Spandidos Publications Logo
  • About
    • About Spandidos
    • Aims and Scopes
    • Abstracting and Indexing
    • Editorial Policies
    • Reprints and Permissions
    • Job Opportunities
    • Terms and Conditions
    • Contact
  • Journals
    • All Journals
    • Oncology Letters
      • Oncology Letters
      • Information for Authors
      • Editorial Policies
      • Editorial Board
      • Aims and Scope
      • Abstracting and Indexing
      • Bibliographic Information
      • Archive
    • International Journal of Oncology
      • International Journal of Oncology
      • Information for Authors
      • Editorial Policies
      • Editorial Board
      • Aims and Scope
      • Abstracting and Indexing
      • Bibliographic Information
      • Archive
    • Molecular and Clinical Oncology
      • Molecular and Clinical Oncology
      • Information for Authors
      • Editorial Policies
      • Editorial Board
      • Aims and Scope
      • Abstracting and Indexing
      • Bibliographic Information
      • Archive
    • Experimental and Therapeutic Medicine
      • Experimental and Therapeutic Medicine
      • Information for Authors
      • Editorial Policies
      • Editorial Board
      • Aims and Scope
      • Abstracting and Indexing
      • Bibliographic Information
      • Archive
    • International Journal of Molecular Medicine
      • International Journal of Molecular Medicine
      • Information for Authors
      • Editorial Policies
      • Editorial Board
      • Aims and Scope
      • Abstracting and Indexing
      • Bibliographic Information
      • Archive
    • Biomedical Reports
      • Biomedical Reports
      • Information for Authors
      • Editorial Policies
      • Editorial Board
      • Aims and Scope
      • Abstracting and Indexing
      • Bibliographic Information
      • Archive
    • Oncology Reports
      • Oncology Reports
      • Information for Authors
      • Editorial Policies
      • Editorial Board
      • Aims and Scope
      • Abstracting and Indexing
      • Bibliographic Information
      • Archive
    • Molecular Medicine Reports
      • Molecular Medicine Reports
      • Information for Authors
      • Editorial Policies
      • Editorial Board
      • Aims and Scope
      • Abstracting and Indexing
      • Bibliographic Information
      • Archive
    • World Academy of Sciences Journal
      • World Academy of Sciences Journal
      • Information for Authors
      • Editorial Policies
      • Editorial Board
      • Aims and Scope
      • Abstracting and Indexing
      • Bibliographic Information
      • Archive
    • International Journal of Functional Nutrition
      • International Journal of Functional Nutrition
      • Information for Authors
      • Editorial Policies
      • Editorial Board
      • Aims and Scope
      • Abstracting and Indexing
      • Bibliographic Information
      • Archive
    • International Journal of Epigenetics
      • International Journal of Epigenetics
      • Information for Authors
      • Editorial Policies
      • Editorial Board
      • Aims and Scope
      • Abstracting and Indexing
      • Bibliographic Information
      • Archive
    • Medicine International
      • Medicine International
      • Information for Authors
      • Editorial Policies
      • Editorial Board
      • Aims and Scope
      • Abstracting and Indexing
      • Bibliographic Information
      • Archive
  • Articles
  • Information
    • Information for Authors
    • Information for Reviewers
    • Information for Librarians
    • Information for Advertisers
    • Conferences
  • Language Editing
Spandidos Publications Logo
  • About
    • About Spandidos
    • Aims and Scopes
    • Abstracting and Indexing
    • Editorial Policies
    • Reprints and Permissions
    • Job Opportunities
    • Terms and Conditions
    • Contact
  • Journals
    • All Journals
    • Biomedical Reports
      • Information for Authors
      • Editorial Policies
      • Editorial Board
      • Aims and Scope
      • Abstracting and Indexing
      • Bibliographic Information
      • Archive
    • Experimental and Therapeutic Medicine
      • Information for Authors
      • Editorial Policies
      • Editorial Board
      • Aims and Scope
      • Abstracting and Indexing
      • Bibliographic Information
      • Archive
    • International Journal of Epigenetics
      • Information for Authors
      • Editorial Policies
      • Editorial Board
      • Aims and Scope
      • Abstracting and Indexing
      • Bibliographic Information
      • Archive
    • International Journal of Functional Nutrition
      • Information for Authors
      • Editorial Policies
      • Editorial Board
      • Aims and Scope
      • Abstracting and Indexing
      • Bibliographic Information
      • Archive
    • International Journal of Molecular Medicine
      • Information for Authors
      • Editorial Policies
      • Editorial Board
      • Aims and Scope
      • Abstracting and Indexing
      • Bibliographic Information
      • Archive
    • International Journal of Oncology
      • Information for Authors
      • Editorial Policies
      • Editorial Board
      • Aims and Scope
      • Abstracting and Indexing
      • Bibliographic Information
      • Archive
    • Medicine International
      • Information for Authors
      • Editorial Policies
      • Editorial Board
      • Aims and Scope
      • Abstracting and Indexing
      • Bibliographic Information
      • Archive
    • Molecular and Clinical Oncology
      • Information for Authors
      • Editorial Policies
      • Editorial Board
      • Aims and Scope
      • Abstracting and Indexing
      • Bibliographic Information
      • Archive
    • Molecular Medicine Reports
      • Information for Authors
      • Editorial Policies
      • Editorial Board
      • Aims and Scope
      • Abstracting and Indexing
      • Bibliographic Information
      • Archive
    • Oncology Letters
      • Information for Authors
      • Editorial Policies
      • Editorial Board
      • Aims and Scope
      • Abstracting and Indexing
      • Bibliographic Information
      • Archive
    • Oncology Reports
      • Information for Authors
      • Editorial Policies
      • Editorial Board
      • Aims and Scope
      • Abstracting and Indexing
      • Bibliographic Information
      • Archive
    • World Academy of Sciences Journal
      • Information for Authors
      • Editorial Policies
      • Editorial Board
      • Aims and Scope
      • Abstracting and Indexing
      • Bibliographic Information
      • Archive
  • Articles
  • Information
    • For Authors
    • For Reviewers
    • For Librarians
    • For Advertisers
    • Conferences
  • Language Editing
Login Register Submit
  • This site uses cookies
  • You can change your cookie settings at any time by following the instructions in our Cookie Policy. To find out more, you may read our Privacy Policy.

    I agree
Search articles by DOI, keyword, author or affiliation
Search
Advanced Search
presentation
Oncology Reports
Join Editorial Board Propose a Special Issue
Print ISSN: 1021-335X Online ISSN: 1791-2431
Journal Cover
March-2018 Volume 39 Issue 3

Full Size Image

Sign up for eToc alerts
Recommend to Library

Journals

International Journal of Molecular Medicine

International Journal of Molecular Medicine

International Journal of Molecular Medicine is an international journal devoted to molecular mechanisms of human disease.

International Journal of Oncology

International Journal of Oncology

International Journal of Oncology is an international journal devoted to oncology research and cancer treatment.

Molecular Medicine Reports

Molecular Medicine Reports

Covers molecular medicine topics such as pharmacology, pathology, genetics, neuroscience, infectious diseases, molecular cardiology, and molecular surgery.

Oncology Reports

Oncology Reports

Oncology Reports is an international journal devoted to fundamental and applied research in Oncology.

Experimental and Therapeutic Medicine

Experimental and Therapeutic Medicine

Experimental and Therapeutic Medicine is an international journal devoted to laboratory and clinical medicine.

Oncology Letters

Oncology Letters

Oncology Letters is an international journal devoted to Experimental and Clinical Oncology.

Biomedical Reports

Biomedical Reports

Explores a wide range of biological and medical fields, including pharmacology, genetics, microbiology, neuroscience, and molecular cardiology.

Molecular and Clinical Oncology

Molecular and Clinical Oncology

International journal addressing all aspects of oncology research, from tumorigenesis and oncogenes to chemotherapy and metastasis.

World Academy of Sciences Journal

World Academy of Sciences Journal

Multidisciplinary open-access journal spanning biochemistry, genetics, neuroscience, environmental health, and synthetic biology.

International Journal of Functional Nutrition

International Journal of Functional Nutrition

Open-access journal combining biochemistry, pharmacology, immunology, and genetics to advance health through functional nutrition.

International Journal of Epigenetics

International Journal of Epigenetics

Publishes open-access research on using epigenetics to advance understanding and treatment of human disease.

Medicine International

Medicine International

An International Open Access Journal Devoted to General Medicine.

Journal Cover
March-2018 Volume 39 Issue 3

Full Size Image

Sign up for eToc alerts
Recommend to Library

  • Article
  • Citations
    • Cite This Article
    • Download Citation
    • Create Citation Alert
    • Remove Citation Alert
    • Cited By
  • Similar Articles
    • Related Articles (in Spandidos Publications)
    • Similar Articles (Google Scholar)
    • Similar Articles (PubMed)
  • Download PDF
  • Download XML
  • View XML
Article

Garcinone C exerts antitumor activity by modulating the expression of ATR/Stat3/4E‑BP1 in nasopharyngeal carcinoma cells

  • Authors:
    • Yudui Xia
    • Xia Liu
    • Chunlin Zou
    • Shixiu Feng
    • Hongwei Guo
    • Yeguo Yang
    • Yong Lei
    • Jian Zhang
    • Yi Lu
  • View Affiliations / Copyright

    Affiliations: Key Laboratory of Longevity and Ageing‑Related Diseases, Ministry of Education, Nanning, Guangxi 530021, P.R. China, Key Laboratory of Southern Subtropical Plant Diversity, Shenzhen Fairy Lake Botanical Garden, Chinese Academy of Sciences, Shenzhen, Guangdong 518004, P.R. China
  • Pages: 1485-1493
    |
    Published online on: January 16, 2018
       https://doi.org/10.3892/or.2018.6218
  • Expand metrics +
Metrics: Total Views: 0 (Spandidos Publications: | PMC Statistics: )
Metrics: Total PDF Downloads: 0 (Spandidos Publications: | PMC Statistics: )
Cited By (CrossRef): 0 citations Loading Articles...

This article is mentioned in:



Abstract

Nasopharyngeal carcinoma (NPC) is one of the most common head and neck malignancies and is typically treated with radiotherapy and chemotherapy. Garcinone C, a natural compound isolated from Garcinia oblongifolia Champ., is a xanthone derivative with potential cytotoxic effects on certain cancers. However, there are limited studies regarding its effects on NPC cells, and its mechanism of action in NPC remains unknown. In the present study, we found that garcinone C significantly inhibited cell viability of the human NPC cell lines CNE1, CNE2, HK1 and HONE1. This inhibition was exerted in a time‑ and dose‑dependent manner. Flow cytometry demonstrated that garcinone C arrested the cell cycle at the S phase. Moreover, with 10 µM of high‑dose garcinone C treatment, the cells exhibited necrotic morphology changes including cell swelling, rough endoplasmic reticulum degranulation, endoplasmic reticulum dilatation, mitochondrial swelling and vacuolar degeneration. In addition, we found that garcinone C stimulated the expression levels of ATR and 4E‑BP1, while efficiently inhibiting the expression levels of cyclin B1, cyclin D1, cyclin E2, cdc2, CDK7 and Stat3. Collectively, the ability of garcinone C to inhibit NPC in growth in vitro suggested that garcinone C may be a novel agent for the management of NPC.

Introduction

Malignancies remain a major challenge to global public health (1). One of the most common head and neck malignancies worldwide, especially in southern China, Southeast Asia, and North Africa, is nasopharyngeal carcinoma (NPC) (2). There are three subtypes of NPC, classified by the World Health Organization, that include squamous cell carcinoma, non-keratinizing carcinoma and undifferentiated carcinoma (3).

Radiotherapy is the standard treatment for early-stage NPC, but chemotherapy is also very important in the standard treatment of locally advanced and metastatic NPC. The common chemotherapies used to treat NPC are cisplatin, carboplatin, 5-fluorouracil, gemcitabine, paclitaxel, anthracyclines, bleomycin, epirubicin and cetuximab (2). However, one of the major obstacles in successfully treating advanced NPC is the development of drug resistance, which can result from a variety of factors, including increased DNA damage tolerance (4). Because of this major obstacle that drug resistance poses, new and better treatment options for NPC are urgently needed.

In the last few decades, natural compounds have gained increasing attention as a source of potential anticancer agents. Xanthones are oxygen-containing heterocyclic compounds widely distributed in various plants and microorganisms. It is well known that xanthones have remarkable pharmacological effects, such as anticancer, antioxidant, anti-inflammatory, antidiabetic, antimicrobial, antithrombotic and hepatoprotective activities (5–7). Among them, the anticancer potential of xanthones has drawn an increasing amount of attention. For example, some xanthones, such as gambogic acid (8–12) and α-mangostin (13–16), have been shown to exhibit anticancer properties, including antiproliferation, antiangiogenesis and antimetastasis.

Garcinone C (C23H26O7, MW 414.5, Fig. 1), a xanthone derivative, is a natural compound extracted from Garcinia oblongifolia Champ. (a traditional Chinese medicine) that is used as an anti-inflammatory, analgesia, astringency and granulation-promoting medicine. Recently, it was reported that garcinone C exhibits cytotoxicity against MCF-7, A549, Hep-G2 and CNE human cancer cell lines in vitro (17). However, the function and molecular mechanism of this compound in cell growth and cell cycle progression have not been yet elucidated. In the present study, CNE1 (well-differentiated squamous cell carcinoma), CNE2 (non-keratinizing carcinoma), HK1 (well-differentiated squamous cell carcinoma) and HONE1 (undifferentiated carcinoma) NPC cells were treated with different concentrations of garcinone C and then subjected to biochemical, microscopic, flow cytometric, and molecular analyses to determine the efficacy and mechanism of action of garcinone C in NPC.

Figure 1.

The basic chemical structure of garcinone C extracted from the bark of Garcinia oblongifolia Champ.

Materials and methods

Plant material

The bark of Garcinia oblongifolia Champ was collected from Wuzhishan, Hainan, China in October 2013 and identified by Dr Xilong Zheng, an expert from the Crops Research Institute, Guangdong Academy of Agricultural Sciences, Guangzhou, China. A voucher specimen was deposited in the South China Botanical Garden, Chinese Academy of Sciences, Guangzhou, China.

Extraction, isolation, and identification of garcinone C

The air-dried bark (10.0 kg) was powdered and extracted three times with 90% ethanol for 48 h per extraction. The extract was concentrated under vacuum, suspended in 50% ethanol, and then successively partitioned with petroleum ether, EtOAc. The EtOAc soluble extract (320.0 g) was subjected to silica gel column chromatography (100–200 mesh) and eluted with a gradient solvent system of CCl3-MeOH (from 90:10 to 70:30) to yield 10 sub-fractions, A-J. Sub-fraction E was re-subjected to silica gel column chromatography (CCl3-MeOH-H2O, 100:11:2) and then purified by Sephadex LH-20 column chromatography eluted with methanol to yield garcinone C (28 mg).

The physiochemical characteristics of garcinone C were identified by electron spray ionization mass spectrometry, 1H and 13C nuclear magnetic resonance (NMR) spectra. Garcinone C (C23H26O7) (Fig. 1): yellow needles, >98.0% purity. ESIMS (m/z): 415 [M + H]+, 437 [M + Na]+, 413 [M-H]−. 1H-NMR (500 MHz, (CD3)2CO-d6): δ 13.92 (s, OH-1), 1.65 (3H, s, H-14), 1.32 (6H, d, H-19, 20), 1.79 (3H, s, H-15), 1.94–1.82 (2H, m, H-17), 3.35 (2H, d, J=7.2 Hz, H-11), 3.58–3.43 (2H, m, H-16), 5.29 (1H, t, J=7.2 Hz, H-12), 6.39 (1H, s, H-4), 6.79 (1H, s, H-5). 13C-NMR (125 MHz, (CD3)2CO-d6): δ161.2 (C-1), 110.7 (C-2), 162.7 (C-3), 92.9 (C-4), 155.8 (C-4a), 101.0 (C-5), 153.9 (C-6), 141.3 (C-7), 131.0 (C-8), 111.8 (C-8a), 183.0 (C-9), 103.6 (C-9a), 153.2 (C-10a), 21.9 (C-11), 123.5 (C-12), 131.3 (C-13), 25.8 (C-14), 17.8 (C-15), 22.5 (C-16), 44.1 (C-17), 71.1 (C-18). Garcinone C was dissolved in dimethylsulfoxide (DMSO) to prepare 20 mM garcinone C stock solution.

Cell culture

Human NPC cell lines CNE1, CNE2, HK1, and HONE1 were a kind gift of Dr Chao-Nan Qian (Department of Nasopharyngeal Carcinoma, Sun Yat-sen University Cancer Center, Guangzhou, China). Cells were cultured at 37°C, in a humidified atmosphere with 5% CO2, in Dulbecco's modified Eagles medium supplemented with 10% fetal bovine serum (FBS), 1% L-glutamine, 100 U/ml penicillin, 100 µg/ml of streptomycin and 0.25 µg/ml of Fungizone® (Gibco; Thermo Fisher Scientific, Inc., Waltham, MA, USA). The cells were harvested by trypsinization and plated 24 h before treatment with garcinone C or paclitaxel.

MTS assay for cell viability

CNE1, CNE2, HK1 and HONE1 cells were plated in 96-well plates and 24 h later, they were treated with 1.25, 1.875, 2.5, 3.75, 5, 7.5, 10, 15 and 20 µM of garcinone C or 1/1,000 DMSO for 24, 48 and 72 h. As a positive control, CNE1 and HONE1 cells were treated with or without paclitaxel for 24, 48 and 72 h. Cell viability was measured using Promega's CellTiter 96 AQueous One Solution Cell Proliferation Assay (Promega, Madison, WI, USA) and read using a Multiskan GO Microplate spectrophotometer (Thermo Fisher Scientific) at 490 nm. The cell viability ratio was calculated according to the following equation: cell viability (%) = treated group/control group × 100%. The half-maximal inhibitory concentration (IC50) was calculated using the Bliss method. The results were estimated from the data of six technical replicates and three biological replicates.

Colony formation assay

Cells were diluted and seeded at 500 cells per well in 6-well plates. The following day, CNE1 and HK1 cells were treated with 0.625 and 0.9375 µM garcinone C or DMSO, and CNE2 and HONE1 cells were treated with 1.25 and 2.5 µM garcinone C or DMSO. Medium was replaced with fresh medium containing garcinone C every 4 days. After incubation for 10 days, colonies were fixed with 4% paraformaldehyde for 20 min, visualized with crystal violet, and then scanned with Canon CanoScan 9000F Color Image Scanner. Visible colonies were counted. Colony formation rate (%) = number of colonies/number of seeded cells × 100%.

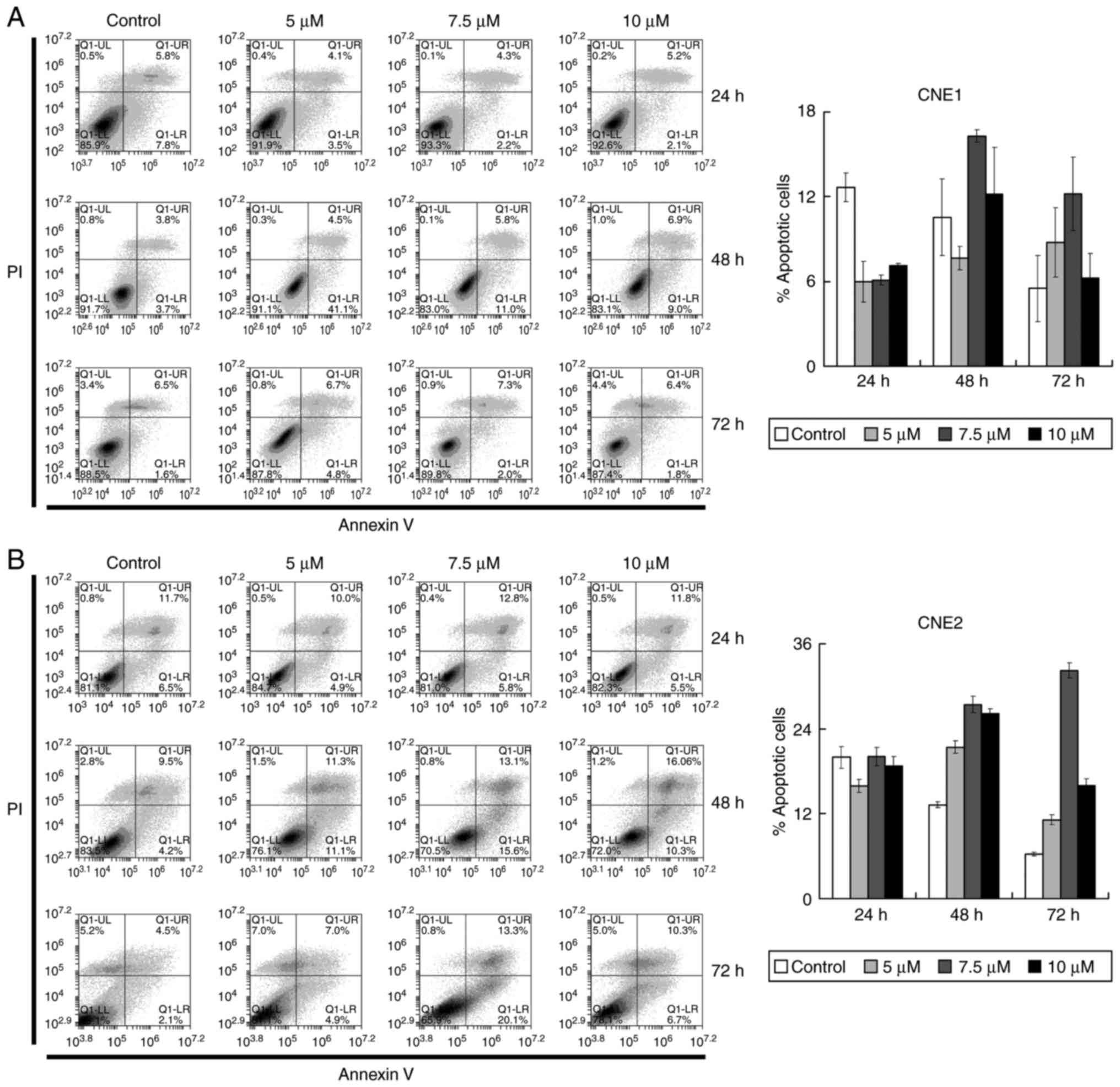
Flow cytometry analysis of apoptosis

CNE1 and CNE2 cells were seeded in 25-cm2 flasks and treated with 5, 7.5 and 10 µM of garcinone C or 1/2,000 dimethyl sulfoxide (DMSO) for 24, 48 and 72 h. Harvested cells were washed with Dulbecco's phosphate-buffered saline (DPBS) and stained with Annexin V and propidium iodide (PI), according to the instructions of the FITC Annexin V Apoptosis Detection kit I (BD Biosciences, San Diego, CA, USA). Apoptotic cells were quantified by BD Accuri C6 Flow Cytometer (BD Biosciences). Stained cell populations were defined as: lower left quadrant, living cells (Annexin V−/PI−); upper left quadrant, primary necrotic cells (Annexin V−/PI+); lower right quadrant, early apoptotic cells (Annexin V+/PI−); upper right quadrant, late apoptotic cells (Annexin V+/PI+). Approximately 50,000 events were collected per sample. Apoptotic cell percentage = [upper right quadrant (UR) + lower right quadrant (LR)] %.

Cell cycle analysis

CNE1, CNE2, HK1 and HONE1 cells were treated with 5, 7.5 and 10 µM of garcinone C or 1/2,000 DMSO for 24, 48 and 72 h. Harvested cells were washed with DPBS and stained with PI according to the protocol of the Cycletest™ Plus DNA Reagent kit (BD Biosciences). Cell cycle distribution was analyzed using the BD Accuri C6 flow cytometer. Approximately 30,000 events were collected per sample. The results were further analyzed using ModFit LT software (Verity Software House Inc., Topsham, ME, USA).

Transmission electron microscopy (TEM)

To investigate and study the cell damage caused by garcinone C, CNE1 and HONE1 cells were respectively cultured with 10 µM garcinone C or DMSO for 24, 48 and 72 h. After washing with DPBS, the cells were fixed with 1 ml of 3% glutaraldehyde and stored at 4°C. Cells were then washed three times with phosphate-buffered saline (PBS) and further postfixed with 1% osmium tetroxide for 1–2 h. After rinsing three times with PBS, the cells were dehydrated in a graded series of 50, 70 and 90% ethanol and then 90% ethanol:90% acetone (1:1), 90% acetone, and three times with 100% acetone. After dehydration, the cells were embedded in epoxy resin 618 for sectioning. Ultrathin sections were obtained using a Leica EM UC7 ultramicrotome (Leica Microsystems, Buffalo Grove, IL, USA). After staining with uranyl acetate and lead citrate, the sections were examined and photographed with a Hitachi H-7650 transmission electron microscope (Hitachi, Tokyo, Japan).

Protein isolation and western blot analysis

Cells were treated with 5, 7.5 and 10 µM of garcinone C for 24, 48 and 72 h. Cell lysates were prepared in RIPA lysis buffer supplemented with a protease inhibitor cocktail, Phenylmethylsulfonyl fluoride, and Phosphatase Inhibitors Cocktail 2 and 3, and then stored at 4°C overnight. Total lysates were centrifuged for 20 min, at 13,523 × g at 4°C, and the supernatant was collected and stored at −80°C. The quantitative analysis of protein was determined using the Pierce BCA Protein Assay Reagent Kit (Thermo Fisher Scientific, Rockford, IL, USA) and 50 µg of protein was used for SDS-PAGE electrophoresis. Antibodies against cyclin B1 (#4138), cyclin D1 (#2926), cyclin E2 (#4132), cdc2 (#9112), CDK7 (#2916), GAPDH (#2118), Atg3 (#3415), AKT (#9272), Stat5 (#9358), Stat3 (#9139), 4E-BP1 (#9644), mTOR (#2972), GSK-3β (#9315), AMPKα (#2532), Histone H2B (#12364), anti-rabbit IgG (#7074), and anti-mouse IgG (#7076) were purchased from Cell Signaling Technology, Inc. (Beverly, MA, USA). Anti-DNA PKcs [Y393] (ab32566) and anti-ATR antibodies (ab10312) were purchased from Abcam (Cambridge, MA, USA). GAPDH was used as an equal loading control. Thermo Scientific Pierce ECL Western Blotting Substrate (Rockford, IL, USA) and Kodak X-OMAT BT Film (Kodak, Rochester, NY, USA) were used to detect the bound immune complexes. The films were then developed by a Kodak X-OMAT 2000 Processor and scanned with a Canon CanoScan 9000F Color Image Scanner (Canon, Melville, NY, USA).

Statistical analysis

All experiments were repeated at least three times. Statistical significance of the differences between two samples was evaluated by the unpaired two-tailed Student's t-test. Significance was established at *P<0.05 or **P<0.01. Statistical significance of the differences among samples was assessed by one-way analysis of variance followed by the least significant difference and Student-Neumann-Keuls post hoc comparison. The analyses were performed with SPSS 13.0 software (SPSS Inc., Chicago, IL, USA). The threshold of significance was defined as P<0.05.

Results

Garcinone C inhibits the cell viability of human NPC cells in a time- and dose-dependent manner

To investigate the effect of garcinone C on the viability of the human NPC cell lines CNE1, CNE2, HK1 and HONE1, the cells were treated with garcinone C at a concentration ranging from 0 to 20 µM for 24, 48 and 72 h. After exposure to garcinone C, cell viability was determined using an MTS assay. The results showed that garcinone C treatment inhibited cell viability in these four cell lines in a time- and dose-dependent manner (Fig. 2). The IC50 value of garcinone C after 72 h of incubation was 10.68±0.89, 13.24±0.20, 9.71±1.34 and 8.99±1.15 µM for CNE1, CNE2, HK1 and HONE1 cells, respectively. Paclitaxel, an antitumor drug that is known to inhibit cell viability, was used as a positive control for the MTS assay. As shown in Fig. 2, paclitaxel robustly inhibited cell viability in the CNE1 and HONE1 cells, in a time- and dose-dependent manner, with a 72 h IC50 of 5.72±1.43 and 3.5±0.80 nM.

Figure 2.

Time- and dose-dependent effects of garcinone C on the viability of CNE1, CNE2, HK1 and HONE1 cells. Cells were treated with garcinone C (A), or paclitaxel (B) for 24, 48, and 72 h. Cell viability was measured by MTS assay. The y-axis represents the cell viability ratio relative to DMSO-treated cells. Data are expressed as mean ± SD of three experiments. *P<0.05 and **P<0.01 compared with the control.

Garcinone C reduces the colony-formation ability of human NPC cells

To further demonstrate the anticancer effects of garcinone C, the colony formation ability of NPC cells after treatment with garcinone C was assessed. CNE1 and HK1 cells were treated with 0.625 or 0.9375 µM of garcinone C for 10 days, while CNE2 and HONE1 cells were treated with 1.25 or 5 µM of garcinone C for 10 days. The results demonstrated that garcinone C significantly delayed the ability of NPC cells to form colonies (P<0.01), in a dose-dependent manner (Fig. 3).

Figure 3.

Suppressive effect of garcinone C on the colony-formation ability of NPC cells. Left panel, representative images of the colony formation assay. Right panel, analysis of relative colony formation rates of CNE1, CNE2, HK1, and HONE1 cells. Data are mean ± SD of three independent experiments. **P<0.01 relative to the control.

Garcinone C slightly induces the apoptosis of NPC cells

Having found that garcinone C caused inhibition of cell growth, we investigated whether this was due to the induction of apoptosis in the CNE1 and CNE2 cells. Cells were treated with 5, 7.5 and 10 µM of garcinone C or DMSO (control) for 24, 48 and 72 h. Subsequently, the cells were stained with Annexin V and PI, and subjected to flow cytometry to quantify the amount of apoptotic cells. The results revealed that garcinone C caused a slight increase in the apoptotic cell population in CNE1 and CNE2 cells (Fig. 4). However, the modest increase in the number of apoptotic cells after garcinone C treatment suggest that apoptosis may not be the major reason for the cell growth inhibition.

Figure 4.

Induction of apoptosis by garcinone C. After 24, 48, and 72 h of incubation with garcinone C at the indicated concentrations, CNE1 and CNE2 cells were stained with Annexin V and PI, and then analyzed by flow cytometry. (A) Flow cytometric analysis of apoptosis in the CNE1 cells; (B) flow cytometric analysis of apoptosis in the CNE2 cells. Apoptotic cell percentage = [upper right quadrant (UR) + lower right quadrant (LR)]%.

Garcinone C induces S phase cell cycle arrest

To assess whether garcinone C induces cell growth inhibition via alterations in cell cycle progression, we evaluated the effect of garcinone C on the cell cycle. As shown in Fig. 5, there was a significant decrease in the proportion of cells in the G0/G1 phase, and a significant increase in the proportion of cells in the S phase after cells were treated with garcinone C, vs. the control. For example (Fig. 5B), the majority of control-treated CNE2 cells were in the G0/G1 phase (53.38±0.55%), with a G2/M-phase fraction of 18.45±0.38%, and the remaining control cells (28.17±0.93%) were found to be in the S phase. However, garcinone C treatment produced a shift in the DNA content histogram. The G0/G1 phase fraction decreased significantly to 47.23±0.93% after 24 h of 10 µM garcinone C treatment, 14.33±0.25% after 48 h of 10 µM garcinone C treatment, and 4.03±0.08% after 72 h of 10 µM garcinone C treatment. The decrease in the G0/G1-phase fraction was offset by a rise in the S-phase fraction, which increased from 28.17±0.93 to 42.99±0.88% after 24 h of treatment, 71.47±0.45% after 48 h of treatment, and 71.73±0.15% after 72 h of treatment. These results indicated that garcinone C efficiently inhibited the cell division by arresting cells in the S phase, suggesting that the inhibition of NPC cell proliferation by garcinone C is the result of cell cycle blockade.

Figure 5.

Induction of CNE1, CNE2, HK1, and HONE1 cell cycle arrest by garcinone C. The population distribution of four cell lines was assessed by cell cycle analysis using PI staining and flow cytometry. Right panel, the percentage of cells in the G0/G1, S and G2/M phases of the cell cycle 24, 48 and 72 h after 5, 7.5, and 10 µM garcinone C treatment (n=3; error bars represent mean ± SD; a different letter on the right of the S phase column indicates a significant difference between different concentrations of garcinone C; P<0.05, one-way analysis of variance, and least significant difference/Student-Neumann-Keuls post hoc test). Left panel, representative flow cytometry profiles from three independent experiments for each condition.

High-dose garcinone C induces cell necrosis in a time-dependent manner

Next, we examined cells for ultrastructural differences using TEM. As shown in Fig. 6, DMSO-treated control CNE1 and HONE1 cells exhibited normal morphology, with microvilli on the cell surface, abundant mitochondria and ribosomes. Upon exposure to 10 µM of garcinone C, cells exhibited a time-dependent increase in necrotic morphology, including cell swelling, rough endoplasmic reticulum degranulation, endoplasmic reticulum dilatation, mitochondrial swelling, vacuolar degeneration and loss of microvilli.

Figure 6.

Ultrastructural features of DMSO-treated CNE1 and HONE1 cells or garcinone C (10 µM)-treated cells examined by TEM (×25,000). Microvilli are present on the surface of CNE1 and HONE1 cells. The cytoplasm contains abundant mitochondria and ribosomes. After garcinone C treatment, mitochondrial swelling, vacuolization, degranulation of rough endoplasmic reticulum and dilatation of the endoplasmic reticulum were observed. Scale bar=2 µm.

Garcinone C affects the expression levels of cell cycle-related proteins

Having noted that garcinone C induces cell cycle arrest in NPC cells, we investigated whether garcinone C could regulate the expression levels of cell cycle-related proteins. In agreement, a decrease in cyclin B1, cyclin D1, cyclin E2, cdc2 and CDK7 expression was observed in a dose- and time-dependent manner after treatments of 5, 7.5 and 10 µM garcinone C for 24, 48 and 72 h in CNE1, CNE2, HK1 and HONE1 cells (Fig. 7). Additionally, an increase in ataxia telangiectasia and Rad3 related protein (ATR) expression was observed in CNE1 and HK1 cells. Together, our data indicated that garcinone C induced cell cycle arrest via the downregulation of cyclin B1, cyclin D1, cyclin E2, cdc2 and CDK7, presumably through ATR activation.

Figure 7.

Effect of garcinone C on cell cycle-related proteins in CNE1, CNE2, HK1, and HONE1 cells. Total cell lysates were prepared and subjected to SDS-PAGE followed by western blot analysis. Membranes were probed with anti-ATR, cyclin B1, cyclin D1, cyclin E2, cdc2, CDK7 and GAPDH. GAPDH was used as a loading control. The experiment was repeated three times with similar results.

Garcinone C decreases the expression level of Stat3 and increases the expression level of 4E-BP1

To further evaluate the molecular mechanisms involved in the anticancer activity of garcinone C, we assessed the involvement of several key signal transduction pathways implicated in tumor progression by western blot analysis. As shown in Fig. 8, our results showed that treatment of CNE1 cells with garcinone C did not significantly affect the protein levels of mTOR, GSK-3β, AMPKα, DNA-dependent protein kinase, catalytic subunit (DNA-PKcs), Histone H2B, AKT, or Stat5 in a time- or dose-dependent manner. However, we noted a decrease in the levels of Stat3 and an increase in the levels of 4E-BP1 in the four NPC cell lines treated with garcinone C (Fig. 9).

Figure 8.

Western blot analysis showed that the expression levels of mTOR, GSK-3β, AMPKα, DNA-PKcs, Histone H2B, AKT and Stat5 were not affected by garcinone C in CNE1 cells. CNE1 cells were treated with 5, 7.5 and 10 µM of garcinone C or 1/2,000 DMSO (control) for 24, 48 and 72 h. Cells were lysed and total protein was collected for western blot analysis.

Figure 9.

Effects of garcinone C on expression levels of Stat3 and 4E-BP1 in CNE1, CNE2, HK1 and HONE1 cells. Cells were treated with 5, 7.5 and 10 µM of garcinone C or 1/2,000 DMSO (control) for 24, 48 and 72 h. At the end of treatments, total cell lysates were prepared and subjected to SDS-PAGE followed by western blot analysis. Membranes were probed with anti-Stat3, 4E-BP1 and GAPDH. GAPDH was used as a loading control. The experiment was repeated three times with similar results.

Discussion

In the present study, we demonstrated that garcinone C significantly inhibited the cell proliferation and colony-formation ability of NPC cells in vitro, in a dose- and time-dependent manner. Mechanistically, the inhibitory effect of garcinone C on cell growth could be ascribed to the arrest of the cell cycle in the S phase.

DNA damage checkpoints play an important role in normal nasopharyngeal epithelial cells by protecting them from genome instability and tumorigenesis. In NPC, targeting activation of the DNA damage checkpoint is a major therapeutic strategy (18). Moreover, increased DNA damage tolerance is one of the reasons for the development of drug resistance (19). In this study, we detected the expression levels of DNA damage-related proteins, ATR and DNA-PKcs after treatments with garcinone C. The results revealed that garcinone C induced the expression level of ATR, but did not effect the expression level of DNA-PKcs. ATR is a phosphatidylinositol 3 kinase-related kinase (PIKK) family member that is activated in response to sensing DNA damage/replication blocks and triggers the DNA damage checkpoint, leading to the arrest of cell cycle progression (20). Although cell growth and cell cycle inhibition are complex processes, which involve many pathways, activation of the DNA damage checkpoint by ATR accumulation could be one of the mechanisms responsible for the ability of garcinone C to inhibit cell growth and induce cell cycle arrest. Therefore, garcinone C might be a new compound for targeting the DNA damage checkpoint in NPC cells and could be a novel drug candidate to use in combination with other agents to enhance the antitumor activity of other chemotherapies.

Cells die through two main processes: necrosis, defined as cell death due to unexpected and accidental cell damage, or apoptosis. In this study, tumor cell necrosis, morphologically characterized by a gain in cell volume, swelling of organelles, and subsequent loss of intracellular contents, was detected within 72 h of 10 µM high-dose garcinone C treatment. However, the presence of necrosis can only indicate that a cell has died, but not necessarily how death occurred (21). Moreover, necrotic pathways are poorly defined and require further elucidation. Therefore, our data indicate that garcinone C-induced NPC cell necrosis is associated with S phase cell cycle arrest, but further investigation is required.

The signal transducer and activator of transcription (Stat) family, including Stat1-6, regulates many aspects of cell growth, survival and differentiation. In particular, Stat3 is constitutively activated in many different types of cancer, plays a pivotal role in tumor growth, and possesses oncogenic potential (22,23). In this study, we found that garcinone C did not affect the expression level of Stat5, but significantly inhibited the expression of Stat3 in four NPC cell lines, in a time- and dose-dependent manner. Thus, our findings suggested that garcinone C inhibits NPC cell growth through a mechanism that likely involves Stat3 inhibition.

The eukaryotic translation initiation factor 4E (elF4E)-binding protein 1 (4E-BP1), a translation repressor protein, contributes to the inhibition of protein synthesis and growth inhibition of tumor cells (24). Consistent with our results, it has been reported that some natural compounds could enhance the expression of 4E-BP1 and trigger tumor cell death (25). 4E-BP1 is also regulated by AKT/GSK-3β/AMPKα/mTOR signaling pathways (26). However, our western blot results showed that although garcinone C upregulated the expression of 4E-BP1, there was no effect on the expression level of AKT, GSK-3β, AMPKα, or mTOR, which suggested that garcinone C might target 4E-BP1 via an AKT/GSK-3β/AMPKα/mTOR-independent pathway.

In conclusion, garcinone C treatment was able to decrease the cell viability and colony-formation ability in CNE1 (well-differentiated squamous cell carcinoma), CNE2 (non-keratinizing carcinoma), HK1 (well-differentiated squamous cell carcinoma) and HONE1 (undifferentiated carcinoma) NPC cells. Furthermore, garcinone C was able to induce S phase cell cycle arrest in all NPC cell lines, and downregulate the expression levels of cell cycle-related proteins cyclin B1, cyclin D1, cyclin E2, cdc2 and CDK7, presumably through ATR activation. Our findings also demonstrated that garcinone C decreased the expression level of Stat3 and increased the expression level of 4E-BP1. Moreover, a high-dose of garcinone C induced necrosis in NPC cells. Taken together, these results revealed that the potential use of garcinone C as a chemotherapeutic agent in NPC warrants further investigation.

Acknowledgements

This study was supported by grants from the National Natural Science Foundation of China Key Project 81130046 (to J.Z.), NSFC81171993 (to Yi Lu), NSFC81272415 (to Yi Lu), NSFC81660606 (to X.L.), and NSFC81460397 (to X.L.); China Postdoctoral Science Foundation 2014M552535XB (to X.L.); Guangxi Key Projects 2013GXNSFEA053004 (to J.Z.); Natural Science Foundation of Guangxi 1355004-5 (to J.Z.), 2012GXNSFCB053004 (to Yi Lu), 2014GXNSFBA118155 (to X.L.), and 2015GXNSFAA139151 (to X.L.); Guangxi Ministry of Education 201202ZD022 (to Yi Lu) and 201201ZD004 (to J.Z.).

References

1 

Zou M, Zhang X and Xu C: IL6-induced metastasis modulators p-STAT3, MMP-2 and MMP-9 are targets of 3,3′-diindolylmethane in ovarian cancer cells. Cell Oncol (Dordr). 39:47–57. 2016. View Article : Google Scholar : PubMed/NCBI

2 

Guigay J, Temam S, Bourhis J, Pignon JP and Armand JP: Nasopharyngeal carcinoma and therapeutic management: The place of chemotherapy. Ann Oncol. 17 Suppl 10:x304–x307. 2006. View Article : Google Scholar : PubMed/NCBI

3 

Shanmugaratnam K: Histological typing of nasopharyngeal carcinoma. IARC Sci Publ. 1–12. 1978.

4 

Liu X, Gao Y, Lu Y, Zhang J, Li L and Yin F: Downregulation of NEK11 is associated with drug resistance in ovarian cancer. Int J Oncol. 45:1266–1274. 2014. View Article : Google Scholar : PubMed/NCBI

5 

Wang L, Kuang L, Pan X, Liu J, Wang Q, Du B, Li D, Luo J, Liu M, Hou A and Qian M: Isoalvaxanthone inhibits colon cancer cell proliferation, migration and invasion through inactivating Rac1 and AP-1. Int J Cancer. 127:1220–1229. 2010. View Article : Google Scholar : PubMed/NCBI

6 

Aisha AF, Abu-Salah KM, Ismail Z and Majid AM: In vitro and in vivo anti-colon cancer effects of Garcinia mangostana xanthones extract. BMC Complement Altern Med. 12:1042012. View Article : Google Scholar : PubMed/NCBI

7 

Panda SS, Chand M, Sakhuja R and Jain SC: Xanthones as potential antioxidants. Curr Med Chem. 20:4481–4507. 2013. View Article : Google Scholar : PubMed/NCBI

8 

Yi T, Yi Z, Cho SG, Luo J, Pandey MK, Aggarwal BB and Liu M: Gambogic acid inhibits angiogenesis and prostate tumor growth by suppressing vascular endothelial growth factor receptor 2 signaling. Cancer Res. 68:1843–1850. 2008. View Article : Google Scholar : PubMed/NCBI

9 

Rong JJ, Hu R, Song XM, Ha J, Lu N, Qi Q, Tao L, You QD and Guo QL: Gambogic acid triggers DNA damage signaling that induces p53/p21Waf1/CIP1 activation through the ATR-Chk1 pathway. Cancer Lett. 296:55–64. 2010. View Article : Google Scholar : PubMed/NCBI

10 

Wang X and Chen W: Gambogic acid is a novel anti-cancer agent that inhibits cell proliferation, angiogenesis and metastasis. Anticancer Agents Med Chem. 12:994–1000. 2012. View Article : Google Scholar : PubMed/NCBI

11 

Shi X, Chen X, Li X, Lan X, Zhao C, Liu S, Huang H, Liu N, Liao S, Song W, et al: Gambogic acid induces apoptosis in imatinib-resistant chronic myeloid leukemia cells via inducing proteasome inhibition and caspase-dependent Bcr-Abl downregulation. Clin Cancer Res. 20:151–163. 2014. View Article : Google Scholar : PubMed/NCBI

12 

Zhang H, Lei Y, Yuan P, Li L, Luo C, Gao R, Tian J, Feng Z, Nice EC and Sun J: ROS-mediated autophagy induced by dysregulation of lipid metabolism plays a protective role in colorectal cancer cells treated with gambogic acid. PLoS One. 9:e964182014. View Article : Google Scholar : PubMed/NCBI

13 

Shibata MA, Iinuma M, Morimoto J, Kurose H, Akamatsu K, Okuno Y, Akao Y and Otsuki Y: α-Mangostin extracted from the pericarp of the mangosteen (Garcinia mangostana Linn) reduces tumor growth and lymph node metastasis in an immunocompetent xenograft model of metastatic mammary cancer carrying a p53 mutation. BMC Med. 9:692011. View Article : Google Scholar : PubMed/NCBI

14 

Jittiporn K, Suwanpradid J, Patel C, Rojas M, Thirawarapan S, Moongkarndi P, Suvitayavat W and Caldwell RB: Anti-angiogenic actions of the mangosteen polyphenolic xanthone derivative α-mangostin. Microvasc Res. 93:72–79. 2014. View Article : Google Scholar : PubMed/NCBI

15 

Lei J, Huo X, Duan W, Xu Q, Li R, Ma J, Li X, Han L, Li W, Sun H, et al: α-Mangostin inhibits hypoxia-driven ROS-induced PSC activation and pancreatic cancer cell invasion. Cancer Lett. 347:129–138. 2014. View Article : Google Scholar : PubMed/NCBI

16 

Li P, Tian W and Ma X: Alpha-mangostin inhibits intracellular fatty acid synthase and induces apoptosis in breast cancer cells. Mol Cancer. 13:1382014. View Article : Google Scholar : PubMed/NCBI

17 

Fu M, Qiu SX, Xu Y, Wu J, Chen Y, Yu Y and Xiao G: A new xanthone from the pericarp of Garcinia mangostana. Nat Prod Commun. 8:1733–1734. 2013.PubMed/NCBI

18 

Poon RY: DNA damage checkpoints in nasopharyngeal carcinoma. Oral Oncol. 50:339–344. 2014. View Article : Google Scholar : PubMed/NCBI

19 

Johnson SW, Ozols RF and Hamilton TC: Mechanisms of drug resistance in ovarian cancer. Cancer. 71(2 Supp1): S644–S649. 1993.

20 

Sancar A, Lindsey-Boltz LA, Unsal-Kacmaz K and Linn S: Molecular mechanisms of mammalian DNA repair and the DNA damage checkpoints. Annu Rev Biochem. 73:39–85. 2004. View Article : Google Scholar : PubMed/NCBI

21 

Fink SL and Cookson BT: Apoptosis, pyroptosis, and necrosis: Mechanistic description of dead and dying eukaryotic cells. Infect Immun. 73:1907–1916. 2005. View Article : Google Scholar : PubMed/NCBI

22 

Bromberg JF, Wrzeszczynska MH, Devgan G, Zhao Y, Pestell RG, Albanese C and Darnell JE Jr: Stat3 as an oncogene. Cell. 98:295–303. 1999. View Article : Google Scholar : PubMed/NCBI

23 

Liao Q, Zeng Z, Guo X, Li X, Wei F, Zhang W, Li X, Chen P, Liang F, Xiang B, et al: LPLUNC1 suppresses IL-6-induced nasopharyngeal carcinoma cell proliferation via inhibiting the Stat3 activation. Oncogene. 33:2098–2109. 2014. View Article : Google Scholar : PubMed/NCBI

24 

Constantinou C, Elia A and Clemens MJ: Activation of p53 stimulates proteasome-dependent truncation of eIF4E-binding protein 1 (4E-BP1). Biol Cell. 100:279–289. 2008. View Article : Google Scholar : PubMed/NCBI

25 

Chakravarthy R, Clemens MJ, Pirianov G, Perdios N, Mudan S, Cartwright JE and Elia A: Role of the eIF4E binding protein 4E-BP1 in regulation of the sensitivity of human pancreatic cancer cells to TRAIL and celastrol-induced apoptosis. Biol Cell. 105:414–429. 2013. View Article : Google Scholar : PubMed/NCBI

26 

Ma BB, Lui VW, Hui CW, Lau CP, Wong CH, Hui EP, Ng MH, Tsao SW, Li Y and Chan AT: Preclinical evaluation of the AKT inhibitor MK-2206 in nasopharyngeal carcinoma cell lines. Invest New Drugs. 31:567–575. 2013. View Article : Google Scholar : PubMed/NCBI

Related Articles

  • Abstract
  • View
  • Download
  • Twitter
Copy and paste a formatted citation
Spandidos Publications style
Xia Y, Liu X, Zou C, Feng S, Guo H, Yang Y, Lei Y, Zhang J and Lu Y: Garcinone C exerts antitumor activity by modulating the expression of ATR/Stat3/4E‑BP1 in nasopharyngeal carcinoma cells. Oncol Rep 39: 1485-1493, 2018.
APA
Xia, Y., Liu, X., Zou, C., Feng, S., Guo, H., Yang, Y. ... Lu, Y. (2018). Garcinone C exerts antitumor activity by modulating the expression of ATR/Stat3/4E‑BP1 in nasopharyngeal carcinoma cells. Oncology Reports, 39, 1485-1493. https://doi.org/10.3892/or.2018.6218
MLA
Xia, Y., Liu, X., Zou, C., Feng, S., Guo, H., Yang, Y., Lei, Y., Zhang, J., Lu, Y."Garcinone C exerts antitumor activity by modulating the expression of ATR/Stat3/4E‑BP1 in nasopharyngeal carcinoma cells". Oncology Reports 39.3 (2018): 1485-1493.
Chicago
Xia, Y., Liu, X., Zou, C., Feng, S., Guo, H., Yang, Y., Lei, Y., Zhang, J., Lu, Y."Garcinone C exerts antitumor activity by modulating the expression of ATR/Stat3/4E‑BP1 in nasopharyngeal carcinoma cells". Oncology Reports 39, no. 3 (2018): 1485-1493. https://doi.org/10.3892/or.2018.6218
Copy and paste a formatted citation
x
Spandidos Publications style
Xia Y, Liu X, Zou C, Feng S, Guo H, Yang Y, Lei Y, Zhang J and Lu Y: Garcinone C exerts antitumor activity by modulating the expression of ATR/Stat3/4E‑BP1 in nasopharyngeal carcinoma cells. Oncol Rep 39: 1485-1493, 2018.
APA
Xia, Y., Liu, X., Zou, C., Feng, S., Guo, H., Yang, Y. ... Lu, Y. (2018). Garcinone C exerts antitumor activity by modulating the expression of ATR/Stat3/4E‑BP1 in nasopharyngeal carcinoma cells. Oncology Reports, 39, 1485-1493. https://doi.org/10.3892/or.2018.6218
MLA
Xia, Y., Liu, X., Zou, C., Feng, S., Guo, H., Yang, Y., Lei, Y., Zhang, J., Lu, Y."Garcinone C exerts antitumor activity by modulating the expression of ATR/Stat3/4E‑BP1 in nasopharyngeal carcinoma cells". Oncology Reports 39.3 (2018): 1485-1493.
Chicago
Xia, Y., Liu, X., Zou, C., Feng, S., Guo, H., Yang, Y., Lei, Y., Zhang, J., Lu, Y."Garcinone C exerts antitumor activity by modulating the expression of ATR/Stat3/4E‑BP1 in nasopharyngeal carcinoma cells". Oncology Reports 39, no. 3 (2018): 1485-1493. https://doi.org/10.3892/or.2018.6218
Follow us
  • Twitter
  • LinkedIn
  • Facebook
About
  • Spandidos Publications
  • Careers
  • Cookie Policy
  • Privacy Policy
How can we help?
  • Help
  • Live Chat
  • Contact
  • Email to our Support Team