Spandidos Publications Logo
  • About
    • About Spandidos
    • Aims and Scopes
    • Abstracting and Indexing
    • Editorial Policies
    • Reprints and Permissions
    • Job Opportunities
    • Terms and Conditions
    • Contact
  • Journals
    • All Journals
    • Oncology Letters
      • Oncology Letters
      • Information for Authors
      • Editorial Policies
      • Editorial Board
      • Aims and Scope
      • Abstracting and Indexing
      • Bibliographic Information
      • Archive
    • International Journal of Oncology
      • International Journal of Oncology
      • Information for Authors
      • Editorial Policies
      • Editorial Board
      • Aims and Scope
      • Abstracting and Indexing
      • Bibliographic Information
      • Archive
    • Molecular and Clinical Oncology
      • Molecular and Clinical Oncology
      • Information for Authors
      • Editorial Policies
      • Editorial Board
      • Aims and Scope
      • Abstracting and Indexing
      • Bibliographic Information
      • Archive
    • Experimental and Therapeutic Medicine
      • Experimental and Therapeutic Medicine
      • Information for Authors
      • Editorial Policies
      • Editorial Board
      • Aims and Scope
      • Abstracting and Indexing
      • Bibliographic Information
      • Archive
    • International Journal of Molecular Medicine
      • International Journal of Molecular Medicine
      • Information for Authors
      • Editorial Policies
      • Editorial Board
      • Aims and Scope
      • Abstracting and Indexing
      • Bibliographic Information
      • Archive
    • Biomedical Reports
      • Biomedical Reports
      • Information for Authors
      • Editorial Policies
      • Editorial Board
      • Aims and Scope
      • Abstracting and Indexing
      • Bibliographic Information
      • Archive
    • Oncology Reports
      • Oncology Reports
      • Information for Authors
      • Editorial Policies
      • Editorial Board
      • Aims and Scope
      • Abstracting and Indexing
      • Bibliographic Information
      • Archive
    • Molecular Medicine Reports
      • Molecular Medicine Reports
      • Information for Authors
      • Editorial Policies
      • Editorial Board
      • Aims and Scope
      • Abstracting and Indexing
      • Bibliographic Information
      • Archive
    • World Academy of Sciences Journal
      • World Academy of Sciences Journal
      • Information for Authors
      • Editorial Policies
      • Editorial Board
      • Aims and Scope
      • Abstracting and Indexing
      • Bibliographic Information
      • Archive
    • International Journal of Functional Nutrition
      • International Journal of Functional Nutrition
      • Information for Authors
      • Editorial Policies
      • Editorial Board
      • Aims and Scope
      • Abstracting and Indexing
      • Bibliographic Information
      • Archive
    • International Journal of Epigenetics
      • International Journal of Epigenetics
      • Information for Authors
      • Editorial Policies
      • Editorial Board
      • Aims and Scope
      • Abstracting and Indexing
      • Bibliographic Information
      • Archive
    • Medicine International
      • Medicine International
      • Information for Authors
      • Editorial Policies
      • Editorial Board
      • Aims and Scope
      • Abstracting and Indexing
      • Bibliographic Information
      • Archive
  • Articles
  • Information
    • Information for Authors
    • Information for Reviewers
    • Information for Librarians
    • Information for Advertisers
    • Conferences
  • Language Editing
Spandidos Publications Logo
  • About
    • About Spandidos
    • Aims and Scopes
    • Abstracting and Indexing
    • Editorial Policies
    • Reprints and Permissions
    • Job Opportunities
    • Terms and Conditions
    • Contact
  • Journals
    • All Journals
    • Biomedical Reports
      • Information for Authors
      • Editorial Policies
      • Editorial Board
      • Aims and Scope
      • Abstracting and Indexing
      • Bibliographic Information
      • Archive
    • Experimental and Therapeutic Medicine
      • Information for Authors
      • Editorial Policies
      • Editorial Board
      • Aims and Scope
      • Abstracting and Indexing
      • Bibliographic Information
      • Archive
    • International Journal of Epigenetics
      • Information for Authors
      • Editorial Policies
      • Editorial Board
      • Aims and Scope
      • Abstracting and Indexing
      • Bibliographic Information
      • Archive
    • International Journal of Functional Nutrition
      • Information for Authors
      • Editorial Policies
      • Editorial Board
      • Aims and Scope
      • Abstracting and Indexing
      • Bibliographic Information
      • Archive
    • International Journal of Molecular Medicine
      • Information for Authors
      • Editorial Policies
      • Editorial Board
      • Aims and Scope
      • Abstracting and Indexing
      • Bibliographic Information
      • Archive
    • International Journal of Oncology
      • Information for Authors
      • Editorial Policies
      • Editorial Board
      • Aims and Scope
      • Abstracting and Indexing
      • Bibliographic Information
      • Archive
    • Medicine International
      • Information for Authors
      • Editorial Policies
      • Editorial Board
      • Aims and Scope
      • Abstracting and Indexing
      • Bibliographic Information
      • Archive
    • Molecular and Clinical Oncology
      • Information for Authors
      • Editorial Policies
      • Editorial Board
      • Aims and Scope
      • Abstracting and Indexing
      • Bibliographic Information
      • Archive
    • Molecular Medicine Reports
      • Information for Authors
      • Editorial Policies
      • Editorial Board
      • Aims and Scope
      • Abstracting and Indexing
      • Bibliographic Information
      • Archive
    • Oncology Letters
      • Information for Authors
      • Editorial Policies
      • Editorial Board
      • Aims and Scope
      • Abstracting and Indexing
      • Bibliographic Information
      • Archive
    • Oncology Reports
      • Information for Authors
      • Editorial Policies
      • Editorial Board
      • Aims and Scope
      • Abstracting and Indexing
      • Bibliographic Information
      • Archive
    • World Academy of Sciences Journal
      • Information for Authors
      • Editorial Policies
      • Editorial Board
      • Aims and Scope
      • Abstracting and Indexing
      • Bibliographic Information
      • Archive
  • Articles
  • Information
    • For Authors
    • For Reviewers
    • For Librarians
    • For Advertisers
    • Conferences
  • Language Editing
Login Register Submit
  • This site uses cookies
  • You can change your cookie settings at any time by following the instructions in our Cookie Policy. To find out more, you may read our Privacy Policy.

    I agree
Search articles by DOI, keyword, author or affiliation
Search
Advanced Search
presentation
Oncology Reports
Join Editorial Board Propose a Special Issue
Print ISSN: 1021-335X Online ISSN: 1791-2431
Journal Cover
November-2019 Volume 42 Issue 5

Full Size Image

Sign up for eToc alerts
Recommend to Library

Journals

International Journal of Molecular Medicine

International Journal of Molecular Medicine

International Journal of Molecular Medicine is an international journal devoted to molecular mechanisms of human disease.

International Journal of Oncology

International Journal of Oncology

International Journal of Oncology is an international journal devoted to oncology research and cancer treatment.

Molecular Medicine Reports

Molecular Medicine Reports

Covers molecular medicine topics such as pharmacology, pathology, genetics, neuroscience, infectious diseases, molecular cardiology, and molecular surgery.

Oncology Reports

Oncology Reports

Oncology Reports is an international journal devoted to fundamental and applied research in Oncology.

Experimental and Therapeutic Medicine

Experimental and Therapeutic Medicine

Experimental and Therapeutic Medicine is an international journal devoted to laboratory and clinical medicine.

Oncology Letters

Oncology Letters

Oncology Letters is an international journal devoted to Experimental and Clinical Oncology.

Biomedical Reports

Biomedical Reports

Explores a wide range of biological and medical fields, including pharmacology, genetics, microbiology, neuroscience, and molecular cardiology.

Molecular and Clinical Oncology

Molecular and Clinical Oncology

International journal addressing all aspects of oncology research, from tumorigenesis and oncogenes to chemotherapy and metastasis.

World Academy of Sciences Journal

World Academy of Sciences Journal

Multidisciplinary open-access journal spanning biochemistry, genetics, neuroscience, environmental health, and synthetic biology.

International Journal of Functional Nutrition

International Journal of Functional Nutrition

Open-access journal combining biochemistry, pharmacology, immunology, and genetics to advance health through functional nutrition.

International Journal of Epigenetics

International Journal of Epigenetics

Publishes open-access research on using epigenetics to advance understanding and treatment of human disease.

Medicine International

Medicine International

An International Open Access Journal Devoted to General Medicine.

Journal Cover
November-2019 Volume 42 Issue 5

Full Size Image

Sign up for eToc alerts
Recommend to Library

  • Article
  • Citations
    • Cite This Article
    • Download Citation
    • Create Citation Alert
    • Remove Citation Alert
    • Cited By
  • Similar Articles
    • Related Articles (in Spandidos Publications)
    • Similar Articles (Google Scholar)
    • Similar Articles (PubMed)
  • Download PDF
  • Download XML
  • View XML
Article Open Access

Gene expression and prognosis of insulin‑like growth factor‑binding protein family members in non‑small cell lung cancer

  • Authors:
    • Jiao Wang
    • Zhi‑Guo Hu
    • Dan Li
    • Ji‑Xion Xu
    • Zhen‑Guo Zeng
  • View Affiliations / Copyright

    Affiliations: Department of Endocrinology and Metabolism, The First Affiliated Hospital of Nanchang University, Nanchang, Jiangxi 330006, P.R. China, Department of Critical Care Medicine, Inner Mongolia People's Hospital, Hohhot, Inner Mongolia 010017, P.R. China, Department of Respiratory Medicine, The First Affiliated Hospital of Nanchang University, Nanchang, Jiangxi 330006, P.R. China, Department of Critical Care Medicine, The First Affiliated Hospital of Nanchang University, Nanchang, Jiangxi 330006, P.R. China
    Copyright: © Wang et al. This is an open access article distributed under the terms of Creative Commons Attribution License [CC BY_NC 4.0].
  • Pages: 1981-1995
    |
    Published online on: September 16, 2019
       https://doi.org/10.3892/or.2019.7314
  • Expand metrics +
Metrics: Total Views: 0 (Spandidos Publications: | PMC Statistics: )
Metrics: Total PDF Downloads: 0 (Spandidos Publications: | PMC Statistics: )
Cited By (CrossRef): 0 citations Loading Articles...

This article is mentioned in:



Abstract

Lung cancer is the leading cause of cancer mortality worldwide. Approximately 85% of all lung cancer cases are classified as non‑small cell lung cancer (NSCLC). Currently, there is no standard method to predict the survival of patients with NSCLC. Insulin‑like growth factor‑binding proteins (IGFBPs) function as modulators of IGF signaling and are attracting increasing attention for their role in NSCLC. However, the prognostic values of individual IGFBPs in NSCLC, particularly at the mRNA level, remain unknown. In the present study, the distinct expression patterns and prognostic values of IGFBP family members in patients with NSCLC through bioinformatics analysis were reported using a series of databases, including Gene Expression Profiling Interactive Analysis, Kaplan‑Meier Plotter, cBioPortal, GeneMANIA, and the Database for Annotation, Visualization and Integrated Discovery. In patients with NSCLC, IGFBP2 and IGFBP3 were significantly upregulated, while IGFBP6 was downregulated. High IGFBP1/2/4 expression was correlated with poor overall survival (OS) in all NSCLC types, especially adenocarcinoma; however, high IGFBP2/5 expression was significantly correlated with favorable OS only in patients with squamous cell carcinoma. In addition, aberrant IGFBP1/2/3/4/5 mRNA levels were associated with the prognosis of subsets of NSCLC with different clinicopathological features. These results indicated that various IGFBPs can serve as useful prognostic biomarkers and as potential targets for NSCLC therapies.

Introduction

Lung cancer is the most common cancer, and the fifth most common cause of death worldwide, primarily because of high invasion, metastasis, and drug resistance (1,2). Approximately 85% of all lung cancer cases are classified as non-small cell lung cancer (NSCLC), including adenocarcinoma (Ade) and squamous cell carcinoma (SCC) subtypes (3). Although multidisciplinary therapies are widely used to treat NSCLC, its overall prognosis remains very poor. In addition, currently there is no standard method to predict the survival of patients with NSCLC (4). Hence, there is an urgent need for novel and effective prognostic biomarkers for NSCLC.

Insulin-like growth factors (IGFs) are peptide ligands that regulate cellular proliferation, differentiation, apoptosis, and carcinogenesis (5,6). IGF binding proteins (IGFBPs) are circulating proteins that modulate IGF signaling by sequestering the circulating IGFs, thereby regulating the mitogenic activity of the IGF receptors (7). The conventional IGFBP family has six members (IGFBP1-6), which bind IGFs with high affinity (8). However, the concept of IGFBPs has recently been redefined to include proteins that increase the half-life of IGFs. Now, at least 10 members of the IGFBP superfamily have been identified, including proteins that bind IGFs with low affinity (9). Recently, conventional IGFBPs have attracted increased attention due to their roles in NSCLC. Previous studies have demonstrated abnormal expression of IGFBPs in NSCLC, and assessed the diagnostic roles of circulating IGFBP concentrations in the disease (10–17). However, the prognostic roles of individual IGFBPs in NSCLC, particularly at the mRNA level, remain unknown.

The development of microarray and RNA-sequencing technology has revolutionized RNA and DNA research, providing a wealth of data for bioinformatic analysis. In the present study, data mining analysis was performed from patients with NSCLC using various tools, with the purpose of exploring the differential expression, potential functions, and distinct prognostic values of IGFBP family members in NSCLC.

Materials and methods

Gene expression profiling analysis

Gene Expression Profiling Interactive Analysis (GEPIA; http://gepia.cancer-pku.cn) is a newly developed interactive web server for the analysis of RNA sequencing data derived from 9,736 tumors and 8,587 healthy samples from The Cancer Genome Atlas (TCGA) and Genotype-Tissue Expression datasets. GEPIA provides customizable functions including differential expression analysis, profile plotting, correlation analysis, patient survival analysis, detection of similar genes, and dimensionality reduction analysis (18). The expression of IGFBPS between tumor and normal tissues was analyzed using Student's t-test, and expression of IGFBPs in different tumor stages of NSCLC was analyzed using F-test. P<0.01 and fold change (FC)>2 were considered significant. In addition, IGFBP protein levels were analyzed using the Human Protein Atlas database (HPA) (https://www.proteinatlas.org/) to confirm whether the expression at the mRNA and protein levels matched (19).

Prognostic analysis

The prognostic value of the mRNA expression of IGFBP family members was evaluated using an online tool, Kaplan-Meier Plotter (www.kmplot.com) and GEPIA (http://gepia.cancer-pku.cn). To analyze the overall survival (OS) of patients with NSCLC, patient samples were divided into two groups (low and high expression) based on median mRNA levels with a hazard ratio (HR) with 95% confidence intervals (CI) and log-rank P-values (20). Log-rank P-values <0.05 were considered statistically significant. Univariate cox analysis was conducted with adjustments to smoking status, clinical stages, chemotherapy, and sex of NSCLC.

Analysis of gene alteration frequency

Known alterations in IGFBP genes in patients with NSCLC were obtained from the cBioPortal for Cancer Genomics (http://www.cbioportal.org) (21). Genomic profiles, including mutations, putative copy-number alterations, and mRNA expression levels, were selected by querying individual IGFBP family members.

Functional enrichment and bioinformatics analysis

GeneMANIA (http://www.genemania.org), a prediction server that acts as a biological network integrator for gene prioritization and function prediction (22), was used for correlation analysis of IGFBP family members at the gene level. Enrichment analysis for gene ontology (GO) terms and Kyoto Encyclopedia of Genes and Genomes (KEGG) pathways (23,24) was performed in the Database for Annotation, Visualization and Integrated Discovery (DAVID; version 6.7, http://david.ncifcrf.gov/tools.jsp).

Results

IGFBP mRNA levels in patients with NSCLC

The relative mRNA expression of IGFBP genes in Ade and SCC were examined, and compared to healthy tissue using GEPIA analysis. Compared to healthy lung tissues, IGFBP2 mRNA expression was significantly higher in SCC tissues, IGFBP3 mRNA expression was significantly higher in both Ade and SCC tissues, and IGFBP6 mRNA expression was significantly lower in both NSCLC subtypes. Differences in expression between lung cancer and healthy tissues were not observed for other IGFBPs (Fig. 1A). IGFBP expression was also investigated in different stages of NSCLC. Only IGFBP1 expression changed significantly across various tumor stages, whereas, the rest of the expression levels of IGFBPs in various tumor stages were not differential (Fig. 1B). Additionally, the mRNA expression levels of IGFBP1, IGFBP4, and IGFBP6 matched their reported protein expression levels. However, representative images of the IGFBP2, IGFBP3, and IGFBP5 protein levels were not available in the HPA database (Fig. 2).

Figure 1.

(A) The expression of IGFBPs in NSCLC patients. (B) The expression of IGFBPs in different stages of NSCLC. The threshold was based on the following parameters: P-value =0.01, fold-change =2, and data type: mRNA. IGFBPs, insulin-like growth factor-binding proteins; NSCLC, non-small cell lung cancer.

Figure 2.

Validation of IGFBPs at the protein level using the Human Protein Atlas database (IGFBP2, IGFBP3, and IGFBP5 were not available). IGFBP, insulin-like growth factor-binding protein.

Prognostic value of IGFBP mRNA levels in NSCLC

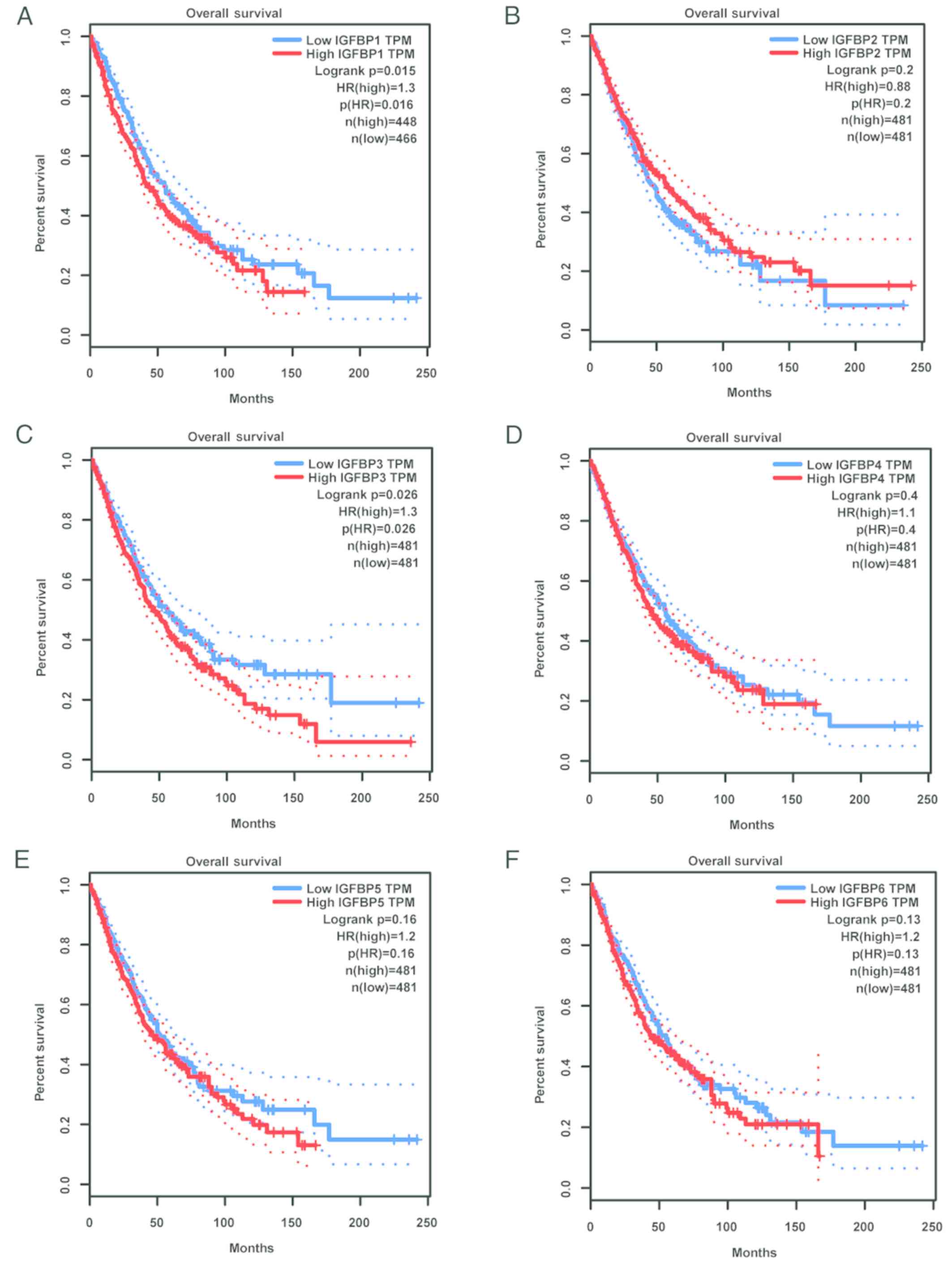
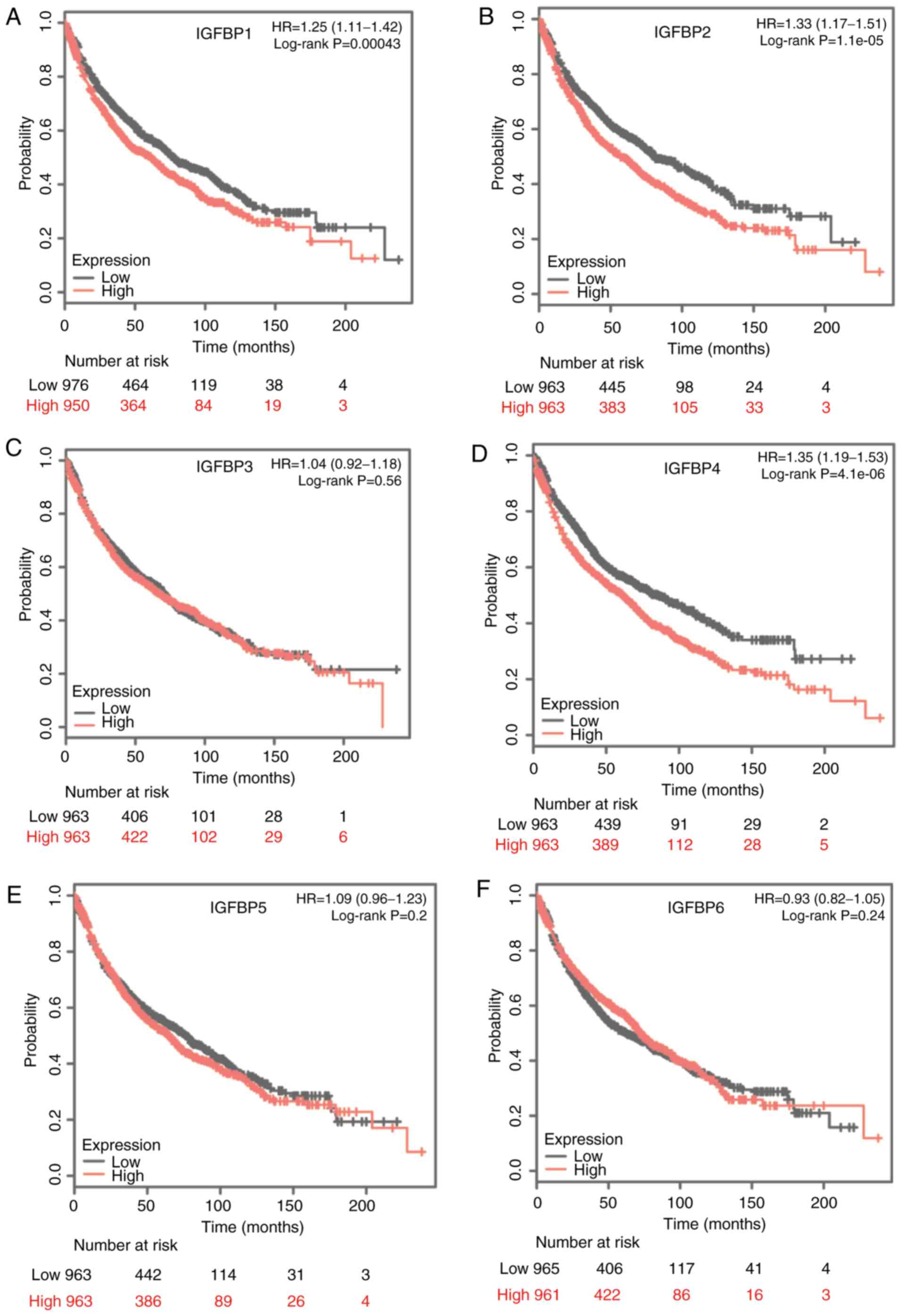
Next, the prognostic significance of IGFBP levels were assessed, both in the total NSCLC cohort and in the Ade and SCC subtypes, using Kaplan-Meier analysis. For the complete cohort, increase in IGFBP1, IGFBP2, and IGFBP4 mRNA was strongly associated with unfavorable OS, while IGFBP3, IGFBP5, and IGFBP6 mRNA levels were not significantly correlated with the OS (Fig. 3). Increased IGFBP1, IGFBP2, and IGFBP4 mRNA levels were correlated with unfavorable OS in patients with Ade, while IGFBP3, IGFBP5 and IGFBP6 mRNA levels were not associated with the OS (Fig. 4). Additionally, increased IGFBP2 and IGFBP5 mRNA levels were correlated with favorable OS in SCC patients, while the mRNA levels of other IGFBPs were not significantly correlated with the OS (Fig. 5). Notably, these results indicated that IGFBP2 plays different prognostic roles in Ade and SCC. The prognostic values of IGFBP family members were validated using the NSCLC data available in GEPIA. As revealed in Fig. 6, increased IGFBP1 and IGFBP3 mRNA was correlated with unfavorable OS in NSCLC patients, while other IGFBPs were not significantly correlated with the OS.

Figure 3.

Correlation between IGFBP mRNA expression and OS in patients with NSCLC. OS curves of (A) IGFBP1 (Affymetrix IDs:205302_at), (B) IGFBP2 (Affymetrix IDs:202718_at), (C) IGFBP3 (Affymetrix IDs:210095_s_at), (D) IGFBP4 (Affymetrix IDs:201508_at), (E) IGFBP5 (Affymetrix IDs:211959_at), and (F) IGFBP6 (Affymetrix IDs:203851_at). OS survival curves comparing patients with high (red) and low (black) IGFBP expression were plotted, with a threshold P-value of <0.05. IGFBP, insulin-like growth factor-binding protein; OS, overall survival; NSCLC, non-small cell lung cancer.

Figure 4.

Correlation between IGFBP mRNA expression and OS in patients with Ade. OS curves of (A) IGFBP1 (Affymetrix IDs:205302_at), (B) IGFBP2 (Affymetrix IDs:202718_at), (C) IGFBP3 (Affymetrix IDs:210095_s_at), (D) IGFBP4 (Affymetrix IDs:201508_at), (E) IGFBP5 (Affymetrix IDs:211959_at), and (F) IGFBP6 (Affymetrix IDs:203851_at). OS survival curves comparing patients with high (red) and low (black) IGFBP expression were plotted, with a threshold P-value of <0.05. IGFBP, insulin-like growth factor-binding protein; OS, overall survival; Ade, adenocarcinoma.

Figure 5.

Correlation between IGFBP mRNA expression and OS in patients with SCC. OS curves of (A) IGFBP1 (Affymetrix IDs:205302_at), (B) IGFBP2 (Affymetrix IDs:202718_at), (C) IGFBP3 (Affymetrix IDs:210095_s_at), (D) IGFBP4 (Affymetrix IDs:201508_at), (E) IGFBP5 (Affymetrix IDs:211959_at), and (F) IGFBP6 (Affymetrix IDs:203851_at). OS survival curves comparing patients with high (red) and low (black) IGFBP expression were plotted, with a threshold P-value of <0.05. IGFBP, insulin-like growth factor-binding protein; OS, overall survival; SCC, squamous cell carcinoma.

Figure 6.

Validation of IGFBP prognostic values by GEPIA. OS curves for (A) IGFBP1, (B) IGFBP2, (C) IGFBP3, (D) IGFBP4, (E) IGFBP5, and (F) IGFBP6 in all cases of NSCLC. Survival curves marked as complete lines, and 95% confidence interval of survival curves marked as dotted lines. Red represents high expression and blue represents low expression. IGFBP, insulin-like growth factor-binding protein; GEPIA, Gene Expression Profiling Interactive Analysis; OS, overall survival; NSCLC, non-small cell lung cancer.

Prognostic values of IGFBP levels in NSCLC subsets with different clinicopathological features

To assess for correlations between IGFBP expression and other clinicopathological features, the smoking status (Table I), clinical stages (Table II), chemotherapy treatments (Table III), and sex (Table IV) of patients with NSCLC were examined. High IGFBP2, IGFBP3, and IGFBP4 mRNA levels were associated with unfavorable OS in patients who had never smoked, while high IGFBP1 and IGFBP4 mRNA levels were associated with unfavorable OS in patients with a history of smoking (Table I). These results indicated that the prognostic role of IGFBP4 in NSCLC is independent of the smoking status.

Table I.

Correlation between IGFBP mRNA level and OS in NSCLC patients with smoking status.

Table I.

Correlation between IGFBP mRNA level and OS in NSCLC patients with smoking status.

IGFBP familySmoking statusCasesHR95% CIP-value
IGFBP1Never smoked2051.620.91–2.880.097
smoked8201.381.12–1.70.0025
IGFBP2Never smoked2052.751.5–5.030.00066
smoked8201.090.89–1.340.41
IGFBP3Never smoked2051.760.99–3.120.049
smoked8200.980.8–1.210.87
IGFBP4Never smoked2052.71.47–4.950.00083
smoked8201.461.18–1.80.00043
IGFBP5Never smoked2051.640.92–2.90.087
smoked8200.970.79–1.190.76
IGFBP6Never smoked2051.480.84–2.60.18
smoked8201.010.82–1.240.91

[i] Significant results are marked in bold. IGFBP, insulin-like growth factor-binding protein; OS, overall survival; NSCLC, non-small cell lung cancer; HR, hazard ratio; CI, confidence intervals.

Table II.

Correlation between IGFBP mRNA level and OS in NSCLC patients with clinical stages.

Table II.

Correlation between IGFBP mRNA level and OS in NSCLC patients with clinical stages.

IGFBP familyClinical stagesCasesHR95% CIP-value
IGFBP1I5771.651.26–2.170.00027
II1440.980.68–1.410.91
III701.030.6–1.770.92
IGFBP2I5771.941.47–2.572.3e-06
II1441.451-2.090.047
III701.120.65–1.940.68
IGFBP3I5771.060.81–1.390.68
II14410.69–1.441
III701.20.69–2.080.53
IGFBP4I5771.871.42–2.476.9e-06
II1442.131.47–3.094.7e-05
III700.970.56–1.690.92
IGFBP5I5771.230.94–1.620.13
II1440.940.65–1.350.72
III700.970.56–1.660.9
IGFBP6I5771.010.77–1.320.96
II1441.010.7–1.460.95
III700.810.47–1.40.45

[i] Significant results are marked in bold. IGFBP, insulin-like growth factor-binding protein; OS, overall survival; NSCLC, non-small cell lung cancer; HR, hazard ratio; CI, confidence intervals.

Table III.

Correlation between IGFBP mRNA level and OS in NSCLC patients with chemotherapy status.

Table III.

Correlation between IGFBP mRNA level and OS in NSCLC patients with chemotherapy status.

IGFBP familyChemotherapyCasesHR95% CIP-value
IGFBP1No3101.380.99–1.930.06
Yes1760.810.53–1.220.31
IGFBP2No3101.030.74–1.430.88
Yes1761.240.82–1.860.3
IGFBP3No3101.390.99–1.940.055
Yes1761.280.85–1.930.23
IGFBP4No3101.180.85–1.650.33
Yes1761.160.77–1.750.48
IGFBP5No3101.421.01–1.980.04
Yes1760.860.57–1.30.48
IGFBP6No3101.050.75–1.460.78
Yes1761.240.82–1.850.3

[i] Significant results are marked in bold. IGFBP, insulin-like growth factor-binding protein; OS, overall survival; NSCLC, non-small cell lung cancer; HR, hazard ratio; CI, confidence intervals.

Table IV.

Correlation between IGFBP mRNA level and OS in NSCLC patients with different sex.

Table IV.

Correlation between IGFBP mRNA level and OS in NSCLC patients with different sex.

IGFBP familySexCasesHR95% CIP-value
IGFBP1Female7151.371.08–1.730.0085
Male1,1001.160.99–1.360.066
IGFBP2Female7151.10.88–1.390.4019
Male1,1001.31.11–1.520.0012
IGFBP3Female7151.040.82–1.310.77
Male1,1001.050.89–1.220.58
IGFBP4Female7151.321.05–1.670.019
Male1,1001.311.12–1.540.00067
IGFBP5Female7151.040.83–1.310.72
Male1,1001.020.87–1.20.79
IGFBP6Female7151.010.8–1.280.91
Male1,1000.870.75–1.020.095

[i] Significant results are marked in bold. IGFBP, insulin-like growth factor-binding protein; OS, overall survival; NSCLC, non-small cell lung cancer; HR, hazard ratio; CI, confidence intervals.

High IGFBP1, IGFBP2, and IGFBP4 mRNA levels were significantly correlated with unfavorable OS in patients with stage I NSCLC (Table II), and high IGFBP2 and IGFBP4 mRNA levels were associated with unfavorable OS in stage II NSCLC. These results indicated that IGFBP1, IGFBP2, and IGFBP4 have prognostic roles in early-stage NSCLC. Increased IGFBP5 mRNA was significantly associated with unfavorable OS in patients who did not receive chemotherapy (Table III). Moreover, increased levels of IGFBP1 mRNA were significantly associated with unfavorable OS in female patients, and increased IGFBP2 mRNA levels were significantly associated with unfavorable OS in male patients. Increased IGFBP4 mRNA levels were significantly associated with unfavorable OS in both female and male patients (Table IV).

IGFBP alterations in NSCLC

The genetic alterations present in IGFBPs were analyzed in NSCLC using cBioPortal. Thirteen NSCLC datasets were analyzed. Among the datasets analyzed, the frequency of gene alterations, including mutations, fusions, amplifications, deep deletions, and multiple alterations ranged from 4.49% (8/178) to 10.87% (25/230), with mutations, amplifications, and deep deletions being the most commonly observed alterations (Fig. 7A). The percentages of genetic alterations in specific IGFBPs in NSCLC ranged from 0.6–2.3% (IGFBP1, 2.2; IGFBP2, 0.8%; IGFBP3, 2.3%; IGFBP4, 1.2; IGFBP5, 0.8%; IGFBP6, 0.6%; Fig. 7B), and were predominantly amplifications, deep deletions, and mutations; these were consistent with the results in Fig. 7A. The prognostic roles of IGFBPs in patients with NSCLC with or without alterations was analyzed, and no significant correlation between the presence of alterations and OS and disease-free survival (DFS) was observed (P=0.115 and P=0.700, respectively; Fig. 7C and D).

Figure 7.

IGFBP alteration frequencies in NSCLC and IGFBP functional network. (A) Summary of IFGBP alterations. (B) OncoPrint visual summary of IGFBP alterations. (C) Kaplan-Meier plots comparing OS in cases with and without IGFBP gene alterations. (D) Kaplan-Meier plots comparing DFS in cases with and without IGFBP alterations. (E) Gene-gene interactions involving IGFBP family members. IGFBP, insulin-like growth factor-binding protein; NSCLC, non-small cell lung cancer; OS, overall survival; DFS, disease-free survival.

Next, GeneMANIA was used to construct a network of IGFBPs and their functionally related genes. The database identified 20 genes that were closely associated with IGFBPs. Additionally, all IGFBPs had a protein binding domain, and IGFBP3 and IGFBP4 were co-expressed, and colocalized within the cell (Fig. 7E).

Enrichment analysis of IGFBPs in NSCLC

IGFBP functions were analyzed in DAVID, and 14 GO terms were enriched (Table V). IGFBPs were enriched in the following biological processes (BP): Type B pancreatic cell proliferation, positive regulation of insulin-like growth factor receptor signaling pathway, regulation of glucose metabolic process, regulation of insulin-like growth factor receptor signaling pathway, regulation of cell growth, and negative regulation of smooth muscle cell migration. Molecular functions (MF) associated with IGFBPs were fibronectin binding, insulin-like growth factor II binding, and insulin-like growth factor I binding; cellular components (CC) associated with IGFBPs were the insulin-like growth factor ternary complex and the extracellular space. No KEGG pathways were enriched for IGFBPs.

Table V.

The GO function enrichment analysis of IGFBPs in NSCLC.

Table V.

The GO function enrichment analysis of IGFBPs in NSCLC.

CategoryTermDescriptionCountP-value
GOTERM_BP_DIRECTGO:0044342Type B pancreatic cell proliferation31.98E-06
GOTERM_BP_DIRECTGO:0043568Positive regulation of insulin-like growth factor receptor signaling pathway34.74E-06
GOTERM_BP_DIRECTGO:0010906Regulation of glucose metabolic process31.58E-05
GOTERM_BP_DIRECTGO:0043567Regulation of insulin-like growth factor receptor signaling pathway62.37E-17
GOTERM_BP_DIRECTGO:0001558Regulation of cell growth64.16E-14
GOTERM_BP_DIRECTGO:0014912Negative regulation of smooth muscle cell migration20.002837913
GOTERM_BP_DIRECTGO:0014912Negative regulation of smooth muscle cell migration20.002837913
GOTERM_MF_DIRECTGO:0001968Fibronectin binding20.002150352
GOTERM_MF_DIRECTGO:0031995Insulin-like growth factor II binding63.40E-18
GOTERM_MF_DIRECTGO:0031994Insulin-like growth factor I binding63.40E-18
GOTERM_CC_DIRECTGO:0042567Insulin-like growth factor ternary complex20.001436265
GOTERM_CC_DIRECTGO:0005615Extracellular space66.76E-07

[i] GO, gene ontology; IGFBP, insulin-like growth factor-binding protein; NSCLC, non-small cell lung cancer; BP, biological processes; MF, molecular functions; CC, cellular components.

Discussion

IGFBPs modulate cellular functions by both IGF-dependent and -independent mechanisms

IGF proteins regulate cellular proliferation, differentiation, apoptosis, and carcinogenesis, and IGFBPs modulate their signaling through IGF sequestration. The IGF-independent functions of IGFBPs depend on their interactions with many signaling pathways, which include both stimulatory and inhibitory cell-surface receptors such as the epidermal growth factor and transforming growth factor (TGF)-β receptors. In addition, IGFBPs regulate enzymes involved in sphingolipid metabolism. In this manner, IGFBPs can affect the balance between growth-inhibitory lipids, such as ceramides, and growth-stimulatory lipids, such as sphingosine-1-phosphate (25). In the present study, a bioinformatics approach was used to examine the effects of these genes on NSCLC.

IGFBP1 mainly functions in the intracellular and pericellular compartments to regulate cell growth and survival (25). It interacts with several proteins in addition to IGF ligands and plays an important role in the development and progression of several cancer types (25–28). An animal study revealed that IGFBP1 may function as a cell survival factor by suppressing TGFβ1 activation (29). Sharma et al reported that elevated IGFBP1 levels were associated with unfavorable OS in prostate cancer (30). Recently, however, Cao et al observed that low levels of IGFBP1 increased the risk of cancer (31). However, in the present study, differential IGFBP1 expression was not observed between tumor and healthy tissues, but differential expression was observed in different tumor stages. High IGFBP1 mRNA was correlated with unfavorable OS in the total NSCLC cohort, who were followed for a 20-year period. High levels of IGFBP1 mRNA were also correlated with unfavorable OS in Ade but not in SCC.

IGFBP2, a critical mediator of crosstalk between several signaling pathways, is overexpressed in various cancer types, including breast, ovarian, gastric, and colorectal cancer, glioma, prostate cancer, leukemia, melanoma, rhabdomyosarcoma, as well as lung cancer (32). High IGFBP2 expression was revealed to be associated with poor prognosis in lung cancer (11,33). IGFBP2 has tumorigenic functions, and may act by regulating the phosphatase and tensin homolog (PTEN)-phosphatidylinositol 3-kinase (PI3K)/Akt signaling pathway (33). However, conflicting results have also been reported. An in vitro study revealed that IGFBP2 suppressed the growth of various types of lung cancer tumors (34,35). In this study, IGFBP2 expression was significantly upregulated in SCC tissues compared with normal tissues. Consistent with previous research, the present study revealed that high IGFBP2 mRNA expression was significantly associated with unfavorable OS in the total NSCLC cohort and patients with Ade specifically. However, high IGFBP2 mRNA levels were significantly correlated with favorable OS in patients with SCC. Thus, there is conflicting evidence as to whether IGFBP2 is oncogenic or tumor suppressive and its exact mechanism of action will require further investigation.

IGFBP3 was revealed to inhibit the mitogenic and antiapoptotic functions of IGF1 (36). To date, many epidemiological studies have demonstrated that low IGFBP3 expression increases the incidence of cancer. In addition, IGFBP3 overexpression was revealed to inhibit NSCLC cell growth and tumorigenicity in vivo and in vitro (37–39). IGFBP3 inhibited angiogenesis in lung tumors by blocking the autocrine and paracrine loops of angiogenic factors (40); targeting of IGFBP3 by miRNA-125b was associated with tumor invasion and poor patient outcomes in NSCLC (41). Consistently, high plasma levels of IGFBP3 were revealed to be correlated with good prognosis in patients with advanced NSCLC (42). These results indicated that circulating IGFBP3 levels may be a good prognostic marker in patients with NSCLC. In the present study, it was revealed that IGFBP3 mRNA expression was significantly higher in tumor tissues than in normal tissues, and it was significantly associated with unfavorable OS in patients with NSCLC. This could be attributed to differing regulation at the mRNA and protein level, thus further research would be helpful to explore the exact role of IGFBP3 in NSCLC.

Studies on IGFBP4 in NSCLC are limited. However, in epithelial ovarian tumors, IGFBP4 mRNA was highly expressed, but was not associated with OS in patients with cancer (43). It was also observed that high IGFBP4 mRNA expression was significantly associated with unfavorable OS for all patients with NSCLC and patients with Ade but not SCC. However, differential IGFBP4 expression was not observed in tumor and healthy tissues.

As with IGFBP4, studies on IGFBP5 in NSCLC are limited. In breast cancer, IGFBP5 overexpression inhibited tumor growth (44). However, the opposite occured in other cancer types; IGFBP5 increased IGF-dependent and -independent survival and proliferation in neuroblastoma and pancreatic cancer (45,46). In the present study, differential IGFBP5 expression was not observed between tumor and healthy tissues, but high IGFBP5 levels were significantly correlated with favorable OS in patients with SCC. The differential effects of IGFBP5 may be attributed to the different microenvironments of specific tumors.

IGFBP6 appears to have an inhibitory effect on lung cancer. Consistent with a previous study, IGFBP6 expression was lower in cancerous lungs than in normal lungs (47). A study by Sueoka et al indicated that IGFBP6 is a potent inducer of programmed cell death in NSCLC cells (48). Koyama et al indicated that IGFBP6 mechanistically acted as an effector of the tumor suppressor semaphorin 3B in lung cancer (49), and IGFBP6 was regulated by the important tumor suppressor tumor protein p53 (50), and the molecular functions of IGFBPs in other tumors were partially related to p53 (51–53). However, in the present study, high IGFBP6 mRNA was not significantly associated with OS in patients with NSCLC, Ade, or SCC, presumably due to the TP53 status.

GEPIA was used to validate the prognostic value of IGFBP mRNA expression in NSCLC. However, the results were not completely consistent with the data from Kaplan-Meier analysis. This may be due to the smaller sample size in GEPIA. Thus, well designed studies with larger sample sizes should be performed in the future.

The correlation between IGFBP mRNA levels and other clinicopathological features was also evaluated. It was revealed that IGFBP1, IGFBP2, IGFBP3, and IGFBP4 were significantly associated with the smoking status of patients with NSCLC. Nicotine, which promotes NSCLC growth and metastasis, is responsible for 80% of all lung cancer cases (54). Further studies will be required to investigate whether nicotine is directly related to aberrant IGFBP expression in NSCLC patients. Moreover, it was also revealed that high IGFBP1 and IGFBP4 mRNA levels were significantly correlated with unfavorable OS in patients with stage I NSCLC. High IGFBP2 and IGFBP4 mRNA expression levels were also associated with unfavorable OS in stage II patients. Additionally, IGFBP5 was significantly associated with unfavorable OS in patients who did not receive chemotherapy.

As potential tumor suppressors and/or oncogenes, IGFBP mutations may be associated with carcinogenesis and cancer progression. Relatively consistent low levels of alterations were revealed in each IGFBP in NSCLC, but these alterations had no effect on OS or DFS, suggesting that these changes may not directly impact NSCLC prognosis. To further investigate the potential molecular mechanisms of IGFBPs in NSCLC, network analysis for each IGFBP was performed. The genes were mainly enriched in growth-related signaling pathways, highlighting their potential as targets for anti-NSCLC therapeutics.

In summary, the results indicated that high IGFBP1, IGFBP2, and IGFBP4 mRNA levels are associated with unfavorable OS in all patients with NSCLC, and especially those with Ade. Additionally, high IGFBP2 and IGFBP5 mRNA expression was significantly correlated with favorable OS in patients with SCC. Different IGFBPs were correlated with the smoking status, clinical stage, and chemotherapeutic regimen. These results highlight the heterogeneity and complexity of NSCLC signaling, and suggest that IGFBP-based tools for accurate prognosis prediction and targeted treatment strategies would be beneficial for patients with NSCLC. Further research is required to explore IGFBP gene expression at protein levels in different stages of lung cancer including lung adenocarcinoma and lung squamous cell carcinoma, and to pursue the exact molecular mechanisms of IGFBPs in NSCLC.

Acknowledgements

Not applicable.

Funding

The present study was supported by grants from the National Natural Science Funds of China (nos. 81760351 and 81460015).

Availability of data and materials

The GEPIA database (http://gepia.cancer-pku.cn) was used to perform gene expression profiling analysis and prognostic analysis. The Kaplan-Meier Plotter (www.kmplot.com) was used to perform prognostic analysis. The cBioPortal for Cancer Genomics (http://www.cbioportal.org) was used to perform analysis of gene alteration frequency. GeneMANIA (http://www.genemania.org) was used for correlation analysis. The DAVID database (http://david.ncifcrf.gov/) was used to perform functional annotation and pathway enrichment analysis.

Authors' contributions

JW wrote the manuscript, carried out the research methodology and acquired the data. DL and ZGH performed the data analysis. JXX provided the technical support. ZGZ conceived and designed the study. All authors read and approved the manuscript and agree to be accountable for all aspects of the research in ensuring that the accuracy or integrity of any part of the work are appropriately investigated and resolved.

Ethics approval and consent to participate

Not applicable.

Patient consent for publication

Not applicable.

Competing interests

The authors declare that they have no competing interests.

References

1 

Jemal A, Bray F, Center MM, Ferlay J, Ward E and Forman D: Global cancer statistics. CA Cancer J Clin. 61:69–90. 2011. View Article : Google Scholar : PubMed/NCBI

2 

Torre LA, Bray F, Siegel RL, Ferlay J, Lortet-Tieulent J and Jemal A: Global cancer statistics, 2012. CA Cancer J Clin. 65:87–108. 2015. View Article : Google Scholar : PubMed/NCBI

3 

van Meerbeeck JP, Fennell DA and De Ruysscher DK: Small-cell lung cancer. Lancet. 378:1741–1755. 2011. View Article : Google Scholar : PubMed/NCBI

4 

Liu W, Ha M and Yin N: Combination of platelet count and lymphocyte to monocyte ratio is a prognostic factor in patients undergoing surgery for non-small cell lung cancer. Oncotarget. 8:73198–73207. 2017.PubMed/NCBI

5 

Jones JI and Clemmons DR: Insulin-like growth factors and their binding proteins: Biological actions. Endocr Rev. 16:3–34. 1995. View Article : Google Scholar : PubMed/NCBI

6 

Le Roith D: Seminars in medicine of the Beth Israel deaconess medical center. Insulin-like growth factors. N Engl J Med. 336:633–640. 1997. View Article : Google Scholar : PubMed/NCBI

7 

LeRoith D: Insulin-like growth factor receptors and binding proteins. Baillieres Clin Endocrinol Metab. 10:49–73. 1996. View Article : Google Scholar : PubMed/NCBI

8 

Clemmons DR: Insulin-like growth factor binding proteins and their role in controlling IGF actions. Cytokine Growth Factor Rev. 8:45–62. 1997. View Article : Google Scholar : PubMed/NCBI

9 

Hu Q, Zhou Y, Ying K and Ruan W: IGFBP, a novel target of lung cancer? Clin Chim Acta. 466:172–177. 2017. View Article : Google Scholar : PubMed/NCBI

10 

He Y, Zhou Z, Hofstetter WL, Zhou Y, Hu W, Guo C, Wang L, Guo W, Pataer A, Correa AM, et al: Aberrant expression of proteins involved in signal transduction and DNA repair pathways in lung cancer and their association with clinical parameters. PLoS One. 7:e310872012. View Article : Google Scholar : PubMed/NCBI

11 

Guo C, Lu H, Gao W, Wang L, Lu K, Wu S, Pataer A, Huang M, El-Zein R, Lin T, et al: Insulin-like growth factor binding protein-2 level is increased in blood of lung cancer patients and associated with poor survival. PLoS One. 8:e749732013. View Article : Google Scholar : PubMed/NCBI

12 

Lee DY, Kim SJ and Lee YC: Serum insulin-like growth factor (IGF)-I and IGF-binding proteins in lung cancer patients. J Korean Med Sci. 14:401–404. 1999. View Article : Google Scholar : PubMed/NCBI

13 

Wang Z, Wang Z, Liang Z, Liu J, Shi W, Bai P, Lin X, Magaye R and Zhao J: Expression and clinical significance of IGF-1, IGFBP-3, and IGFBP-7 in serum and lung cancer tissues from patients with non-small cell lung cancer. Onco Targets Ther. 6:1437–1444. 2013.PubMed/NCBI

14 

Zhang Y, Ying X, Han S, Wang J, Zhou X, Bai E, Zhang J and Zhu Q: Autoantibodies against insulin-like growth factor-binding protein-2 as a serological biomarker in the diagnosis of lung cancer. Int J Oncol. 42:93–100. 2013. View Article : Google Scholar : PubMed/NCBI

15 

Chang YS, Kong G, Sun S, Liu D, El-Naggar AK, Khuri FR, Hong WK and Lee HY: Clinical significance of insulin-like growth factor-binding protein-3 expression in stage I non-small cell lung cancer. Clin Cancer Res. 8:3796–3802. 2002.PubMed/NCBI

16 

Kubasiak JC, Seder CW, Pithadia R, Basu S, Fhied C, Phillips WW, Daly S, Shersher DD, Yoder MA, Chmielewski G, et al: Value of circulating insulin-like growth factor-associated proteins for the detection of stage I non-small cell lung cancer. J Thorac Cardiovasc Surg. 149:727–734.e1-3. 2015. View Article : Google Scholar : PubMed/NCBI

17 

Cao H, Wang G, Meng L, Shen H, Feng Z, Liu Q and Du J: Association between circulating levels of IGF-1 and IGFBP-3 and lung cancer risk: A meta-analysis. PLoS One. 7:e498842012. View Article : Google Scholar : PubMed/NCBI

18 

Tang Z, Li C, Kang B, Gao G, Li C and Zhang Z: GEPIA: A web server for cancer and normal gene expression profling and interactive analyses. Nucleic Acids Res. 45((W1)): W98–W102. 2017. View Article : Google Scholar : PubMed/NCBI

19 

Uhlén M, Fagerberg L, Hallström BM, Lindskog C, Oksvold P, Mardinoglu A, Sivertsson Å, Kampf C, Sjöstedt E, Asplund A, et al: Proteomics. Tissue-based map of the human proteome. Science. 347:12604192015. View Article : Google Scholar : PubMed/NCBI

20 

Gyorffy B, Lánczky A and Szállási Z: Implementing an online tool for genome-wide validation of survival-associated biomarkers in ovariancancer using microarray data from 1287 patients. Endocr Relat Cancer. 19:197–208. 2012. View Article : Google Scholar : PubMed/NCBI

21 

Cerami E, Gao J, Dogrusoz U, Gross BE, Sumer SO, Aksoy BA, Jacobsen A, Byrne CJ, Heuer ML, Larsson E, et al: The cBio cancer genomics portal: An open platform for exploring multidimensional cancer genomics data. Cancer Discov. 2:401–404. 2012. View Article : Google Scholar : PubMed/NCBI

22 

Montojo J, Zuberi K, Rodriguez H, Bader GD and Morris Q: GeneMANIA: Fast gene network construction and function prediction for Cytoscape. F1000Res. 3:1532014. View Article : Google Scholar : PubMed/NCBI

23 

Huang da W, Sherman BT and Lempicki RA: Systematic and integrative analysis of large gene lists using DAVID bioinformatics resources. Nat Protoc. 4:44–57. 2009. View Article : Google Scholar : PubMed/NCBI

24 

Huang da W, Sherman BT and Lempicki RA: Bioinformatics enrichment tools: paths toward the comprehensive functional analysis of large gene lists. Nucleic Acids Res. 37:1–13. 2009. View Article : Google Scholar : PubMed/NCBI

25 

Baxter RC: IGF binding proteins in cancer: Mechanistic and clinical insights. Nat Rev Cancer. 14:329–341. 2014. View Article : Google Scholar : PubMed/NCBI

26 

Ammoun S, Schmid MC, Zhou L, Ristic N, Ercolano E, Hilton DA, Perks CM and Hanemann CO: Insulin-like growth factor-binding protein-1 (IGFBP-1) regulates human schwannoma proliferation, adhesion and survival. Oncogene. 31:1710–1722. 2012. View Article : Google Scholar : PubMed/NCBI

27 

Figueroa JA, Sharma J, Jackson JG, McDermott MJ, Hilsenbeck SG and Yee D: Recombinant insulin-like growth factor binding protein-1 inhibits IGF-I, serum, and estrogen-dependent growth of MCF-7 human breast cancer cells. J Cell Physiol. 157:229–236. 1993. View Article : Google Scholar : PubMed/NCBI

28 

Yamada H, Iijima K, Tomita O, Taguchi T, Miharu M, Kobayashi K, Okita H, Saito M, Shimizu T and Kiyokawa N: Effects of insulin-like growth factor-1 on B-cell precursor acute lymphoblastic leukemia. Int J Hematol. 97:73–82. 2013. View Article : Google Scholar : PubMed/NCBI

29 

Leu JI, Crissey MA and Taub R: Massive hepatic apoptosis associated with TGF-beta1 activation after Fas ligand treatment of IGF binding protein-1-deficient mice. J Clin Invest. 111:129–139. 2003. View Article : Google Scholar : PubMed/NCBI

30 

Sharma J, Gray KP, Evan C, Nakabayashi M, Fichorova R, Rider J, Mucci L, Kantoff PW and Sweeney CJ: Elevated insulin-like growth factor binding protein-1 (IGFBP-1) in men with metastatic prostate cancer starting androgen deprivation therapy (ADT) is associated with shorter time to castration resistance and overall survival. Prostate. 74:225–234. 2014. View Article : Google Scholar : PubMed/NCBI

31 

Cao Y, Nimptsch K, Shui IM, Platz EA, Wu K, Pollak MN, Kenfield SA, Stampfer MJ and Giovannucci EL: Prediagnostic plasma IGFBP-1, IGF-1 and risk of prostate cancer. Int J Cancer. 136:2418–2426. 2015. View Article : Google Scholar : PubMed/NCBI

32 

Yao X, Sun S, Zhou X, Guo W and Zhang L: IGF-binding protein 2 is a candidate target of therapeutic potential in cancer. Tumour Biol. 37:1451–1459. 2016. View Article : Google Scholar : PubMed/NCBI

33 

Maciejczyk A, Szelachowska J, Czapiga B, Matkowski R, Hałoń A, Györffy B and Surowiak P: Elevated BUBR1 expression is associated with poor survival in early breast cancer patients: 15-year follow-up analysis. J Histochem Cytochem. 61:330–339. 2013. View Article : Google Scholar : PubMed/NCBI

34 

Reeve JG, Morgan J, Schwander J and Bleehen NM: Role for membrane and secreted insulin-like growth factor-binding protein-2 in the regulation of insulin-like growth factor action in lung tumors. Cancer Res. 53:4680–4685. 1993.PubMed/NCBI

35 

Yazawa T, Sato H, Shimoyamada H, Okudela K, Woo T, Tajiri M, Ogura T, Ogawa N, Suzuki T, Mitsui H, et al: Neuroendocrine cancer-specific up-regulating mechanism of insulin-like growth factor binding protein-2 in small cell lung cancer. Am J Pathol. 175:976–987. 2009. View Article : Google Scholar : PubMed/NCBI

36 

Fürstenberger G and Senn HJ: Insulin-like growth factors and cancer. Lancet Oncol. 3:298–302. 2002. View Article : Google Scholar : PubMed/NCBI

37 

Lee HY, Chun KH, Liu B, Wiehle SA, Cristiano RJ, Hong WK, Cohen P and Kurie JM: Insulin-like growth factor binding protein-3 inhibits the growth of non-small cell lung cancer. Cancer Res. 62:3530–3537. 2002.PubMed/NCBI

38 

Alami N, Page V, Yu Q, Jerome L, Paterson J, Shiry L and Leyland-Jones B: Recombinant human insulin-like growth factor-binding protein 3 inhibits tumor growth and targets the Akt pathway in lung and colon cancer models. Growth Horm IGF Res. 18:487–496. 2008. View Article : Google Scholar : PubMed/NCBI

39 

Hochscheid R, Jaques G and Wegmann B: Transfection of human insulin-like growth factor-binding protein 3 gene inhibits cell growth and tumorigenicity: A cell culture model for lung cancer. J Endocrinol. 166:553–563. 2000. View Article : Google Scholar : PubMed/NCBI

40 

Kim JH, Choi DS, Lee OH, Oh SH, Lippman SM and Lee HY: Antiangiogenic antitumor activities of IGFBP-3 are mediated by IGF-independent suppression of Erk1/2 activation and Egr-1-mediated transcriptional events. Blood. 118:2622–2631. 2011. View Article : Google Scholar : PubMed/NCBI

41 

Wang HH, Wang YC, Wu DW, Hung CS, Chen CY and Lee H: Targeting insulin-like growth factor-binding protein-3 by microRNA-125b promotes tumor invasion and poor outcomes in non-small-cell lung cancer. Tumour Biol. 39:10104283176943162017.PubMed/NCBI

42 

Han JY, Choi BG, Choi JY, Lee SY and Ju SY: The prognostic significance of pretreatment plasma levels of insulin-like growth factor (IGF)-1, IGF-2, and IGF binding protein-3 in patients with advanced non-small cell lung cancer. Lung Cancer. 54:227–234. 2006. View Article : Google Scholar : PubMed/NCBI

43 

Walker G, MacLeod K, Williams AR, Cameron DA, Smyth JF and Langdon SP: Insulin-like growth factor binding proteins IGFBP3, IGFBP4, and IGFBP5 predict endocrine responsiveness in patients with ovarian cancer. Clin Cancer Res. 13:1438–1444. 2007. View Article : Google Scholar : PubMed/NCBI

44 

Butt AJ, Dickson KA, McDougall F and Baxter RC: Insulin-like growth factor-binding protein-5 inhibits the growth of human breast cancer cells in vitro and in vivo. J Biol Chem. 278:29676–29685. 2003. View Article : Google Scholar : PubMed/NCBI

45 

Tanno B, Cesi V, Vitali R, Sesti F, Giuffrida ML, Mancini C, Calabretta B and Raschellà G: Silencing of endogenous IGFBP-5 by micro RNA interference affects proliferation, apoptosis and differentiation of neuroblastoma cells. Cell Death Differ. 12:213–223. 2005. View Article : Google Scholar : PubMed/NCBI

46 

Johnson SK and Haun RS: Insulin-like growth factor binding protein-5 influences pancreatic cancer cell growth. World J Gastroenterol. 15:3355–3366. 2009. View Article : Google Scholar : PubMed/NCBI

47 

Yao R, Wang Y, Lubet RA and You M: Differentially expressed genes associated with mouse lung tumor progression. Oncogene. 21:5814–5821. 2002. View Article : Google Scholar : PubMed/NCBI

48 

Sueoka N, Lee HY, Wiehle S, Cristiano RJ, Fang B, Ji L, Roth JA, Hong WK, Cohen P and Kurie JM: Insulin-like growth factor binding protein-6 activates programmed cell death in non-small cell lung cancer cells. Oncogene. 19:4432–4436. 2000. View Article : Google Scholar : PubMed/NCBI

49 

Koyama N, Zhang J, Huqun, Miyazawa H, Tanaka T, Su X and Hagiwara K: Identification of IGFBP-6 as an effector of the tumor suppressor activity of SEMA3B. Oncogene. 27:6581–6589. 2008. View Article : Google Scholar : PubMed/NCBI

50 

Kannan K, Amariglio N, Rechavi G, Jakob-Hirsch J, Kela I, Kaminski N, Getz G, Domany E and Givol D: DNA microarrays identification of primary and secondary target genes regulated by p53. Oncogene. 20:2225–2234. 2001. View Article : Google Scholar : PubMed/NCBI

51 

Bartram I, Erben U, Ortiz-Tanchez J, Blunert K, Schlee C, Neumann M, Heesch S and Baldus CD: Inhibition of IGF1-R overcomes IGFBP7-induced chemotherapy resistance in T-ALL. BMC Cancer. 15:6632015. View Article : Google Scholar : PubMed/NCBI

52 

Gutschner T, Hämmerle M, Pazaitis N, Bley N, Fiskin E, Uckelmann H, Heim A, Groβ M, Hofmann N, Geffers R, et al: Insulin-like growth factor 2 mRNA-binding protein 1 (IGF2BP1) is an important protumorigenic factor in hepatocellular carcinoma. Hepatology. 59:1900–1911. 2014. View Article : Google Scholar : PubMed/NCBI

53 

Kawasaki T, Nosho K, Ohnishi M, Suemoto Y, Kirkner GJ, Fuchs CS and Ogino S: IGFBP3 promoter methylation in colorectal cancer: Relationship with microsatellite instability, CpG island methylator phenotype, and p53. Neoplasia. 9:1091–1098. 2007. View Article : Google Scholar : PubMed/NCBI

54 

Bialous SA and Sarna L: Lung cancer and tobacco: What is new? Nurs Clin North Am. 52:53–63. 2017. View Article : Google Scholar : PubMed/NCBI

Related Articles

  • Abstract
  • View
  • Download
  • Twitter
Copy and paste a formatted citation
Spandidos Publications style
Wang J, Hu ZG, Li D, Xu JX and Zeng ZG: Gene expression and prognosis of insulin‑like growth factor‑binding protein family members in non‑small cell lung cancer. Oncol Rep 42: 1981-1995, 2019.
APA
Wang, J., Hu, Z., Li, D., Xu, J., & Zeng, Z. (2019). Gene expression and prognosis of insulin‑like growth factor‑binding protein family members in non‑small cell lung cancer. Oncology Reports, 42, 1981-1995. https://doi.org/10.3892/or.2019.7314
MLA
Wang, J., Hu, Z., Li, D., Xu, J., Zeng, Z."Gene expression and prognosis of insulin‑like growth factor‑binding protein family members in non‑small cell lung cancer". Oncology Reports 42.5 (2019): 1981-1995.
Chicago
Wang, J., Hu, Z., Li, D., Xu, J., Zeng, Z."Gene expression and prognosis of insulin‑like growth factor‑binding protein family members in non‑small cell lung cancer". Oncology Reports 42, no. 5 (2019): 1981-1995. https://doi.org/10.3892/or.2019.7314
Copy and paste a formatted citation
x
Spandidos Publications style
Wang J, Hu ZG, Li D, Xu JX and Zeng ZG: Gene expression and prognosis of insulin‑like growth factor‑binding protein family members in non‑small cell lung cancer. Oncol Rep 42: 1981-1995, 2019.
APA
Wang, J., Hu, Z., Li, D., Xu, J., & Zeng, Z. (2019). Gene expression and prognosis of insulin‑like growth factor‑binding protein family members in non‑small cell lung cancer. Oncology Reports, 42, 1981-1995. https://doi.org/10.3892/or.2019.7314
MLA
Wang, J., Hu, Z., Li, D., Xu, J., Zeng, Z."Gene expression and prognosis of insulin‑like growth factor‑binding protein family members in non‑small cell lung cancer". Oncology Reports 42.5 (2019): 1981-1995.
Chicago
Wang, J., Hu, Z., Li, D., Xu, J., Zeng, Z."Gene expression and prognosis of insulin‑like growth factor‑binding protein family members in non‑small cell lung cancer". Oncology Reports 42, no. 5 (2019): 1981-1995. https://doi.org/10.3892/or.2019.7314
Follow us
  • Twitter
  • LinkedIn
  • Facebook
About
  • Spandidos Publications
  • Careers
  • Cookie Policy
  • Privacy Policy
How can we help?
  • Help
  • Live Chat
  • Contact
  • Email to our Support Team