain tumor cell viability, and regulation targeting these factors is sufficient to induce apoptosis (28,29). In our research, the TUNEL assay revealed IKK inhibitor regulated both NF-κB and NDRG1, and resulted in a dramatic induction of prostate cancer cell apoptosis. Molecules belonging to the B-cell lymphoma leukaemia-2 (Bcl-2)/Bax system play a crucial role in the regulation of the apoptotic process. In particular, Bcl-2 is an intracellular protein that inhibits apoptosis while Bax counteracts the anti-apoptotic function of Bcl-2 by binding to this molecule. Furthermore, we conformed that the cell apoptosis was mediated through Bcl-2 downregulation and Bax overexpression. The Bax/Bcl-2 ratio appears more important than the individual Bax or Bcl-2 level in determining cell apoptosis, and high Bax/Bcl-2 ratio leads to greater apoptotic activity.
In conclusion, the IKK inhibitor BMS-345541, significantly suppresses the growth, invasion, migration of prostate cancer cells in vitro, as well as induces cell apoptosis. The mechanism may involve in the blockade of IKK/NF-κB pathway and EMT, and NDRG1 plays an important role in this process. Our studies provide a rationale and molecular basis for IKK inhibitor in the clinical treatment of prostate cancer. IKK inhibitors have the potential as novel therapeutic agents to deal with the advanced prostate cancer in the future.
This study was supported by the Beijing Municipal Administration of Hospitals Incubating Program (code: PX2016050).
|
Bayne CE, Williams SB, Cooperberg MR, Gleave ME, Graefen M, Montorsi F, Novara G, Smaldone MC, Sooriakumaran P, Wiklund PN, et al: Treatment of the primary tumor in metastatic prostate cancer: Current concepts and future perspectives. Eur Urol. May 20–2015.Epub ahead of print. S0302–2838. (15): 00378-4. PubMed/NCBI | |
|
Miyake H and Fujisawa M: Prognostic prediction following radical prostatectomy for prostate cancer using conventional as well as molecular biological approaches. Int J Urol. 20:301–311. 2013. View Article : Google Scholar | |
|
Lei JH, Liu LR, Wei Q, Song TR, Yang L, Meng Y and Han P: Androgen-deprivation therapy alone versus combined with radiation therapy or chemotherapy for nonlocalized prostate cancer: A systematic review and meta-analysis. Asian J Androl. 18:102–107. 2016. View Article : Google Scholar : | |
|
Nandana S and Chung LW: Prostate cancer progression and metastasis: Potential regulatory pathways for therapeutic targeting. Am J Clin Exp Urol. 2:92–101. 2014.PubMed/NCBI | |
|
Clucas J and Valderrama F: ERM proteins in cancer progression. J Cell Sci. 128:12532015. View Article : Google Scholar : PubMed/NCBI | |
|
Xu J, Lamouille S and Derynck R: TGF-β-induced epithelial to mesenchymal transition. Cell Res. 19:156–172. 2009. View Article : Google Scholar : PubMed/NCBI | |
|
McConkey DJ, Choi W, Marquis L, Martin F, Williams MB, Shah J, Svatek R, Das A, Adam L, Kamat A, et al: Role of epithelial-to-mesenchymal transition (EMT) in drug sensitivity and metastasis in bladder cancer. Cancer Metastasis Rev. 28:335–344. 2009. View Article : Google Scholar : PubMed/NCBI | |
|
Min C, Eddy SF, Sherr DH and Sonenshein GE: NF-kappaB and epithelial to mesenchymal transition of cancer. J Cell Biochem. 104:733–744. 2008. View Article : Google Scholar : PubMed/NCBI | |
|
Napetschnig J and Wu H: Molecular basis of NF-κB signaling. Annu Rev Biophys. 42:443–468. 2013. View Article : Google Scholar : | |
|
Kim SW, Schifano M, Oleksyn D, Jordan CT, Ryan D, Insel R, Zhao J and Chen L: Protein kinase C-associated kinase regulates NF-κB activation through inducing IKK activation. Int J Oncol. 45:1707–1714. 2014.PubMed/NCBI | |
|
Courtois G and Israël A: IKK regulation and human genetics. Curr Top Microbiol Immunol. 349:73–95. 2011. | |
|
Yang J, Amiri KI, Burke JR, Schmid JA and Richmond A: BMS-345541 targets inhibitor of kappaB kinase and induces apoptosis in melanoma: Involvement of nuclear factor kappaB and mitochondria pathways. Clin Cancer Res. 12:950–960. 2006. View Article : Google Scholar : PubMed/NCBI | |
|
Nguyen DP, Li J, Yadav SS and Tewari AK: Recent insights into NF-κB signalling pathways and the link between inflammation and prostate cancer. BJU Int. 114:168–176. 2014. View Article : Google Scholar | |
|
Burke JR, Pattoli MA, Gregor KR, Brassil PJ, MacMaster JF, McIntyre KW, Yang X, Iotzova VS, Clarke W, Strnad J, et al: BMS-345541 is a highly selective inhibitor of I kappa B kinase that binds at an allosteric site of the enzyme and blocks NF-kappa B-dependent transcription in mice. J Biol Chem. 278:1450–1456. 2003. View Article : Google Scholar | |
|
Gasparian AV, Yao YJ, Kowalczyk D, Lyakh LA, Karseladze A, Slaga TJ and Budunova IV: The role of IKK in constitutive activation of NF-kappaB transcription factor in prostate carcinoma cells. J Cell Sci. 115:141–151. 2002.PubMed/NCBI | |
|
Dyson HJ and Komives EA: Role of disorder in IκB-NFκB interaction. IUBMB Life. 64:499–505. 2012. View Article : Google Scholar : PubMed/NCBI | |
|
Luo Y, Cui X, Zhao J, Han Y, Li M, Lin Y, Jiang Y and Lan L: Cells susceptible to epithelial-mesenchymal transition are enriched in stem-like side population cells from prostate cancer. Oncol Rep. 31:874–884. 2014. | |
|
Behnsawy HM, Miyake H, Harada K and Fujisawa M: Expression patterns of epithelial-mesenchymal transition markers in localized prostate cancer: Significance in clinicopathological outcomes following radical prostatectomy. BJU Int. 111:30–37. 2013. View Article : Google Scholar | |
|
Thiery JP, Acloque H, Huang RYJ and Nieto MA: Epithelial- mesenchymal transitions in development and disease. Cell. 139:871–890. 2009. View Article : Google Scholar : PubMed/NCBI | |
|
Chen Z, Zhang D, Yue F, Zheng M, Kovacevic Z and Richardson DR: The iron chelators Dp44mT and DFO inhibit TGF-β-induced epithelial-mesenchymal transition via upregulation of N-Myc downstream-regulated gene 1 (NDRG1). J Biol Chem. 287:17016–17028. 2012. View Article : Google Scholar : PubMed/NCBI | |
|
Jain G, Voogdt C, Tobias A, Spindler KD, Möller P, Cronauer MV and Marienfeld RB: IκB kinases modulate the activity of the androgen receptor in prostate carcinoma cell lines. Neoplasia. 14:178–189. 2012. View Article : Google Scholar : PubMed/NCBI | |
|
Bradford JW and Baldwin AS: IKK/nuclear factor-kappaB and oncogenesis: Roles in tumor-initiating cells and in the tumor microenvironment. Adv Cancer Res. 121:125–145. 2014. View Article : Google Scholar : PubMed/NCBI | |
|
Tada Y, Kokabu S, Sugiyama G, Nakatomi C, Aoki K, Fukushima H, Osawa K, Sugamori Y, Ohya K, Okamoto M, et al: The novel IκB kinase β inhibitor IMD-0560 prevents bone invasion by oral squamous cell carcinoma. Oncotarget. 5:12317–12330. 2014. View Article : Google Scholar : PubMed/NCBI | |
|
Shi J, Chen J, Serradji N, Xu X, Zhou H, Ma Y, Sun Z, Jiang P, Du Y, Yang J, et al: PMS1077 sensitizes TNF-α induced apoptosis in human prostate cancer cells by blocking NF-κB signaling pathway. PLoS One. 8:e611322013. View Article : Google Scholar | |
|
Fang BA, Kovačević Ž, Park KC, Kalinowski DS, Jansson PJ, Lane DJR, Sahni S and Richardson DR: Molecular functions of the iron-regulated metastasis suppressor, NDRG1, and its potential as a molecular target for cancer therapy. Biochim Biophys Acta. 1845:1–19. 2014. | |
|
Sánchez-Tilló E, Liu Y, de Barrios O, Siles L, Fanlo L, Cuatrecasas M, Darling DS, Dean DC, Castells A and Postigo A: EMT-activating transcription factors in cancer: Beyond EMT and tumor invasiveness. Cell Mol Life Sci. 69:3429–3456. 2012. View Article : Google Scholar : PubMed/NCBI | |
|
Lee JC, Chung LC, Chen YJ, Feng TH and Juang HH: N-myc downstream-regulated gene 1 downregulates cell proliferation, invasiveness, and tumorigenesis in human oral squamous cell carcinoma. Cancer Lett. 355:242–252. 2014. View Article : Google Scholar : PubMed/NCBI | |
|
McCall P, Bennett L, Ahmad I, Mackenzie LM, Forbes IWG, Leung HY, Sansom OJ, Orange C, Seywright M, Underwood MA, et al: NFκB signalling is upregulated in a subset of castrate- resistant prostate cancer patients and correlates with disease progression. Br J Cancer. 107:1554–1563. 2012. View Article : Google Scholar : PubMed/NCBI | |
|
Kovacevic Z and Richardson DR: The metastasis suppressor, Ndrg-1: A new ally in the fight against cancer. Carcinogenesis. 27:2355–2366. 2006. View Article : Google Scholar : PubMed/NCBI |