Spandidos Publications Logo
  • About
    • About Spandidos
    • Aims and Scopes
    • Abstracting and Indexing
    • Editorial Policies
    • Reprints and Permissions
    • Job Opportunities
    • Terms and Conditions
    • Contact
  • Journals
    • All Journals
    • Oncology Letters
      • Oncology Letters
      • Information for Authors
      • Editorial Policies
      • Editorial Board
      • Aims and Scope
      • Abstracting and Indexing
      • Bibliographic Information
      • Archive
    • International Journal of Oncology
      • International Journal of Oncology
      • Information for Authors
      • Editorial Policies
      • Editorial Board
      • Aims and Scope
      • Abstracting and Indexing
      • Bibliographic Information
      • Archive
    • Molecular and Clinical Oncology
      • Molecular and Clinical Oncology
      • Information for Authors
      • Editorial Policies
      • Editorial Board
      • Aims and Scope
      • Abstracting and Indexing
      • Bibliographic Information
      • Archive
    • Experimental and Therapeutic Medicine
      • Experimental and Therapeutic Medicine
      • Information for Authors
      • Editorial Policies
      • Editorial Board
      • Aims and Scope
      • Abstracting and Indexing
      • Bibliographic Information
      • Archive
    • International Journal of Molecular Medicine
      • International Journal of Molecular Medicine
      • Information for Authors
      • Editorial Policies
      • Editorial Board
      • Aims and Scope
      • Abstracting and Indexing
      • Bibliographic Information
      • Archive
    • Biomedical Reports
      • Biomedical Reports
      • Information for Authors
      • Editorial Policies
      • Editorial Board
      • Aims and Scope
      • Abstracting and Indexing
      • Bibliographic Information
      • Archive
    • Oncology Reports
      • Oncology Reports
      • Information for Authors
      • Editorial Policies
      • Editorial Board
      • Aims and Scope
      • Abstracting and Indexing
      • Bibliographic Information
      • Archive
    • Molecular Medicine Reports
      • Molecular Medicine Reports
      • Information for Authors
      • Editorial Policies
      • Editorial Board
      • Aims and Scope
      • Abstracting and Indexing
      • Bibliographic Information
      • Archive
    • World Academy of Sciences Journal
      • World Academy of Sciences Journal
      • Information for Authors
      • Editorial Policies
      • Editorial Board
      • Aims and Scope
      • Abstracting and Indexing
      • Bibliographic Information
      • Archive
    • International Journal of Functional Nutrition
      • International Journal of Functional Nutrition
      • Information for Authors
      • Editorial Policies
      • Editorial Board
      • Aims and Scope
      • Abstracting and Indexing
      • Bibliographic Information
      • Archive
    • International Journal of Epigenetics
      • International Journal of Epigenetics
      • Information for Authors
      • Editorial Policies
      • Editorial Board
      • Aims and Scope
      • Abstracting and Indexing
      • Bibliographic Information
      • Archive
    • Medicine International
      • Medicine International
      • Information for Authors
      • Editorial Policies
      • Editorial Board
      • Aims and Scope
      • Abstracting and Indexing
      • Bibliographic Information
      • Archive
  • Articles
  • Information
    • Information for Authors
    • Information for Reviewers
    • Information for Librarians
    • Information for Advertisers
    • Conferences
  • Language Editing
Spandidos Publications Logo
  • About
    • About Spandidos
    • Aims and Scopes
    • Abstracting and Indexing
    • Editorial Policies
    • Reprints and Permissions
    • Job Opportunities
    • Terms and Conditions
    • Contact
  • Journals
    • All Journals
    • Biomedical Reports
      • Information for Authors
      • Editorial Policies
      • Editorial Board
      • Aims and Scope
      • Abstracting and Indexing
      • Bibliographic Information
      • Archive
    • Experimental and Therapeutic Medicine
      • Information for Authors
      • Editorial Policies
      • Editorial Board
      • Aims and Scope
      • Abstracting and Indexing
      • Bibliographic Information
      • Archive
    • International Journal of Epigenetics
      • Information for Authors
      • Editorial Policies
      • Editorial Board
      • Aims and Scope
      • Abstracting and Indexing
      • Bibliographic Information
      • Archive
    • International Journal of Functional Nutrition
      • Information for Authors
      • Editorial Policies
      • Editorial Board
      • Aims and Scope
      • Abstracting and Indexing
      • Bibliographic Information
      • Archive
    • International Journal of Molecular Medicine
      • Information for Authors
      • Editorial Policies
      • Editorial Board
      • Aims and Scope
      • Abstracting and Indexing
      • Bibliographic Information
      • Archive
    • International Journal of Oncology
      • Information for Authors
      • Editorial Policies
      • Editorial Board
      • Aims and Scope
      • Abstracting and Indexing
      • Bibliographic Information
      • Archive
    • Medicine International
      • Information for Authors
      • Editorial Policies
      • Editorial Board
      • Aims and Scope
      • Abstracting and Indexing
      • Bibliographic Information
      • Archive
    • Molecular and Clinical Oncology
      • Information for Authors
      • Editorial Policies
      • Editorial Board
      • Aims and Scope
      • Abstracting and Indexing
      • Bibliographic Information
      • Archive
    • Molecular Medicine Reports
      • Information for Authors
      • Editorial Policies
      • Editorial Board
      • Aims and Scope
      • Abstracting and Indexing
      • Bibliographic Information
      • Archive
    • Oncology Letters
      • Information for Authors
      • Editorial Policies
      • Editorial Board
      • Aims and Scope
      • Abstracting and Indexing
      • Bibliographic Information
      • Archive
    • Oncology Reports
      • Information for Authors
      • Editorial Policies
      • Editorial Board
      • Aims and Scope
      • Abstracting and Indexing
      • Bibliographic Information
      • Archive
    • World Academy of Sciences Journal
      • Information for Authors
      • Editorial Policies
      • Editorial Board
      • Aims and Scope
      • Abstracting and Indexing
      • Bibliographic Information
      • Archive
  • Articles
  • Information
    • For Authors
    • For Reviewers
    • For Librarians
    • For Advertisers
    • Conferences
  • Language Editing
Login Register Submit
  • This site uses cookies
  • You can change your cookie settings at any time by following the instructions in our Cookie Policy. To find out more, you may read our Privacy Policy.

    I agree
Search articles by DOI, keyword, author or affiliation
Search
Advanced Search
presentation
Oncology Reports
Join Editorial Board Propose a Special Issue
Print ISSN: 1021-335X Online ISSN: 1791-2431
Journal Cover
November-2020 Volume 44 Issue 5

Full Size Image

Sign up for eToc alerts
Recommend to Library

Journals

International Journal of Molecular Medicine

International Journal of Molecular Medicine

International Journal of Molecular Medicine is an international journal devoted to molecular mechanisms of human disease.

International Journal of Oncology

International Journal of Oncology

International Journal of Oncology is an international journal devoted to oncology research and cancer treatment.

Molecular Medicine Reports

Molecular Medicine Reports

Covers molecular medicine topics such as pharmacology, pathology, genetics, neuroscience, infectious diseases, molecular cardiology, and molecular surgery.

Oncology Reports

Oncology Reports

Oncology Reports is an international journal devoted to fundamental and applied research in Oncology.

Experimental and Therapeutic Medicine

Experimental and Therapeutic Medicine

Experimental and Therapeutic Medicine is an international journal devoted to laboratory and clinical medicine.

Oncology Letters

Oncology Letters

Oncology Letters is an international journal devoted to Experimental and Clinical Oncology.

Biomedical Reports

Biomedical Reports

Explores a wide range of biological and medical fields, including pharmacology, genetics, microbiology, neuroscience, and molecular cardiology.

Molecular and Clinical Oncology

Molecular and Clinical Oncology

International journal addressing all aspects of oncology research, from tumorigenesis and oncogenes to chemotherapy and metastasis.

World Academy of Sciences Journal

World Academy of Sciences Journal

Multidisciplinary open-access journal spanning biochemistry, genetics, neuroscience, environmental health, and synthetic biology.

International Journal of Functional Nutrition

International Journal of Functional Nutrition

Open-access journal combining biochemistry, pharmacology, immunology, and genetics to advance health through functional nutrition.

International Journal of Epigenetics

International Journal of Epigenetics

Publishes open-access research on using epigenetics to advance understanding and treatment of human disease.

Medicine International

Medicine International

An International Open Access Journal Devoted to General Medicine.

Journal Cover
November-2020 Volume 44 Issue 5

Full Size Image

Sign up for eToc alerts
Recommend to Library

  • Article
  • Citations
    • Cite This Article
    • Download Citation
    • Create Citation Alert
    • Remove Citation Alert
    • Cited By
  • Similar Articles
    • Related Articles (in Spandidos Publications)
    • Similar Articles (Google Scholar)
    • Similar Articles (PubMed)
  • Download PDF
  • Download XML
  • View XML
Article Open Access

Splice variants of lysosome‑associated membrane proteins 2A and 2B are involved in sunitinib resistance in human renal cell carcinoma cells

  • Authors:
    • Ryoma Nishikawa
    • Mitsuhiko Osaki
    • Ryo Sasaki
    • Mizuho Ishikawa
    • Tetsuya Yumioka
    • Noriya Yamaguchi
    • Hideto Iwamoto
    • Masashi Honda
    • Tomohiro Kabuta
    • Atsushi Takenaka
    • Futoshi Okada
  • View Affiliations / Copyright

    Affiliations: Division of Urology, Faculty of Medicine, Tottori University, Yonago, Tottori 683‑8503, Japan, Division of Experimental Pathology, Faculty of Medicine, Tottori University, Yonago, Tottori 683‑8503, Japan, Department of Degenerative Neurological Diseases, National Institute of Neuroscience, National Center of Neurology and Psychiatry, Kodaira, Tokyo 187‑8502, Japan
    Copyright: © Nishikawa et al. This is an open access article distributed under the terms of Creative Commons Attribution License.
  • Pages: 1810-1820
    |
    Published online on: September 4, 2020
       https://doi.org/10.3892/or.2020.7752
  • Expand metrics +
Metrics: Total Views: 0 (Spandidos Publications: | PMC Statistics: )
Metrics: Total PDF Downloads: 0 (Spandidos Publications: | PMC Statistics: )
Cited By (CrossRef): 0 citations Loading Articles...

This article is mentioned in:



Abstract

Sunitinib, a tyrosine kinase inhibitor, is among the first‑line treatments for metastatic or advanced stage renal cell carcinoma (RCC). However, patients with RCC develop resistance to sunitinib. We have previously demonstrated that lysosome‑associated membrane protein 2 (LAMP‑2), which has three splice variants with different functions (LAMP‑2A, LAMP‑2B, and LAMP‑2C), is involved in RCC. In the present study, we examined which splice variants of LAMP‑2 contributed to sunitinib resistance in RCC cells. In vitro analysis using ACHN, human RCC cell line, revealed that the IC50 of sunitinib was significantly increased by overexpression of LAMP‑2A and LAMP‑2B, but not LAMP‑2C (P<0.01). Kaplan‑Meier survival analysis using clinical samples revealed an association between shorter survival and high expression of LAMP‑2A and LAMP‑2B, but not LAMP‑2C, in patients with RCC treated with sunitinib (P=0.01). Furthermore, high expression of LAMP‑2A and LAMP‑2B in RCC revealed a weak to moderate inverse correlation with the tumor shrinkage rate and progression‑free survival, respectively. Thus, high expression of LAMP‑2A and LAMP‑2B contributed to the acquisition of sunitinib resistance, indicating that the expression of these two variants can predict the efficacy of sunitinib treatment in patients with RCC.

Introduction

Renal cancer, the seventh most commonly encountered cancer, is responsible for more than 140,000 deaths annually worldwide (1). Approximately 20% of patients with renal cell carcinoma (RCC) are diagnosed at advanced stages (2). Localized RCC can be treated by surgical resection; however, metastatic RCC (mRCC) results in poor prognosis. Over the past decade, progress has been made in the treatment of advanced-stage RCC using molecular targeted therapy. Sunitinib malate, a tyrosine kinase inhibitor with antitumor and antiangiogenic activities, is a widely recognized (according to the 2018 National Comprehensive Cancer Network guidelines for kidney cancer management) first-line treatment option for patients with advanced-stage mRCC and unresectable RCC (3). The efficacy and safety of sunitinib have been evaluated in numerous clinical trials (4–6). Moreover, in the first-line setting, the efficacy of sunitinib was confirmed by clinical trials (4,7–11). However, most patients eventually develop resistance to sunitinib therapy, and the median progression-free survival (PFS) of patients following first-line treatment with sunitinib ranges between 9 and 11 months (4,7,9–11). Approximately 70% of patients initially respond to therapy, while the remaining 30% exhibit primary resistance to sunitinib. Among patients who respond to initial therapy, durable responses are rare, and most cases acquire sunitinib resistance within 6–15 months (12). The precise biological mechanism underlying sunitinib resistance remains unclear.

We have previously used ACHN cells, a human RCC cell line, to establish a sunitinib-resistant model (SR-ACHN) for examining the mechanism underlying sunitinib resistance (13,14). In SR-ACHN cells, the expression level of microRNA (miR)-194-5p was lower than that in ACHN cells, whereas the expression level of lysosome-associated membrane protein 2 (LAMP-2), one of the miR-194-5p target genes, was increased, suggesting that LAMP-2 plays a role in the acquisition of sunitinib resistance in RCC cells. LAMP-2, a major lysosomal membrane protein with a single transmembrane region, contributes to lysosomal function (15). There are three splice variants of LAMP-2, namely, LAMP-2A, LAMP-2B, and LAMP-2C, which have different physiological functions. However, the variant primarily responsible for sunitinib resistance in human RCC cells remains to be identified.

The present study aimed to identify which LAMP-2 splice variants were involved in sunitinib resistance of RCC cells and potential biomarkers of sunitinib resistance in patients with mRCC.

Materials and methods

RCC cell lines

ACHN, a parental human RCC cell line, was purchased from the American Type Culture Collection and cultured in the Roswell Park Memorial Institute (RPMI)-1640 (Thermo Fisher Scientific, Inc.) with 10% fetal bovine serum (Sigma-Aldrich; Merck KGaA) and 1% penicillin-streptomycin (Thermo Fisher Scientific, Inc.). Sunitinib-resistant ACHN (SR-ACHN) cells were established based on previously described methods (13). SR-ACHN cells were maintained in the same medium containing 10 µM sunitinib (Tocris Bioscience).

Plasmid vectors and establishment of LAMP-2-overexpressing ACHN cells

The following LAMP-2 expression vectors were used: LAMP-2A (cat. no. RC221216; OriGeneTechnologies, Inc.), LAMP-2B (cat. no. 86029) and LAMP-2C (cat. no. 89342; both from Addgene, Inc.). Plasmids with deletions of each LAMP-2 cDNA, pCMV-Entry, pCDNAHygro(+), and pCDNAZeo(−), were used as control vectors. For transfection, ACHN cells were seeded into 6-cm dishes at a density of 4×105 cells per dish in a total volume of 3 ml. After the cells were cultured overnight, they were transfected with each plasmid vector using Lipofectamine 2000 (Thermo Fisher Scientific, Inc.) according to the manufacturer's instructions.

The LAMP-2A expression plasmid or its control plasmid-transfected ACHN was selected using 300 µg/ml G418 (Nacalai Tesque, Inc.). LAMP-2B expression plasmid- or its control plasmid-transfected ACHN was selected using 200 µg/ml hygromycin (Nacalai Tesque, Inc.), and the LAMP-2C expression plasmid or its control plasmid-transfected ACHN was selected using 80 µg/ml zeocin (Thermo Fisher Scientific, Inc.).

RNA extraction and reverse transcription-quantitative polymerase chain reaction (RT-qPCR)

Total RNA from the cell lines was extracted using the TRIzol® Reagent (Thermo Fisher Scientific, Inc.) according to the manufacturer's instructions. Next, 0.5 µg of RNA was reverse-transcribed into complementary DNA using PrimeScript™ RT Master Mix (Perfect Real Time; Takara Bio, Inc.) in a 10-µl reaction. The relative expression levels of LAMP-2A, LAMP-2B, and LAMP-2C mRNA were measured by quantitative PCR using the TB Green® Premix Ex Taq™ II (Tli RNaseH Plus) (Takara Bio, Inc.) according to the manufacturer's instructions. Each 15-µl reaction contained 7.5 µl of the TB Green® Premix, 15 pmol primers (Table I), and 3.5 µl of the complementary DNA template, as well as a no-template control. Amplification was performed in 40 cycles of denaturation (95°C, 15 sec), annealing, and extension (60°C, 1 min). A complementary DNA template-free control was included for each PCR amplification. Gene expression was normalized to β-actin mRNA levels, and relative gene expression was calculated using the comparative quantification cycle (ΔΔCq) method (16).

Table I.

Quantitative PCR primer sequences.

Table I.

Quantitative PCR primer sequences.

TargetPrimer sequences (5′-3′)
LAMP-2AF: GGGTTCAGCCTTTCAATGTGR: CAGCATGATGGTGCTTGAGA
LAMP-2BF: GGGTTCAGCCTTTCAATGTGR: CCTGAAAGACCAGCACCAAC
LAMP-2CF: GTATTCTACAGCTGAAGAATGTTCTGR: ACACCCACTGCAACAGGAAT
β-actinF: CGTGGGCCGCCCTAGGCACCAR: TTGGCTTAGGGTTCAGGGGGG

[i] PCR, polymerase chain reaction; LAMP-2, lysosome-associated membrane protein 2; F, forward; R, reverse.

Cell proliferation assay

Cells overexpressing LAMP-2A, LAMP-2B, and LAMP-2C were harvested and seeded into a 96-well plate (5×103 cells/well), and sunitinib was added at various concentrations (2.5, 5.0, 10, 20, 40 and 80 µM). The plates were incubated for 72 h, and the cells were fixed with 5% glutaraldehyde for 30 min at room temperature and then stained with 0.2% crystal violet with CAPS buffer (Sigma-Aldrich; Merck KGaA) for 30 min at room temperature. The crystal violet staining was dissolved with 10% acetic acid and quantified using a microplate reader at 495 nm. The results of the assay were the average value obtained from three experiments.

Clinical samples

Ten samples from patients with RCC who underwent nephrectomy between May 2010 and June 2017 and were treated with sunitinib following surgery due to metastases were obtained from the Tottori University Hospital. The median age of the 10 patients was 62 years (age range, 26–77 years); six were male and four were female (Table II). All materials were obtained with written informed consent, and the procedures were approved by the Ethics Committee of the Tottori University (Tottori, Japan; approval no. 1558). Tissue samples were obtained from tumor tissues of patients with RCC who underwent nephrectomy. The sunitinib response was evaluated using the Response Evaluation Criteria in Solid Tumors v1.1 (17). Most patients had received other molecular target drugs or immune checkpoint inhibitors before or after sunitinib treatment, but sunitinib was used as a single agent only and not as a combination therapy. Therefore, overall survival was not examined in the present study, but the effect of sunitinib on PFS and tumor reduction was examined. It has been suggested that immune checkpoint inhibitors may remain active even after administration has been completed. However, the two patients treated with nivolumab, an immune checkpoint inhibitor, both received it after sunitinib treatment; hence, treatment with nivolumab did not affect the efficacy of sunitinib.

Table II.

Patients and tumor characteristics as well as responses to sunitinib treatment.

Table II.

Patients and tumor characteristics as well as responses to sunitinib treatment.

Characteristicsn
Age (years)
  Median62
  Range26–77
Sex
  Male6
  Female4
Histopathology
  Clear cell5
  Papillary3
  Chromophobe1
  Spindle1
Pathological stage
  pT36
  pT20
  pT14
Grade
  G35
  G25
  G10
Metastatic sites
  Lung6
  Pleura1
  Liver3
  Pancreas1
  Adrenal gland1
  Brain1
  Lymph node3
  Bone3
Best overall response
  PR3
  SD6
  PD1

[i] PR, partial response; SD, stable disease; PD, progressive disease.

Statistical analysis

The unpaired Student's t-test was used to detect significant changes in the expression levels of LAMP-2 splice variants, IC50 for the cell proliferation assay, and gene expression in clinical samples. The Bonferroni correction was used to compare the IC50 in multiple cell lines and relative expression levels of LAMP-2 splice variants. Pearson's correlation coefficient was used to evaluate the correlation between gene expression in clinical samples and their PFS or tumor shrinkage rate. The treatment effect of sunitinib was categorized into two groups based on the best overall response of each sample: i) the partial response (PR) group (n=3) and ii) the stable disease (SD) and progressive disease (PD) group (SD + PD; n=7). Kaplan-Meier survival analysis was utilized to evaluate the association of the expression levels of LAMP-2 splice variants with PFS using the log-rank test. To examine the relationship between survival curves and expression levels of LAMP-2 splice variants by categorizing 10 samples into two groups based on their expression levels, we defined the high expression group as samples with expression levels above the upper quartile and the low expression group as samples with expression levels below the upper quartile, following a previous study (18). All statistical analyses were performed with SPSS v23.0.0.0 (IBM Corp.). P<0.05 was considered to indicate a statistically significant difference.

Results

Establishment of ACHN cells overexpressing LAMP-2A, LAMP-2B, and LAMP-2C

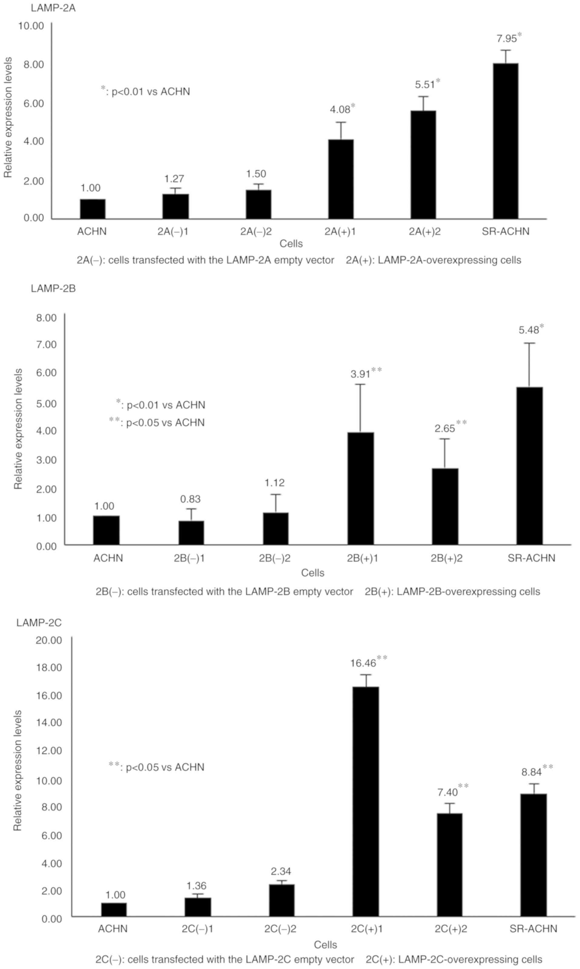
To investigate which LAMP-2 variants were required for acquisition of the sunitinib-resistant phenotype in human RCC cells, the LAMP-2A, LAMP-2B, or LAMP-2C expression vector or corresponding control vector was transfected into ACHN cells, and two representative clones were established in each transfection. RT-qPCR revealed that the expression levels of LAMP-2A, LAMP-2B, and LAMP-2C in the respective LAMP-overexpressing cells were higher than those in ACHN cells and control vector-transfected ACHN cells (Fig. 1). The LAMP-2 mRNA expression level in the control vector-transfected cells was similar to that in ACHN cells in each variant type.

Figure 1.

Established LAMP-2-overexpressing cells of each splice variant. The relative expression levels of each cell line compared to ACHN (=1.00) in qPCR are presented. LAMP-2A-, LAMP-2B-, and LAMP-2C-overexpressing cells had higher expression levels than did ACHN. Cell lines that had statistically significant increased expression compared to ACHN are indicated by *P<0.01 (as determined by the Bonferroni correction) and **P<0.05. LAMP-2, lysosome-associated membrane protein-2.

LAMP-2A and LAMP-2B expression contributes to sunitinib resistance in ACHN cells

Table III revealed that the IC50 values of sunitinib for ACHN and SR-ACHN cells were 2.58 and 6.62 µM, respectively, demonstrating that SR-ACHN cells exhibited significantly higher resistance to sunitinib treatment than did ACHN cells, as previously reported by Yamaguchi et al (13) and Yumioka et al (14). The IC50 values in the two LAMP-2A-overexpressing ACHN clones [2A(+)1 and 2A(+)2] were 3.52 and 3.66 µM, respectively, significantly higher than those in ACHN cells (P<0.001). Moreover, the IC50 values in the two LAMP-2B-overexpressing ACHN clones [2B(+)1 and 2B(+)2] were 3.87 and 3.15 µM, respectively, also significantly higher than those in ACHN cells (P<0.001). In contrast, the IC50 values in the two LAMP-2C-overexpressing ACHN clones [2C(+)1 and 2C(+)2] were similar to those in ACHN cells (2.63 and 2.68 µM, respectively). The IC50 values in all control vector-transfected clones were nearly equal to those in ACHN cells.

Table III.

Comparison of resistance to sunitinib.

Table III.

Comparison of resistance to sunitinib.

GroupsAverage IC50 ± SDP-value
ACHN and SR-ACHN
  ACHN2.58±0.17–
  SR-ACHN6.62±1.34<0.001
LAMP-2A
  2A(−)12.50±0.080.422
  2A(−)22.48±0.170.17
  2A(+)13.52±0.17<0.001
  2A(+)23.66±1.030.001
LAMP-2B
  2B(−)12.91±0.860.172
  2B(−)22.75±0.210.145
  2B(+)13.87±0.05<0.001
  2B(+)23.15±0.18<0.001
LAMP-2C
  2C(−)12.63±0.190.618
  2C(−)22.65±0.010.480
  2C(+)12.63±0.190.643
  2C(+)22.68±0.270.399

[i] IC50, half-maximal inhibitory concentration; SD, standard deviation; LAMP-2, lysosome-associated membrane protein 2.

Expression of LAMP-2A and LAMP-2B in clinical samples

To evaluate the correlation between the expression levels of LAMP-2A, LAMP-2B, and LAMP-2C and susceptibility to sunitinib in clinical samples, qPCR was performed using RNA derived from 10 RCC clinical samples. The backgrounds, clinicopathological features, characteristics of the metastatic sites, and therapeutic effect of patients are presented in Table II.

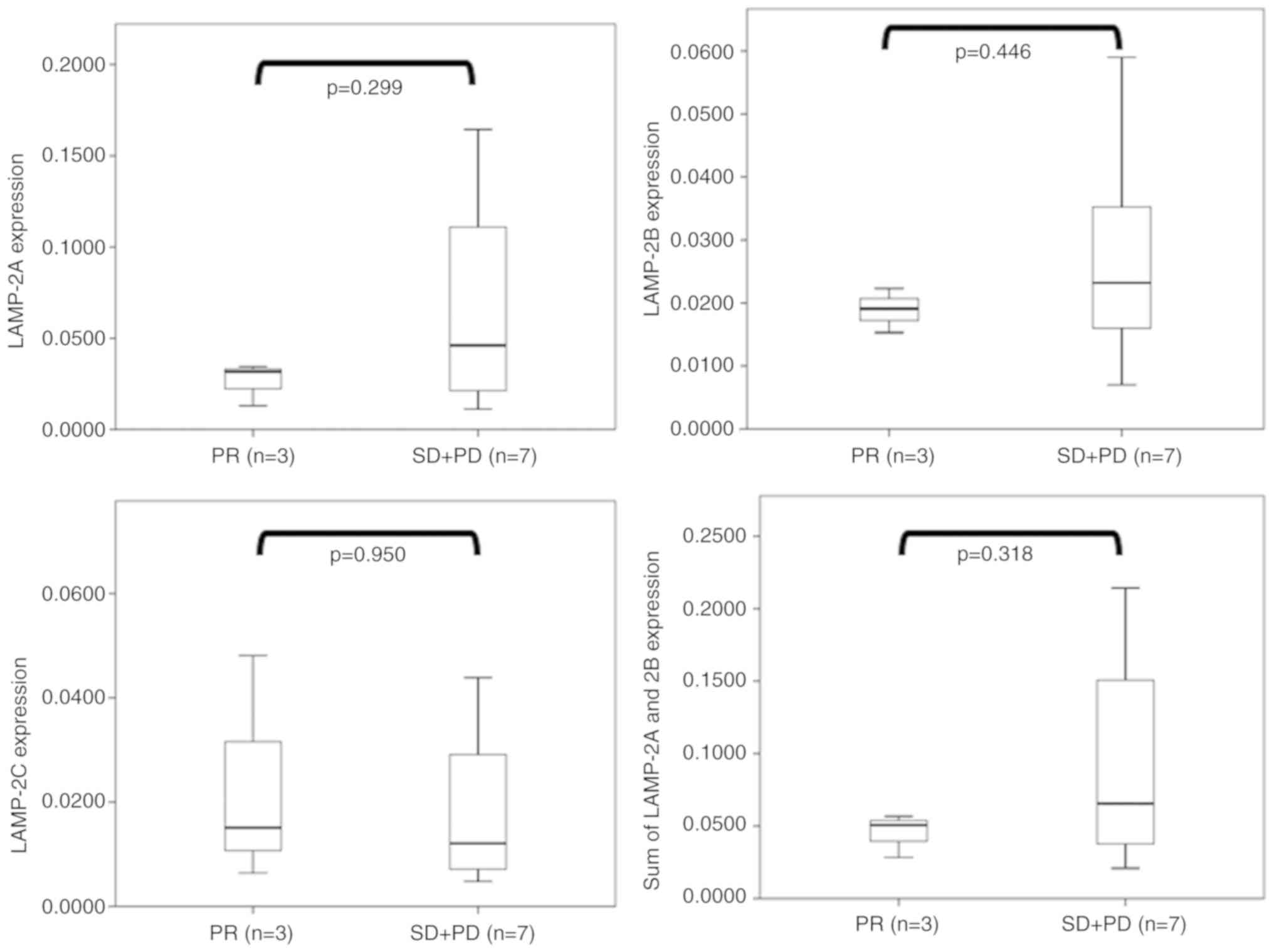
As revealed in Fig. 2, there was no significant difference between the therapeutic effect and expression levels of any LAMP-2 variants. However, LAMP-2A, LAMP-2B, and the sum of LAMP-2A and LAMP-2B cases exhibiting high expression were revealed in only the SD + PD groups, but not in the PR groups. In contrast, no difference in LAMP-2C expression was observed between the SD + PD and PR groups.

Figure 2.

LAMP-2 splice variant expression in tumor tissue categorized into two groups based on achieving PR or SD/PD in the best overall response rate. Splice variants exhibited no significant differences. LAMP-2, lysosome-associated membrane protein 2; PR, partial response; SD, stable disease; PD, progressive disease.

Next, the correlation between the sunitinib treatment period PFS and the gene expression status was evaluated. LAMP-2A (r=−0.279; P=0.434) and LAMP-2B (r=−0.219; P=0.543) exhibited weak negative correlations between PFS and each gene expression level (Fig. 3A). In contrast, LAMP-2C exhibited no such correlation (r=−0.054; P=0.882). Additionally, there were moderate correlations between a high tumor shrinkage rate and a low expression of LAMP-2A (r=−0.442; P=0.201), as well as the concomitant sum of LAMP-2A and LAMP-2B expression (r=−0.430; P=0.215; Fig. 3B). There was a weak correlation between a high tumor shrinkage rate and a low expression of LAMP-2B (r=−0.346; P=0.328). Correlations among LAMP-2A, LAMP-2B, and LAMP-2C were also evaluated, revealing that their expression levels were in fact correlated, of which LAMP-2A and LAMP-2B exhibited the strongest correlation (Fig. 3C). Thus, although there were differences in the expression levels of the three splice variants of LAMP-2 in the 10 patients, all three variants were expressed at the mRNA level in all cases.

Figure 3.

Correlation between the expression levels of LAMP-2 splice variant and (A) progression-free survival and (B) tumor shrinkage rate during sunitinib treatment. (A) LAMP-2A and LAMP-2B exhibited weak negative correlations between PFS and each gene expression level. (B) A moderate correlation was observed between a high tumor shrinkage rate and low expression of LAMP-2A and LAMP-2A plus LAMP-2B. (C) Correlation of the expression levels of each splice variant of LAMP-2 in clinical samples. The strongest correlation was observed between 2A and 2B. LAMP-2, lysosome-associated membrane protein 2.

Kaplan-Meier plots were also utilized to evaluate the effect of LAMP-2 variant expression levels on sunitinib resistance (Fig. 4). In all LAMP-2 splice variants, there were 3 patients in the high expression group and 7 in the low expression group. For the LAMP-2A, LAMP-2B, and sum of LAMP-2A and LAMP-2B expression levels, the cases in the two groups of high and low expression levels were consistent, thus similar survival curves were obtained. Although LAMP-2C exhibited no difference between the high expression and the low expression groups (P=0.981), LAMP-2A, LAMP-2B, and the sum of LAMP-2A and LAMP-2B were significantly different between the two groups (P=0.010). The low expression group of these variants exhibited a significantly longer PFS.

Figure 4.

Kaplan-Meier plots and survival analysis of LAMP-2 splice variant expression levels categorized into two groups: High or low expression. A high expression level was defined as being above the upper quartile (n=3) and a low expression level was defined as being below the upper quartile (n=7). For the LAMP-2A, LAMP-2B, and sum of LAMP-2A and LAMP-2B expression levels, the cases in the two groups of high and low expression levels were consistent, thus similar survival curves were obtained. Statistically significant differences were detected between the two groups for these splice variants of LAMP-2 except for LAMP-2C. LAMP-2, lysosome-associated membrane protein 2.

The association between LAMP-2 splice variant expression levels and tumor pathological grades was then examined (Fig. 5A) and no significant difference between pathological grades 2 and 3 were revealed. However, tumors with a higher pathological grade tended to exhibit higher expression levels of LAMP-2A (P=0.131) and LAMP-2B (P=0.093). The associations between pathological T stage and LAMP-2 splice variants in resected tumors were also examined (Fig. 5B). However, there was no significant difference between the pathological stage (pT1, n=3 vs. pT3, n=7) and the expression levels of all splice variants of LAMP-2.

Figure 5.

Pathological grades and LAMP-2 variant expression levels (A) Pathological higher-grade tumors tended to exhibit higher expression levels of LAMP-2A and LAMP-2B. Pathological stages and LAMP-2 variant expression levels (B) LAMP-2, lysosome-associated membrane protein 2.

Discussion

In the present study, it was demonstrated that LAMP-2A and LAMP-2B were involved in sunitinib resistance in RCC cells (12). Despite its therapeutic effect in patients with advanced-stage RCC, sunitinib use remains limited since tumors acquire drug resistance early on. Gotink et al reported that increased sequestration of sunitinib in lysosomes enhanced by the overexpression of LAMP-2 resulted in sunitinib resistance in RCC cells (19). We also previously revealed that LAMP-2 is involved in sunitinib resistance in RCC cells (13,14); however, we did not examine which splice variants (2A, 2B, and 2C) contributed to such resistance. LAMP-2A and LAMP-2B are constitutively expressed in most tissues and cells, whereas high expression of LAMP-2C is limited to the brain, heart, skeletal muscle, small intestine, and colon (20). However, their functions in the acquisition of drug resistance in cancer cells remain unclear.

To the best of our knowledge, this is the first study regarding the influence of LAMP-2A and LAMP-2B on sunitinib resistance in RCC cells. LAMP-2A was reported to be a key protein in chaperone-mediated autophagy (21). In contrast, LAMP-2B was revealed to be involved in macroautophagy, and Danon disease is caused by loss of the LAMP-2B isoform (22). As both variants are involved in autophagy, the present results indicated that the acquisition of sunitinib resistance in RCC cells is possibly mediated by autophagy activation. Autophagy is reported to affect both cancer cell growth and death, depending on the tissue environment (23). It has been suggested that chemotherapy-induced autophagy results in the acquisition of resistance against therapy-mediated cell death (24,25). In anti-angiogenesis therapy, such as sunitinib treatment, the upregulation of autophagy caused sunitinib resistance in patients with RCC (26). Giuliano et al reported that sunitinib resistance of RCC cells was caused by inappropriate autophagy flux via sequestration of sunitinib in lysosomes, suggesting that LAMP-2 was involved in the mechanism (27).

Strategies for overcoming sunitinib resistance have been developed, such as combination therapy, sunitinib re-challenge, sequential therapy, and dose-escalation in both animal and human studies (12,28). Sasaki et al reported that chloroquine (CQ), an anti-malarial agent and autophagy inhibitor, potentiates the anticancer effect of 5-fluorouracil on colon cancer cells (29), and Li et al reported that CQ, in combination with sunitinib, could enhance the anti-RCC effects of sunitinib (30). In fact, the therapeutic effects of sunitinib were enhanced when combined with CQ against pancreatic neuroendocrine tumors via autophagy inhibition and lysosomal membrane permeabilization (31). In this study, it was also indicated that combination with CQ was as effective as LAMP-2 knockdown. These studies strongly indicate that autophagy is involved in sunitinib resistance, suggesting that the overexpression of LAMP-2A and LAMP-2B plays a role in the acquisition of sunitinib resistance in RCC cells. Conversely, LAMP-2C does not appear to be involved in sunitinib resistance in RCC cells. Fujiwara et al reported that LAMP-2C serves as a receptor for RNautophagy and DNautophagy, in which RNA and DNA are taken up directly into lysosomes for degradation (32,33). LAMP-2C may not be involved in taking up drugs, including sunitinib, into lysosomes, and thus, it is considered that LAMP-2C is not involved in the acquisition of sunitinib resistance of RCC cells.

In clinical samples of patients with RCC who were treated with sunitinib for metastases following nephrectomy at our hospital, Tottori University Hospital, higher expression of LAMP-2A and LAMP-2B was indicated to be involved in the response to sunitinib. In terms of the best overall response rate, the expression levels of LAMP-2A and LAMP-2B tended to be associated with the overall response rate, although there was no significant difference in these groups. In addition, high gene expression levels and shorter PFS during the sunitinib treatment period were weakly associated with both LAMP-2A and LAMP-2B. The tumor-reducing effect of sunitinib treatment was also moderately associated with LAMP-2A and weakly associated with LAMP-2B. Moreover, patients exhibiting high expression levels of these two splice variants also exhibited significantly lower survival rates in the Kaplan-Meier curve analysis. These clinical sample data are strongly consistent with the in vitro data, suggesting that high expression of LAMP-2A and LAMP-2B contributes to the prognosis of sunitinib-treated patients with RCC via acquisition of sunitinib resistance.

There are several limitations to the present study. One is that only one cell line was used in this experiment. The involvement of the LAMP-2 splice variants in sunitinib resistance may have been detected only in ACHN cells and not in other RCC cell lines. In addition, future investigations by animal studies are required. Future studies should involve examination of subcutaneous transplantation of LAMP-2A- and LAMP-2B-overexpressing RCC cell lines into mice, with differences in growth rates between normal cells and LAMP-2-overexpressing cells after sunitinib treatment. The involvement of LAMP-2A and LAMP-2B in sunitinib resistance needs to be confirmed using in vitro studies as well. Another limitation of this study is the small number of clinical samples examined for clinicopathological analysis. It has been difficult to obtain a larger clinical sample at our institution due to the small number of patients with a history of nephrectomy that have used sunitinib; thus, future studies should involve larger sample sizes.

LAMP-2A and LAMP-2B were revealed to be involved in the acquisition of sunitinib resistance in patients with RCC possibly through the mediation of autophagy, strongly suggesting that their expression in RCC can be used as a predictive marker for sunitinib resistance. Moreover, since their low expression levels may be associated with enhanced antitumor effects of sunitinib and contribute to tumor reduction and longer PFS, the development of LAMP-2A and LAMP-2B inhibitors may help overcome the acquisition of sunitinib resistance in RCC.

Acknowledgements

Not applicable.

Funding

No funding was received.

Availability of data and materials

The datasets used and/or analyzed during the present study are available from the corresponding author upon a reasonable request. Patient data are confidential and therefore have not been shared.

Authors' contributions

RN contributed majorly towards the writing of the manuscript. MO supervised the experiments and assisted with the writing of the manuscript. RN, RS, and MI performed the experiments and collected the data. TK provided the reagents needed for the experiments. RN, TY, NY and HI obtained the tumors and tissues with their clinical information when available. RN and RS performed the statistical analysis. RN, MO and MH analyzed the data and drafted the manuscript. AT and FO made contributions to the design of the study and critically revised the manuscript for intellectual content. All authors read and approved the final manuscript.

Ethics approval and consent to participate

All RCC tissues were obtained with informed consent, and the procedures were approved by the Ethics Committee of Tottori University (Tottori, Japan; approval no. 1558).

Patient consent for publication

Not applicable.

Competing interests

The authors declare that they have no competing interests.

References

1 

Capitanio U and Montorsi F: Renal cancer. Lancet. 387:894–906. 2016. View Article : Google Scholar : PubMed/NCBI

2 

Eggener SE, Yossepowitch O, Pettus JA, Snyder ME, Motzer RJ and Russo P: Renal cell carcinoma recurrence after nephrectomy for localized disease: Predicting survival from time of recurrence. J Clin Oncol. 24:3101–3106. 2006. View Article : Google Scholar : PubMed/NCBI

3 

National Comprehensive Cancer Network, . Guidelines are available at. https://www.nccn.org/professionals/physician_gls/default.aspx

4 

Motzer RJ, Hutson TE, Tomczak P, Michaelson MD, Bukowski RM, Oudard S, Negrier S, Szczylik C, Pili R, Bjarnason GA, et al: Overall survival and updated results for sunitinib compared with interferon alfa in patients with metastatic renal cell carcinoma. J Clin Oncol. 27:3584–3590. 2009. View Article : Google Scholar : PubMed/NCBI

5 

Motzer RJ, Michaelson MD, Redman BG, Hudes GR, Wilding G, Figlin RA, Ginsberg MS, Kim ST, Baum CM, DePrimo SE, et al: Activity of SU11248, a multitargeted inhibitor of vascular endothelial growth factor receptor and platelet-derived growth factor receptor, in patients with metastatic renal cell carcinoma. J Clin Oncol. 24:16–24. 2006. View Article : Google Scholar : PubMed/NCBI

6 

Motzer RJ, Rini BI, Bukowski RM, Curti BD, George DJ, Hudes GR, Redman BG, Margolin KA, Merchan JR, Wilding G, et al: Sunitinib in patients with metastatic renal cell carcinoma. JAMA. 295:2516–2524. 2006. View Article : Google Scholar : PubMed/NCBI

7 

Barrios CH, Hernandez-Barajas D, Brown MP, Lee SH, Fein L, Liu JH, Hariharan S, Martell BA, Yuan J, Bello A, et al: Phase II trial of continuous once-daily dosing of sunitinib as first-line treatment in patients with metastatic renal cell carcinoma. Cancer. 118:1252–1259. 2012. View Article : Google Scholar : PubMed/NCBI

8 

Motzer RJ, Hutson TE, Olsen MR, Hudes GR, Burke JM, Edenfield WJ, Wilding G, Agarwal N, Thompson JA, Cella D, et al: Randomized phase II trial of sunitinib on an intermittent versus continuous dosing schedule as first-line therapy for advanced renal cell carcinoma. J Clin Oncol. 30:1371–1377. 2012. View Article : Google Scholar : PubMed/NCBI

9 

Gore ME, Szczylik C, Porta C, Bracarda S, Bjarnason GA, Oudard S, Hariharan S, Lee SH, Haanen J, Castellano D, et al: Safety and efficacy of sunitinib for metastatic renal-cell carcinoma: An expanded-access trial. Lancet Oncol. 10:757–763. 2009. View Article : Google Scholar : PubMed/NCBI

10 

Gore ME, Szczylik C, Porta C, Bracarda S, Bjarnason GA, Oudard S, Lee SH, Haanen J, Castellano D, Vrdoljak E, et al: Final results from the large sunitinib global expanded-access trial in metastatic renal cell carcinoma. Br J Cancer. 113:12–19. 2015. View Article : Google Scholar : PubMed/NCBI

11 

Motzer RJ, Hutson TE, Cella D, Reeves J, Hawkins R, Guo J, Nathan P, Staehler M, de Souza P, Merchan JR, et al: Pazopanib versus sunitinib in metastatic renal-cell carcinoma. N Engl J Med. 369:722–731. 2013. View Article : Google Scholar : PubMed/NCBI

12 

Morais C: Sunitinib resistance in renal cell carcinoma. J Kidney Cancer VHL. 1:1–11. 2014. View Article : Google Scholar : PubMed/NCBI

13 

Yamaguchi N, Osaki M, Onuma K, Yumioka T, Iwamoto H, Sejima T, Kugoh H, Takenaka A and Okada F: Identification of MicroRNAs involved in resistance to sunitinib in renal cell carcinoma cells. Anticancer Res. 37:2985–2992. 2017.PubMed/NCBI

14 

Yumioka T, Osaki M, Sasaki R, Yamaguchi N, Onuma K, Iwamoto H, Morizane S, Honda M, Takenaka A and Okada F: Lysosome-associated membrane protein 2 (LAMP-2) expression induced by miR-194-5p downregulation contributes to sunitinib resistance in human renal cell carcinoma cells. Oncol Lett. 15:893–900. 2018.PubMed/NCBI

15 

Eskelinen EL, Cuervo AM, Taylor MR, Nishino I, Blum JS, Dice JF, Sandoval IV, Lippincott-Schwartz J, August JT and Saftig P: Unifying nomenclature for the isoforms of the lysosomal membrane protein LAMP-2. Traffic. 6:1058–1061. 2005. View Article : Google Scholar : PubMed/NCBI

16 

Livak KJ and Schmittgen TD: Analysis of relative gene expression data using real-time quantitative PCR and the 2(-Delta Delta C(T)) method. Methods. 25:402–408. 2001. View Article : Google Scholar : PubMed/NCBI

17 

Eisenhauer EA, Therasse P, Bogaerts J, Schwartz LH, Sargent D, Ford R, Dancey J, Arbuck S, Gwyther S, Mooney M, et al: New response evaluation criteria in solid tumours: Revised RECIST guideline (version 1.1). Eur J Cancer. 45:228–247. 2009. View Article : Google Scholar : PubMed/NCBI

18 

Punt S, Houwing-Duistermaat JJ, Schulkens IA, Thijssen VL, Osse EM, de Kroon CD, Griffioen AW, Fleuren GJ, Gorter A and Jordanova ES: Correlations between immune response and vascularization qRT-PCR gene expression clusters in squamous cervical cancer. Mol Cancer. 14:712015. View Article : Google Scholar : PubMed/NCBI

19 

Gotink KJ, Broxterman HJ, Labots M, de Haas RR, Dekker H, Honeywell RJ, Rudek MA, Beerepoot LV, Musters RJ, Jansen G, et al: Lysosomal sequestration of sunitinib: A novel mechanism of drug resistance. Clin Cancer Res. 17:7337–7346. 2011. View Article : Google Scholar : PubMed/NCBI

20 

Pérez L, McLetchie S, Gardiner GJ, Deffit SN, Zhou D and Blum JS: LAMP-2C Inhibits MHC Class II presentation of cytoplasmic antigens by disrupting chaperone-mediated autophagy. J Immunol. 196:2457–2465. 2016. View Article : Google Scholar : PubMed/NCBI

21 

Dice JF: Chaperone-mediated autophagy. Autophagy. 3:295–299. 2007. View Article : Google Scholar : PubMed/NCBI

22 

Endo Y, Furuta A and Nishino I: Danon disease: A phenotypic expression of LAMP-2 deficiency. Acta Neuropathol. 129:391–398. 2015. View Article : Google Scholar : PubMed/NCBI

23 

Goldsmith J, Levine B and Debnath J: Autophagy and cancer metabolism. Methods Enzymol. 542:25–57. 2014. View Article : Google Scholar : PubMed/NCBI

24 

Ng G and Huang J: The significance of autophagy in cancer. Mol Carcinog. 43:183–187. 2005. View Article : Google Scholar : PubMed/NCBI

25 

Notte A, Leclere L and Michiels C: Autophagy as a mediator of chemotherapy-induced cell death in cancer. Biochem Pharmacol. 82:427–434. 2011. View Article : Google Scholar : PubMed/NCBI

26 

Liu J, Fan L, Wang H and Sun G: Autophagy, a double-edged sword in anti-angiogenesis therapy. Med Oncol. 33:102016. View Article : Google Scholar : PubMed/NCBI

27 

Giuliano S, Cormerais Y, Dufies M, Grépin R, Colosetti P, Belaid A, Parola J, Martin A, Lacas-Gervais S, Mazure NM, et al: Resistance to sunitinib in renal clear cell carcinoma results from sequestration in lysosomes and inhibition of the autophagic flux. Autophagy. 11:1891–1904. 2015. View Article : Google Scholar : PubMed/NCBI

28 

Adelaiyr R, Ciamporcero E, Miles KM, Sotomayor P, Bard J, Tsompana M, Conroy D, Shen L, Ramakrishnan S, Ku SY, et al: Sunitinib dose escalation overcomes transient resistance in clear cell renal cell carcinoma and is associated with epigenetic modifications. Mol Cancer Ther. 14:513–522. 2015. View Article : Google Scholar : PubMed/NCBI

29 

Sasaki K, Tsuno NH, Sunami E, Tsurita G, Kawai K, Okaji Y, Nishikawa T, Shuno Y, Hongo K, Hiyoshi M, et al: Chloroquine potentiates the anti-cancer effect of 5-fluorouracil on colon cancer cells. BMC Cancer. 10:3702010. View Article : Google Scholar : PubMed/NCBI

30 

Li ML, Xu YZ, Lu WJ, Li YH, Tan SS, Lin HJ, Wu TM, Li Y, Wang SY and Zhao YL: Chloroquine potentiates the anticancer effect of sunitinib on renal cell carcinoma by inhibiting autophagy and inducing apoptosis. Oncol Lett. 15:2839–2846. 2018.PubMed/NCBI

31 

Wiedmer T, Blank A, Pantasis S, Normand L, Bill R, Krebs P, Tschan MP, Marinoni I and Perren A: Autophagy inhibition improves sunitinib efficacy in pancreatic neuroendocrine tumors via a lysosome-dependent mechanism. Mol Cancer Ther. 16:2502–2515. 2017. View Article : Google Scholar : PubMed/NCBI

32 

Fujiwara Y, Furuta A, Kikuchi H, Aizawa S, Hatanaka Y, Konya C, Uchida K, Yosihmura A, Tamai Y, Wada K and Kabuta T: Discovery of a novel type of autophagy targeting RNA. Autophagy. 9:403–409. 2013. View Article : Google Scholar : PubMed/NCBI

33 

Fujiwara Y, Kikuchi H, Aizawa S, Furuta A, Hatanaka Y, Konya C, Uchida K, Wada K and Kabuta T: Direct uptake and degradation of DNA by lysosomes. Autophagy. 9:1167–1171. 2013. View Article : Google Scholar : PubMed/NCBI

Related Articles

  • Abstract
  • View
  • Download
  • Twitter
Copy and paste a formatted citation
Spandidos Publications style
Nishikawa R, Osaki M, Sasaki R, Ishikawa M, Yumioka T, Yamaguchi N, Iwamoto H, Honda M, Kabuta T, Takenaka A, Takenaka A, et al: Splice variants of lysosome‑associated membrane proteins 2A and 2B are involved in sunitinib resistance in human renal cell carcinoma cells. Oncol Rep 44: 1810-1820, 2020.
APA
Nishikawa, R., Osaki, M., Sasaki, R., Ishikawa, M., Yumioka, T., Yamaguchi, N. ... Okada, F. (2020). Splice variants of lysosome‑associated membrane proteins 2A and 2B are involved in sunitinib resistance in human renal cell carcinoma cells. Oncology Reports, 44, 1810-1820. https://doi.org/10.3892/or.2020.7752
MLA
Nishikawa, R., Osaki, M., Sasaki, R., Ishikawa, M., Yumioka, T., Yamaguchi, N., Iwamoto, H., Honda, M., Kabuta, T., Takenaka, A., Okada, F."Splice variants of lysosome‑associated membrane proteins 2A and 2B are involved in sunitinib resistance in human renal cell carcinoma cells". Oncology Reports 44.5 (2020): 1810-1820.
Chicago
Nishikawa, R., Osaki, M., Sasaki, R., Ishikawa, M., Yumioka, T., Yamaguchi, N., Iwamoto, H., Honda, M., Kabuta, T., Takenaka, A., Okada, F."Splice variants of lysosome‑associated membrane proteins 2A and 2B are involved in sunitinib resistance in human renal cell carcinoma cells". Oncology Reports 44, no. 5 (2020): 1810-1820. https://doi.org/10.3892/or.2020.7752
Copy and paste a formatted citation
x
Spandidos Publications style
Nishikawa R, Osaki M, Sasaki R, Ishikawa M, Yumioka T, Yamaguchi N, Iwamoto H, Honda M, Kabuta T, Takenaka A, Takenaka A, et al: Splice variants of lysosome‑associated membrane proteins 2A and 2B are involved in sunitinib resistance in human renal cell carcinoma cells. Oncol Rep 44: 1810-1820, 2020.
APA
Nishikawa, R., Osaki, M., Sasaki, R., Ishikawa, M., Yumioka, T., Yamaguchi, N. ... Okada, F. (2020). Splice variants of lysosome‑associated membrane proteins 2A and 2B are involved in sunitinib resistance in human renal cell carcinoma cells. Oncology Reports, 44, 1810-1820. https://doi.org/10.3892/or.2020.7752
MLA
Nishikawa, R., Osaki, M., Sasaki, R., Ishikawa, M., Yumioka, T., Yamaguchi, N., Iwamoto, H., Honda, M., Kabuta, T., Takenaka, A., Okada, F."Splice variants of lysosome‑associated membrane proteins 2A and 2B are involved in sunitinib resistance in human renal cell carcinoma cells". Oncology Reports 44.5 (2020): 1810-1820.
Chicago
Nishikawa, R., Osaki, M., Sasaki, R., Ishikawa, M., Yumioka, T., Yamaguchi, N., Iwamoto, H., Honda, M., Kabuta, T., Takenaka, A., Okada, F."Splice variants of lysosome‑associated membrane proteins 2A and 2B are involved in sunitinib resistance in human renal cell carcinoma cells". Oncology Reports 44, no. 5 (2020): 1810-1820. https://doi.org/10.3892/or.2020.7752
Follow us
  • Twitter
  • LinkedIn
  • Facebook
About
  • Spandidos Publications
  • Careers
  • Cookie Policy
  • Privacy Policy
How can we help?
  • Help
  • Live Chat
  • Contact
  • Email to our Support Team