Spandidos Publications Logo
  • About
    • About Spandidos
    • Aims and Scopes
    • Abstracting and Indexing
    • Editorial Policies
    • Reprints and Permissions
    • Job Opportunities
    • Terms and Conditions
    • Contact
  • Journals
    • All Journals
    • Oncology Letters
      • Oncology Letters
      • Information for Authors
      • Editorial Policies
      • Editorial Board
      • Aims and Scope
      • Abstracting and Indexing
      • Bibliographic Information
      • Archive
    • International Journal of Oncology
      • International Journal of Oncology
      • Information for Authors
      • Editorial Policies
      • Editorial Board
      • Aims and Scope
      • Abstracting and Indexing
      • Bibliographic Information
      • Archive
    • Molecular and Clinical Oncology
      • Molecular and Clinical Oncology
      • Information for Authors
      • Editorial Policies
      • Editorial Board
      • Aims and Scope
      • Abstracting and Indexing
      • Bibliographic Information
      • Archive
    • Experimental and Therapeutic Medicine
      • Experimental and Therapeutic Medicine
      • Information for Authors
      • Editorial Policies
      • Editorial Board
      • Aims and Scope
      • Abstracting and Indexing
      • Bibliographic Information
      • Archive
    • International Journal of Molecular Medicine
      • International Journal of Molecular Medicine
      • Information for Authors
      • Editorial Policies
      • Editorial Board
      • Aims and Scope
      • Abstracting and Indexing
      • Bibliographic Information
      • Archive
    • Biomedical Reports
      • Biomedical Reports
      • Information for Authors
      • Editorial Policies
      • Editorial Board
      • Aims and Scope
      • Abstracting and Indexing
      • Bibliographic Information
      • Archive
    • Oncology Reports
      • Oncology Reports
      • Information for Authors
      • Editorial Policies
      • Editorial Board
      • Aims and Scope
      • Abstracting and Indexing
      • Bibliographic Information
      • Archive
    • Molecular Medicine Reports
      • Molecular Medicine Reports
      • Information for Authors
      • Editorial Policies
      • Editorial Board
      • Aims and Scope
      • Abstracting and Indexing
      • Bibliographic Information
      • Archive
    • World Academy of Sciences Journal
      • World Academy of Sciences Journal
      • Information for Authors
      • Editorial Policies
      • Editorial Board
      • Aims and Scope
      • Abstracting and Indexing
      • Bibliographic Information
      • Archive
    • International Journal of Functional Nutrition
      • International Journal of Functional Nutrition
      • Information for Authors
      • Editorial Policies
      • Editorial Board
      • Aims and Scope
      • Abstracting and Indexing
      • Bibliographic Information
      • Archive
    • International Journal of Epigenetics
      • International Journal of Epigenetics
      • Information for Authors
      • Editorial Policies
      • Editorial Board
      • Aims and Scope
      • Abstracting and Indexing
      • Bibliographic Information
      • Archive
    • Medicine International
      • Medicine International
      • Information for Authors
      • Editorial Policies
      • Editorial Board
      • Aims and Scope
      • Abstracting and Indexing
      • Bibliographic Information
      • Archive
  • Articles
  • Information
    • Information for Authors
    • Information for Reviewers
    • Information for Librarians
    • Information for Advertisers
    • Conferences
  • Language Editing
Spandidos Publications Logo
  • About
    • About Spandidos
    • Aims and Scopes
    • Abstracting and Indexing
    • Editorial Policies
    • Reprints and Permissions
    • Job Opportunities
    • Terms and Conditions
    • Contact
  • Journals
    • All Journals
    • Biomedical Reports
      • Information for Authors
      • Editorial Policies
      • Editorial Board
      • Aims and Scope
      • Abstracting and Indexing
      • Bibliographic Information
      • Archive
    • Experimental and Therapeutic Medicine
      • Information for Authors
      • Editorial Policies
      • Editorial Board
      • Aims and Scope
      • Abstracting and Indexing
      • Bibliographic Information
      • Archive
    • International Journal of Epigenetics
      • Information for Authors
      • Editorial Policies
      • Editorial Board
      • Aims and Scope
      • Abstracting and Indexing
      • Bibliographic Information
      • Archive
    • International Journal of Functional Nutrition
      • Information for Authors
      • Editorial Policies
      • Editorial Board
      • Aims and Scope
      • Abstracting and Indexing
      • Bibliographic Information
      • Archive
    • International Journal of Molecular Medicine
      • Information for Authors
      • Editorial Policies
      • Editorial Board
      • Aims and Scope
      • Abstracting and Indexing
      • Bibliographic Information
      • Archive
    • International Journal of Oncology
      • Information for Authors
      • Editorial Policies
      • Editorial Board
      • Aims and Scope
      • Abstracting and Indexing
      • Bibliographic Information
      • Archive
    • Medicine International
      • Information for Authors
      • Editorial Policies
      • Editorial Board
      • Aims and Scope
      • Abstracting and Indexing
      • Bibliographic Information
      • Archive
    • Molecular and Clinical Oncology
      • Information for Authors
      • Editorial Policies
      • Editorial Board
      • Aims and Scope
      • Abstracting and Indexing
      • Bibliographic Information
      • Archive
    • Molecular Medicine Reports
      • Information for Authors
      • Editorial Policies
      • Editorial Board
      • Aims and Scope
      • Abstracting and Indexing
      • Bibliographic Information
      • Archive
    • Oncology Letters
      • Information for Authors
      • Editorial Policies
      • Editorial Board
      • Aims and Scope
      • Abstracting and Indexing
      • Bibliographic Information
      • Archive
    • Oncology Reports
      • Information for Authors
      • Editorial Policies
      • Editorial Board
      • Aims and Scope
      • Abstracting and Indexing
      • Bibliographic Information
      • Archive
    • World Academy of Sciences Journal
      • Information for Authors
      • Editorial Policies
      • Editorial Board
      • Aims and Scope
      • Abstracting and Indexing
      • Bibliographic Information
      • Archive
  • Articles
  • Information
    • For Authors
    • For Reviewers
    • For Librarians
    • For Advertisers
    • Conferences
  • Language Editing
Login Register Submit
  • This site uses cookies
  • You can change your cookie settings at any time by following the instructions in our Cookie Policy. To find out more, you may read our Privacy Policy.

    I agree
Search articles by DOI, keyword, author or affiliation
Search
Advanced Search
presentation
Oncology Reports
Join Editorial Board Propose a Special Issue
Print ISSN: 1021-335X Online ISSN: 1791-2431
Journal Cover
May-2018 Volume 39 Issue 5

Full Size Image

Sign up for eToc alerts
Recommend to Library

Journals

International Journal of Molecular Medicine

International Journal of Molecular Medicine

International Journal of Molecular Medicine is an international journal devoted to molecular mechanisms of human disease.

International Journal of Oncology

International Journal of Oncology

International Journal of Oncology is an international journal devoted to oncology research and cancer treatment.

Molecular Medicine Reports

Molecular Medicine Reports

Covers molecular medicine topics such as pharmacology, pathology, genetics, neuroscience, infectious diseases, molecular cardiology, and molecular surgery.

Oncology Reports

Oncology Reports

Oncology Reports is an international journal devoted to fundamental and applied research in Oncology.

Experimental and Therapeutic Medicine

Experimental and Therapeutic Medicine

Experimental and Therapeutic Medicine is an international journal devoted to laboratory and clinical medicine.

Oncology Letters

Oncology Letters

Oncology Letters is an international journal devoted to Experimental and Clinical Oncology.

Biomedical Reports

Biomedical Reports

Explores a wide range of biological and medical fields, including pharmacology, genetics, microbiology, neuroscience, and molecular cardiology.

Molecular and Clinical Oncology

Molecular and Clinical Oncology

International journal addressing all aspects of oncology research, from tumorigenesis and oncogenes to chemotherapy and metastasis.

World Academy of Sciences Journal

World Academy of Sciences Journal

Multidisciplinary open-access journal spanning biochemistry, genetics, neuroscience, environmental health, and synthetic biology.

International Journal of Functional Nutrition

International Journal of Functional Nutrition

Open-access journal combining biochemistry, pharmacology, immunology, and genetics to advance health through functional nutrition.

International Journal of Epigenetics

International Journal of Epigenetics

Publishes open-access research on using epigenetics to advance understanding and treatment of human disease.

Medicine International

Medicine International

An International Open Access Journal Devoted to General Medicine.

Journal Cover
May-2018 Volume 39 Issue 5

Full Size Image

Sign up for eToc alerts
Recommend to Library

  • Article
  • Citations
    • Cite This Article
    • Download Citation
    • Create Citation Alert
    • Remove Citation Alert
    • Cited By
  • Similar Articles
    • Related Articles (in Spandidos Publications)
    • Similar Articles (Google Scholar)
    • Similar Articles (PubMed)
  • Download PDF
  • Download XML
  • View XML
Article

The effect of α-solanine on the activity, gene expression, and kinetics of arylamine N-acetyltransferase in HepG2 cells

  • Authors:
    • Shiyong Gao
    • Huixin Tan
    • Lang Lang
    • Jing Bai
    • Yubin Ji
  • View Affiliations / Copyright

    Affiliations: Institute of Materia Medica, The Research Center for Life Sciences and Environmental Sciences, Harbin University of Commerce, Harbin, Heilongjiang 150076, P.R. China, Department of Pharmacy, The Fourth Affiliated Hospital of Harbin Medical University, Harbin, Heilongjiang 150001, P.R. China
  • Pages: 2427-2435
    |
    Published online on: March 15, 2018
       https://doi.org/10.3892/or.2018.6315
  • Expand metrics +
Metrics: Total Views: 0 (Spandidos Publications: | PMC Statistics: )
Metrics: Total PDF Downloads: 0 (Spandidos Publications: | PMC Statistics: )
Cited By (CrossRef): 0 citations Loading Articles...

This article is mentioned in:



Abstract

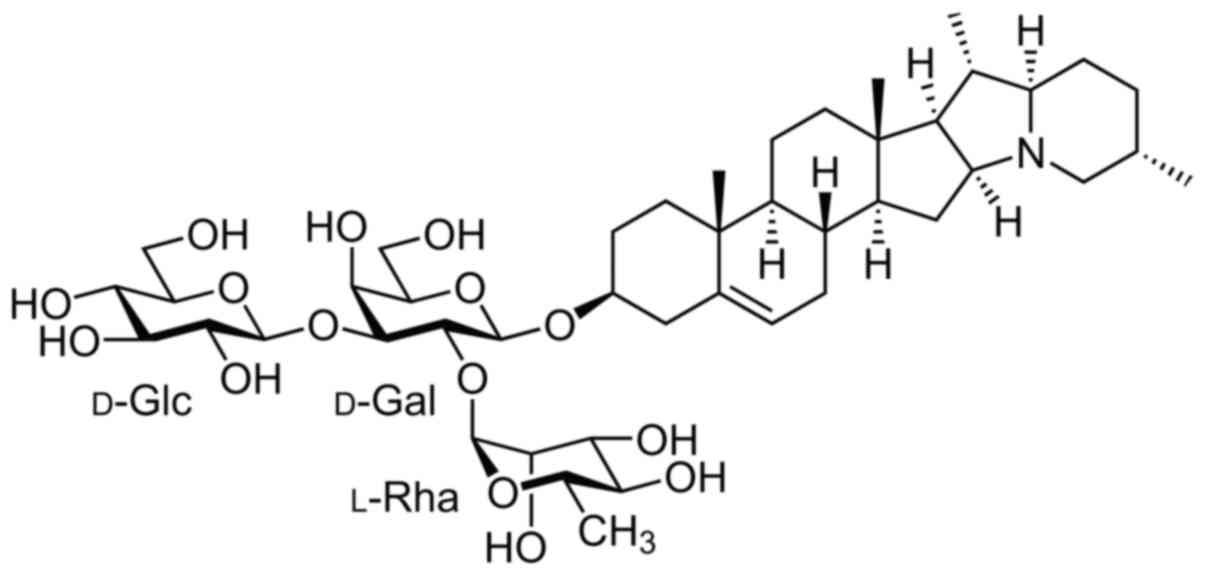
α-solanine is one of the major components of Solanum nigrum Linn., the fruits of which are used in China for food. In the present study, α-solanine was selected to assess the inhibition of arylamine N-acetyltransferase (NAT) activity and mRNA expression of NAT and kinetics in HepG2 cells. NAT activity was examined by HPLC. The double-reciprocal plot was contrived to yield a regression equation to calculate Km and Vmax. NAT mRNA expression was determined by PCR. The results revealed that α-solanine could significantly decrease NAT activity in intact HepG2 cells or the cytoplasm. Km did not differ either for intact HepG2 cells or for the cytoplasm, however Vmax was significantly different. α-solanine could decrease the expression of NAT1 mRNA and NAT2 mRNA. In summary, α-solanine was a non-competitive inhibitor of NAT in HepG2 cells. It decreased NAT activity through non-competitive inhibition of NAT activity and by decreasing the expression of NAT1 mRNA and NAT2 mRNA.
View Figures

Figure 1

Figure 2

Figure 3

Figure 4

View References

1 

Tiang JM, Butcher NJ and Minchin RF: Small molecule inhibition of arylamine N-acetyltransferase Type I inhibits proliferation and invasiveness of MDA-MB-231 breast cancer cells. Biochem Biophys Res Commun. 393:95–100. 2010. View Article : Google Scholar : PubMed/NCBI

2 

Ji YB and Gao SY: Arylamine N-acetyltransferases: A new inhibitor of apoptosis in HepG2 cells. J Zhejiang Univ Sci B. 9:701–706. 2008. View Article : Google Scholar : PubMed/NCBI

3 

Sugamori KS, Brenneman D, Sanchez O, Doll MA, Hein DW, Pierce WM Jr and Grant DM: Reduced 4-aminobiphenyl-induced liver tumorigenicity but not DNA damage in arylamine N-acetyltransferase null mice. Cancer Lett. 318:206–213. 2012. View Article : Google Scholar : PubMed/NCBI

4 

Chen YS, Ho CC, Cheng KC, Tyan YS, Hung CF, Tan TW and Chung JG: Curcumin inhibited the arylamines N-acetyltransferase activity, gene expression and DNA adduct formation in human lung cancer cells (A549). Toxicol In Vitro. 17:323–333. 2003. View Article : Google Scholar : PubMed/NCBI

5 

Chen JC, Hwang JM, Chen GW, Tsou MF, Hsia TC and Chung JG: Curcumin decreases the DNA adduct formation, arylamines N-acetyltransferase activity and gene expression in human colon tumor cells (colo 205). In Vivo. 17:301–309. 2003.PubMed/NCBI

6 

Chang SH, Chen GW, Yeh CC, Hung CF, Lin SS and Chung JG: Effects of the butylated hydroxyanisole and butylated hydroxytoluene on the DNA adduct formation and arylamines N-acetyltransferase activity in human colon tumor cells. Anticancer Res. 21:1087–1093. 2001.PubMed/NCBI

7 

Chung JG: Paeonol promotion of DNA adduct formation and arylamines N-acetyltransferase activity in human colon tumour cells. Food Chem Toxicol. 37:327–334. 1999. View Article : Google Scholar : PubMed/NCBI

8 

Yeh CC, Chung JG, Wu HC, Li YC, Lee YM and Hung CF: Effects of butylated hydroxyanisole and butylated hydroxytoluene on DNA adduct formation and arylamines N-acetyltransferase activity in PC-3 cells (human prostate tumor) in vitro. Food Chem Toxicol. 38:977–983. 2000. View Article : Google Scholar : PubMed/NCBI

9 

Lin SS, Chung JG, Lin JP, Chuang JY, Chang WC, Wu JY and Tyan YS: Berberine inhibits arylamine N-acetyltransferase activity and gene expression in mouse leukemia L 1210 cells. Phytomedicine. 12:351–358. 2005. View Article : Google Scholar : PubMed/NCBI

10 

Su CC, Lin JG, Chung JG and Hsieh YC: Effect of aqueous extract of Nightshade (Solanum nigrum Linn.) on expression of NAT1 mRNA in human gastric cancer SC-M1 cells. J Chin Med. 14:59–67. 2003.

11 

Su CC, Lin JG, Chung JG and Hsieh YC: Effect of aqueous extract of Nightshade (Solanum nigrum Linn.) on activity of NAT enzyme in human gastric cancer SC-M1 cells. Mid-Taiwan J Med. 8:8–13. 2003.

12 

Shen KH, Liao ACH, Hung JH, Lee WJ, Hu KC, Lin PT, Liao RF and Chen PS: α-Solanine inhibits invasion of human prostate cancer cell by suppressing epithelial-mesenchymal transition and MMPs expression. Molecules. 19:11896–11914. 2014. View Article : Google Scholar : PubMed/NCBI

13 

Hasanain M, Bhattacharjee A, Pandey P, Ashraf R, Singh N, Sharma S, Vishwakarma AL, Datta D, Mitra K and Sarkar J: α-Solanine induces ROS-mediated autophagy through activation of endoplasmic reticulum stress and inhibition of Akt/mTOR pathway. Cell Death Dis. 6:e18602015. View Article : Google Scholar : PubMed/NCBI

14 

Gao SY, Wang QJ and Ji YB: Effect of solanine on the membrane potential of mitochondria in HepG2 cells and [Ca2+]i in the cells. World J Gastroenterol. 12:3359–3367. 2006. View Article : Google Scholar : PubMed/NCBI

15 

Wu LT, Tsou MF, Ho CC, Chuang JY, Kuo HM and Chung JG: Berberine inhibits arylamine N-acetyltransferase activity and gene expression in Salmonella typhi. Curr Microbiol. 51:255–261. 2005. View Article : Google Scholar : PubMed/NCBI

16 

Stepp MW, Mamaliga G, Doll MA, States JC and Hein DW: Folate-dependent hydrolysis of acetyl-coenzyme A by recombinant human and rodent arylamine N-acetyltransferases. Biochem Biophys Rep. 3:45–50. 2015.PubMed/NCBI

17 

Sim E, Fakis G, Laurieri N and Boukouvala S: Arylamine N-acetyltransferases - from drug metabolism and pharmacogenetics to identification of novel targets for pharmacological intervention. Adv Pharmacol. 63:169–205. 2012. View Article : Google Scholar : PubMed/NCBI

18 

Cordes H, Thiel C, Aschmann HE, Baier V, Blank LM and Kuepfer L: A physiologically based pharmacokinetic model of isoniazid and its application in individualizing tuberculosis chemotherapy. Antimicrob Agents Chemother. 60:6134–6145. 2016. View Article : Google Scholar : PubMed/NCBI

19 

Brooke EW, Davies SG, Mulvaney AW, Pompeo F, Sim E and Vickers RJ: An approach to identifying novel substrates of bacterial arylamine N-acetyltransferases. Bioorg Med Chem. 11:1227–1234. 2003. View Article : Google Scholar : PubMed/NCBI

20 

Sim E, Abuhammad A and Ryan A: Arylamine N-acetyltransferases: From drug metabolism and pharmacogenetics to drug discovery. Br J Pharmacol. 171:2705–2725. 2014. View Article : Google Scholar : PubMed/NCBI

21 

Abass KM: An investigation into the formation of tebufenozide's toxic aromatic amine metabolites in human in vitro hepatic microsomes. Pestic Biochem Physiol. 133:73–78. 2016. View Article : Google Scholar : PubMed/NCBI

22 

Lacombe L, Fradet V, Lévesque É, Pouliot F, Larue H, Bergeron A, Hovington H, Caron A, Nguile-Makao M, Harvey M, et al: Phase II drug-metabolizing polymorphisms and smoking predict recurrence of non-muscle-invasive bladder cancer: A gene-smoking interaction. Cancer Prev Res. 9:189–195. 2016. View Article : Google Scholar

23 

Hsia TC, Yang JH, Lin HJ, Yu CS, Yu FS and Chung JG: Paclitaxel inhibits N-acetyltransferase activity and gene expression in human stomach tumor cells (SC-M1). Res Commun Mol Pathol Pharmacol. 115–116:21–38. 2004.

24 

Runge-Morris M and Kocarek TA: Expression of the sulfotransferase 1C family: Implications for xenobiotic toxicity. Drug Metab Rev. 45:450–459. 2013. View Article : Google Scholar : PubMed/NCBI

25 

Oda Y, Zhang Y, Buchinger S, Reifferscheid G and Yang M: Roles of human sulfotransferases in genotoxicity of carcinogens using genetically engineered umu test strains. Environ Mol Mutagen. 53:152–164. 2012. View Article : Google Scholar : PubMed/NCBI

26 

Sabbioni G: Hemoglobin adducts and urinary metabolites of arylamines and nitroarenes. Chem Res Toxicol. 30:1733–1766. 2017. View Article : Google Scholar : PubMed/NCBI

27 

Pan B, Zhong W, Deng Z, Lai C, Chu J, Jiao G, Liu J and Zhou Q: Inhibition of prostate cancer growth by solanine requires the suppression of cell cycle proteins and the activation of ROS/P38 signaling pathway. Cancer Med. 5:3214–3222. 2016. View Article : Google Scholar : PubMed/NCBI

28 

Babazadeh S, Moghaddam PA, Sabatyan A and Sharifian F: Classification of potato tubers based on solanine toxicant using laser induced light backscattering imaging. Comput Electron Agric. 129:1–8. 2016. View Article : Google Scholar

29 

Shiyong Gao ZX, Ji C and Wang H: Study of solanine on apoptosis in HepG2 cell. J Harbin Univ Commer (Natural Sciences Edition). 23:644–650. 2007.

30 

Ji YB, Gao SY, Ji CF and Zou X: Induction of apoptosis in HepG2 cells by solanine and Bcl-2 protein. J Ethnopharmacol. 115:194–202. 2008. View Article : Google Scholar : PubMed/NCBI

31 

Rodrigues-Lima F, Dairou J, Busi F and Dupret JM: Human arylamine N-acetyltransferase 1: A drug-metabolizing enzyme and a drug target? Curr Drug Targets. 11:759–766. 2010. View Article : Google Scholar : PubMed/NCBI

32 

Butcher NJ and Minchin RF: Arylamine N-acetyltransferase 1: A novel drug target in cancer development. Pharmacol Rev. 64:147–165. 2012. View Article : Google Scholar : PubMed/NCBI

33 

Ragunathan N, Dairou J, Pluvinage B, Martins M, Petit E, Janel N, Dupret JM and Rodrigues-Lima F: Identification of the xenobiotic-metabolizing enzyme arylamine N-acetyltransferase 1 as a new target of cisplatin in breast cancer cells: Molecular and cellular mechanisms of inhibition. Mol Pharmacol. 73:1761–1768. 2008. View Article : Google Scholar : PubMed/NCBI

34 

Gao SY and Ji YB: Effect of solanine on N-acetyltransferase activity in HepG2 cell. Chin Tradit Herbal Drugs. 39:1688–1691. 2008.

35 

Dupret JM and Rodrigues-Lima F: Structure and regulation of the drug-metabolizing enzymes arylamine N-acetyltransferases. Curr Med Chem. 12:311–318. 2005. View Article : Google Scholar : PubMed/NCBI

36 

Sim E, Lack N, Wang CJ, Long H, Westwood I, Fullam E and Kawamura A: Arylamine N-acetyltransferases: Structural and functional implications of polymorphisms. Toxicology. 254:170–183. 2008. View Article : Google Scholar : PubMed/NCBI

Related Articles

  • Abstract
  • View
  • Download
  • Twitter
Copy and paste a formatted citation
Spandidos Publications style
Gao S, Tan H, Lang L, Bai J and Ji Y: The effect of α-solanine on the activity, gene expression, and kinetics of arylamine N-acetyltransferase in HepG2 cells. Oncol Rep 39: 2427-2435, 2018.
APA
Gao, S., Tan, H., Lang, L., Bai, J., & Ji, Y. (2018). The effect of α-solanine on the activity, gene expression, and kinetics of arylamine N-acetyltransferase in HepG2 cells. Oncology Reports, 39, 2427-2435. https://doi.org/10.3892/or.2018.6315
MLA
Gao, S., Tan, H., Lang, L., Bai, J., Ji, Y."The effect of α-solanine on the activity, gene expression, and kinetics of arylamine N-acetyltransferase in HepG2 cells". Oncology Reports 39.5 (2018): 2427-2435.
Chicago
Gao, S., Tan, H., Lang, L., Bai, J., Ji, Y."The effect of α-solanine on the activity, gene expression, and kinetics of arylamine N-acetyltransferase in HepG2 cells". Oncology Reports 39, no. 5 (2018): 2427-2435. https://doi.org/10.3892/or.2018.6315
Copy and paste a formatted citation
x
Spandidos Publications style
Gao S, Tan H, Lang L, Bai J and Ji Y: The effect of α-solanine on the activity, gene expression, and kinetics of arylamine N-acetyltransferase in HepG2 cells. Oncol Rep 39: 2427-2435, 2018.
APA
Gao, S., Tan, H., Lang, L., Bai, J., & Ji, Y. (2018). The effect of α-solanine on the activity, gene expression, and kinetics of arylamine N-acetyltransferase in HepG2 cells. Oncology Reports, 39, 2427-2435. https://doi.org/10.3892/or.2018.6315
MLA
Gao, S., Tan, H., Lang, L., Bai, J., Ji, Y."The effect of α-solanine on the activity, gene expression, and kinetics of arylamine N-acetyltransferase in HepG2 cells". Oncology Reports 39.5 (2018): 2427-2435.
Chicago
Gao, S., Tan, H., Lang, L., Bai, J., Ji, Y."The effect of α-solanine on the activity, gene expression, and kinetics of arylamine N-acetyltransferase in HepG2 cells". Oncology Reports 39, no. 5 (2018): 2427-2435. https://doi.org/10.3892/or.2018.6315
Follow us
  • Twitter
  • LinkedIn
  • Facebook
About
  • Spandidos Publications
  • Careers
  • Cookie Policy
  • Privacy Policy
How can we help?
  • Help
  • Live Chat
  • Contact
  • Email to our Support Team