Spandidos Publications Logo
  • About
    • About Spandidos
    • Aims and Scopes
    • Abstracting and Indexing
    • Editorial Policies
    • Reprints and Permissions
    • Job Opportunities
    • Terms and Conditions
    • Contact
  • Journals
    • All Journals
    • Oncology Letters
      • Oncology Letters
      • Information for Authors
      • Editorial Policies
      • Editorial Board
      • Aims and Scope
      • Abstracting and Indexing
      • Bibliographic Information
      • Archive
    • International Journal of Oncology
      • International Journal of Oncology
      • Information for Authors
      • Editorial Policies
      • Editorial Board
      • Aims and Scope
      • Abstracting and Indexing
      • Bibliographic Information
      • Archive
    • Molecular and Clinical Oncology
      • Molecular and Clinical Oncology
      • Information for Authors
      • Editorial Policies
      • Editorial Board
      • Aims and Scope
      • Abstracting and Indexing
      • Bibliographic Information
      • Archive
    • Experimental and Therapeutic Medicine
      • Experimental and Therapeutic Medicine
      • Information for Authors
      • Editorial Policies
      • Editorial Board
      • Aims and Scope
      • Abstracting and Indexing
      • Bibliographic Information
      • Archive
    • International Journal of Molecular Medicine
      • International Journal of Molecular Medicine
      • Information for Authors
      • Editorial Policies
      • Editorial Board
      • Aims and Scope
      • Abstracting and Indexing
      • Bibliographic Information
      • Archive
    • Biomedical Reports
      • Biomedical Reports
      • Information for Authors
      • Editorial Policies
      • Editorial Board
      • Aims and Scope
      • Abstracting and Indexing
      • Bibliographic Information
      • Archive
    • Oncology Reports
      • Oncology Reports
      • Information for Authors
      • Editorial Policies
      • Editorial Board
      • Aims and Scope
      • Abstracting and Indexing
      • Bibliographic Information
      • Archive
    • Molecular Medicine Reports
      • Molecular Medicine Reports
      • Information for Authors
      • Editorial Policies
      • Editorial Board
      • Aims and Scope
      • Abstracting and Indexing
      • Bibliographic Information
      • Archive
    • World Academy of Sciences Journal
      • World Academy of Sciences Journal
      • Information for Authors
      • Editorial Policies
      • Editorial Board
      • Aims and Scope
      • Abstracting and Indexing
      • Bibliographic Information
      • Archive
    • International Journal of Functional Nutrition
      • International Journal of Functional Nutrition
      • Information for Authors
      • Editorial Policies
      • Editorial Board
      • Aims and Scope
      • Abstracting and Indexing
      • Bibliographic Information
      • Archive
    • International Journal of Epigenetics
      • International Journal of Epigenetics
      • Information for Authors
      • Editorial Policies
      • Editorial Board
      • Aims and Scope
      • Abstracting and Indexing
      • Bibliographic Information
      • Archive
    • Medicine International
      • Medicine International
      • Information for Authors
      • Editorial Policies
      • Editorial Board
      • Aims and Scope
      • Abstracting and Indexing
      • Bibliographic Information
      • Archive
  • Articles
  • Information
    • Information for Authors
    • Information for Reviewers
    • Information for Librarians
    • Information for Advertisers
    • Conferences
  • Language Editing
Spandidos Publications Logo
  • About
    • About Spandidos
    • Aims and Scopes
    • Abstracting and Indexing
    • Editorial Policies
    • Reprints and Permissions
    • Job Opportunities
    • Terms and Conditions
    • Contact
  • Journals
    • All Journals
    • Biomedical Reports
      • Information for Authors
      • Editorial Policies
      • Editorial Board
      • Aims and Scope
      • Abstracting and Indexing
      • Bibliographic Information
      • Archive
    • Experimental and Therapeutic Medicine
      • Information for Authors
      • Editorial Policies
      • Editorial Board
      • Aims and Scope
      • Abstracting and Indexing
      • Bibliographic Information
      • Archive
    • International Journal of Epigenetics
      • Information for Authors
      • Editorial Policies
      • Editorial Board
      • Aims and Scope
      • Abstracting and Indexing
      • Bibliographic Information
      • Archive
    • International Journal of Functional Nutrition
      • Information for Authors
      • Editorial Policies
      • Editorial Board
      • Aims and Scope
      • Abstracting and Indexing
      • Bibliographic Information
      • Archive
    • International Journal of Molecular Medicine
      • Information for Authors
      • Editorial Policies
      • Editorial Board
      • Aims and Scope
      • Abstracting and Indexing
      • Bibliographic Information
      • Archive
    • International Journal of Oncology
      • Information for Authors
      • Editorial Policies
      • Editorial Board
      • Aims and Scope
      • Abstracting and Indexing
      • Bibliographic Information
      • Archive
    • Medicine International
      • Information for Authors
      • Editorial Policies
      • Editorial Board
      • Aims and Scope
      • Abstracting and Indexing
      • Bibliographic Information
      • Archive
    • Molecular and Clinical Oncology
      • Information for Authors
      • Editorial Policies
      • Editorial Board
      • Aims and Scope
      • Abstracting and Indexing
      • Bibliographic Information
      • Archive
    • Molecular Medicine Reports
      • Information for Authors
      • Editorial Policies
      • Editorial Board
      • Aims and Scope
      • Abstracting and Indexing
      • Bibliographic Information
      • Archive
    • Oncology Letters
      • Information for Authors
      • Editorial Policies
      • Editorial Board
      • Aims and Scope
      • Abstracting and Indexing
      • Bibliographic Information
      • Archive
    • Oncology Reports
      • Information for Authors
      • Editorial Policies
      • Editorial Board
      • Aims and Scope
      • Abstracting and Indexing
      • Bibliographic Information
      • Archive
    • World Academy of Sciences Journal
      • Information for Authors
      • Editorial Policies
      • Editorial Board
      • Aims and Scope
      • Abstracting and Indexing
      • Bibliographic Information
      • Archive
  • Articles
  • Information
    • For Authors
    • For Reviewers
    • For Librarians
    • For Advertisers
    • Conferences
  • Language Editing
Login Register Submit
  • This site uses cookies
  • You can change your cookie settings at any time by following the instructions in our Cookie Policy. To find out more, you may read our Privacy Policy.

    I agree
Search articles by DOI, keyword, author or affiliation
Search
Advanced Search
presentation
Molecular Medicine Reports
Join Editorial Board Propose a Special Issue
Print ISSN: 1791-2997 Online ISSN: 1791-3004
Journal Cover
December-2019 Volume 20 Issue 6

Full Size Image

Sign up for eToc alerts
Recommend to Library

Journals

International Journal of Molecular Medicine

International Journal of Molecular Medicine

International Journal of Molecular Medicine is an international journal devoted to molecular mechanisms of human disease.

International Journal of Oncology

International Journal of Oncology

International Journal of Oncology is an international journal devoted to oncology research and cancer treatment.

Molecular Medicine Reports

Molecular Medicine Reports

Covers molecular medicine topics such as pharmacology, pathology, genetics, neuroscience, infectious diseases, molecular cardiology, and molecular surgery.

Oncology Reports

Oncology Reports

Oncology Reports is an international journal devoted to fundamental and applied research in Oncology.

Experimental and Therapeutic Medicine

Experimental and Therapeutic Medicine

Experimental and Therapeutic Medicine is an international journal devoted to laboratory and clinical medicine.

Oncology Letters

Oncology Letters

Oncology Letters is an international journal devoted to Experimental and Clinical Oncology.

Biomedical Reports

Biomedical Reports

Explores a wide range of biological and medical fields, including pharmacology, genetics, microbiology, neuroscience, and molecular cardiology.

Molecular and Clinical Oncology

Molecular and Clinical Oncology

International journal addressing all aspects of oncology research, from tumorigenesis and oncogenes to chemotherapy and metastasis.

World Academy of Sciences Journal

World Academy of Sciences Journal

Multidisciplinary open-access journal spanning biochemistry, genetics, neuroscience, environmental health, and synthetic biology.

International Journal of Functional Nutrition

International Journal of Functional Nutrition

Open-access journal combining biochemistry, pharmacology, immunology, and genetics to advance health through functional nutrition.

International Journal of Epigenetics

International Journal of Epigenetics

Publishes open-access research on using epigenetics to advance understanding and treatment of human disease.

Medicine International

Medicine International

An International Open Access Journal Devoted to General Medicine.

Journal Cover
December-2019 Volume 20 Issue 6

Full Size Image

Sign up for eToc alerts
Recommend to Library

  • Article
  • Citations
    • Cite This Article
    • Download Citation
    • Create Citation Alert
    • Remove Citation Alert
    • Cited By
  • Similar Articles
    • Related Articles (in Spandidos Publications)
    • Similar Articles (Google Scholar)
    • Similar Articles (PubMed)
  • Download PDF
  • Download XML
  • View XML
Article Open Access

Kaempferol promotes bone formation in part via the mTOR signaling pathway

  • Authors:
    • Jing Zhao
    • Jue Wu
    • Binwu Xu
    • Zhen Yuan
    • Yu Leng
    • Jun Min
    • Xiaoyong Lan
    • Jun Luo
  • View Affiliations / Copyright

    Affiliations: Department of Neurology, The Second Affiliated Hospital of Nanchang University, Nanchang, Jiangxi 330000, P.R. China, Laboratory of Translational Medicine, Chinese PLA General Hospital, Beijing 100853, P.R. China, Department of Orthopedics, The Second Affiliated Hospital of Nanchang University, Nanchang, Jiangxi 330000, P.R. China, Regeneration and Rehabilitation Engineering Research Institute on Bone and Nerve of Jiangxi, Nanchang, Jiangxi 330000, P.R. China , Department of Emergency, The First People's Hospital of Jiujiang City, Jiujiang, Jiangxi 332000, P.R. China, Department of Rehabilitation, The Third Affiliated Hospital of Nanchang University, Nanchang, Jiangxi 330008, P.R. China, Department of Orthopedics, The Third Affiliated Hospital of Nanchang University, Nanchang, Jiangxi 330008, P.R. China
    Copyright: © Zhao et al. This is an open access article distributed under the terms of Creative Commons Attribution License.
  • Pages: 5197-5207
    |
    Published online on: October 16, 2019
       https://doi.org/10.3892/mmr.2019.10747
  • Expand metrics +
Metrics: Total Views: 0 (Spandidos Publications: | PMC Statistics: )
Metrics: Total PDF Downloads: 0 (Spandidos Publications: | PMC Statistics: )
Cited By (CrossRef): 0 citations Loading Articles...

This article is mentioned in:



Abstract

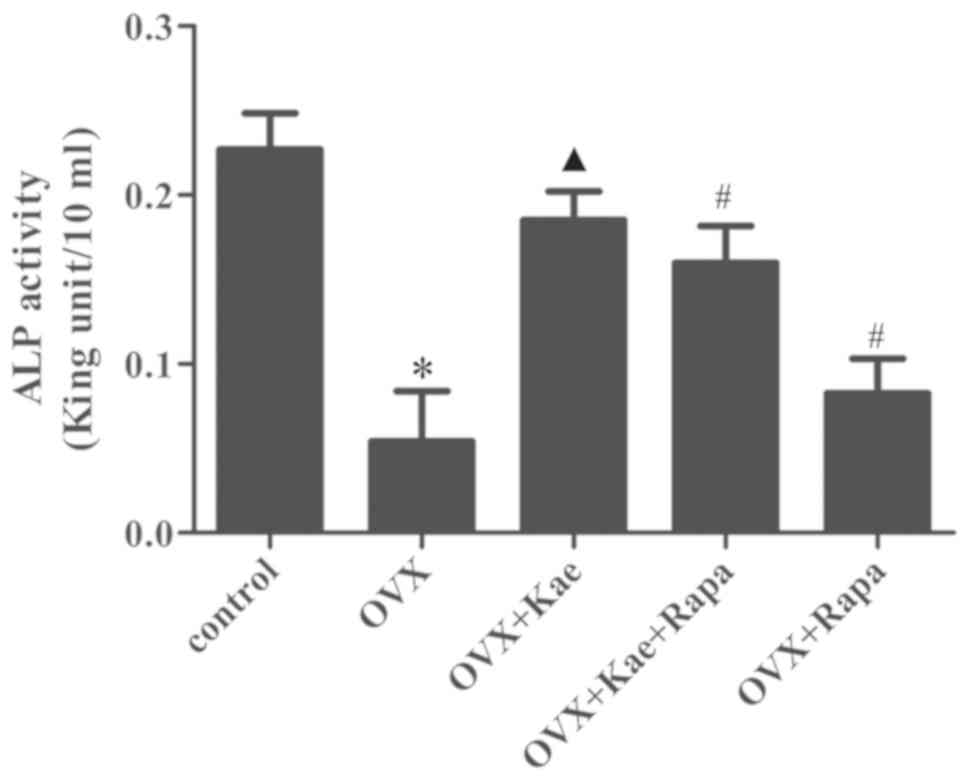
Previous research indicates that kaempferol (Kae) promotes osteogenesis, but its underlying mechanism of action remains unclear. The present study hypothesized that the osteogenic effects of Kae were mediated through mammalian target of rapamycin (mTOR). To validate this hypothesis, bone marrow mesenchymal stem cells (BMSCs) from ovariectomized (OVX) rats were differentiated into osteoblasts. The bone mineral density and bone microarchitecture of the OVX rats was measured in vivo, while osteogenesis was evaluated in vitro via Alizarin Red S staining and alkaline phosphatase activity measurements in cultured BMSCs. The levels of phosphorylated eukaryotic translation initiation factor 4E‑binding protein 1 (p‑4E/BP1) and phosphorylated ribosomal protein S6 kinase B1 (p‑S6K), and the expression of Runt‑related transcription factor 2 and Osterix, were concurrently quantified by western blot analysis. The data suggested that Kae prevented OVX‑induced osteoporosis in rats by promoting osteoblastogenesis. Furthermore, treatment with Kae in rat BMSCs enhanced mineralization, elevated ALP activity, increased the expression levels of Runx‑2 and Osterix and increased the levels of p‑S6K and decreased the levels of p‑4E/BP1 and, consistent with its ability to promote osteoblast differentiation. In contrast, treatment with rapamycin, an mTOR inhibitor, produced the opposite phenotype. Taken together, these data suggested that the protective effects of Kae in BMSCs and in the OVX rat model resulted from the induction of osteogenesis via mTOR signaling, or at least partially via the regulation of downstream effectors of the mTOR pathway.
View Figures

Figure 1

Figure 2

Figure 3

Figure 4

Figure 5

Figure 6

Figure 7

Figure 8

Figure 9

View References

1 

Cosman F, de Beur SJ, LeBoff MS, Lewiecki EM, Tanner B, Randall S and Lindsay R; National Osteoporosis Foundation, : Clinician's guide to prevention and treatment of osteoporosis. Osteoporos Int. 25:2359–2381. 2014. View Article : Google Scholar : PubMed/NCBI

2 

Das S and Crockett JC: Osteoporosis-a current view of pharmacological prevention and treatment. Drug Des Devel Ther. 7:435–448. 2013.PubMed/NCBI

3 

Rizzoli R, Reginster JY, Boonen S, Bréart G, Diez-Perez A, Felsenberg D, Kaufman JM, Kanis JA and Cooper C: Adverse reactions and drug-drug interactions in the management of women with postmenopausal osteoporosis. Calcif Tissue Int. 89:91–104. 2011. View Article : Google Scholar : PubMed/NCBI

4 

Adler RA, El-Hajj Fuleihan G, Bauer DC, Camacho PM, Clarke BL, Clines GA, Compston JE, Drake MT, Edwards BJ, Favus MJ, et al: Managing osteoporosis in patients on long-term bisphosphonate treatment: Report of a task force of the American society for bone and mineral research. J Bone Miner Res. 31:16–35. 2016. View Article : Google Scholar : PubMed/NCBI

5 

Drieling RL, LaCroix AZ, Beresford SAA, Boudreau DM, Kooperberg C, Chlebowski RT, Ko MG and Heckbert SR: Long-Term oral bisphosphonate therapy and fractures in older women: The Women's health initiative. J Am Geriatr Soc. 65:1924–1931. 2017. View Article : Google Scholar : PubMed/NCBI

6 

Huang L, Yagura T and Chen S: Sedative activity of hexane extract of Keampferia galangal L. and its active compounds. J Ethnopharmacol. 120:123–125. 2008. View Article : Google Scholar : PubMed/NCBI

7 

Devi KP, Malar DS, Nabavi SF, Sureda A, Xiao J, Nabavi SM and Daglia M: Kaempferol and inflammation: From chemistry to medicine. Pharmacol Res. 99:1–10. 2015. View Article : Google Scholar : PubMed/NCBI

8 

Qin Y, Cui W, Yang X and Tong B: Kaempferol inhibits the growth and metastasis of cholangiocarcinoma in vitro and in vivo. Acta Biochim Biophys Sin (Shanghai). 48:238–245. 2016. View Article : Google Scholar : PubMed/NCBI

9 

Suchal K, Malik S, Khan SI, Malhotra RK, Goyal S, Bhatia J, Ojha S and Arya D: Molecular pathways involved in the amelioration of myocardial injury in diabetic rats by kaempferol. Int J Mol Sci. 18(pii): E10012017. View Article : Google Scholar : PubMed/NCBI

10 

An M and Kim M: Protective effects of kaempferol against cardiac sinus node dysfunction via CaMKII deoxidization. Anat Cell Biol. 48:235–243. 2015. View Article : Google Scholar : PubMed/NCBI

11 

Mühlbauer RC and Li F: Effect of vegetables on bone metabolism. Nature. 401:343–344. 1999. View Article : Google Scholar : PubMed/NCBI

12 

Mitra A, Luna JI, Marusina AI, Merleev A, Kundu-Raychaudhuri S, Fiorentino D, Raychaudhuri SP and Maverakis E: Dual mTOR inhibition is required to prevent TGF-β-mediated fibrosis: Implications for scleroderma. J Invest Dermatol. 135:2873–2876. 2015. View Article : Google Scholar : PubMed/NCBI

13 

Conciatori F, Ciuffreda L, Bazzichetto C, Falcone I, Pilotto S, Bria E, Cognetti F and Milella M: mTOR Cross-talk in cancer and potential for combination therapy. Cancers (Basel). 10(pii): E232018. View Article : Google Scholar : PubMed/NCBI

14 

Karner CM, Lee SY and Long F: Bmp induces osteoblast differentiation through both Smad4 and mTORC1 signaling. Mol Cell Biol. 37(pii): e00253–16. 2017.PubMed/NCBI

15 

Fitter S, Matthews MP, Martin SK, Xie J, Ooi SS, Walkley CR, Codrington JD, Ruegg MA, Hall MN, Proud CG, et al: mTORC1 Plays an important role in skeletal development by controlling preosteoblast differentiation. Mol Cell Biol. 37(pii): e00668–16. 2017.PubMed/NCBI

16 

Liu DM, Zhao L, Liu TT, Jiao PL, Zhao DD, Shih MS, Tao B, Sun LH, Zhao HY and Liu JM: Rictor/mTORC2 loss in osteoblasts impairs bone mass and strength. Bone. 90:50–58. 2016. View Article : Google Scholar : PubMed/NCBI

17 

Chen J, Tu X, Esen E, Joeng KS, Lin C, Arbeit JM, Rüegg MA, Hall MN, Ma L and Long F: WNT7B promotes bone formation in part through mTORC1. PLoS Genet. 10:e10041452014. View Article : Google Scholar : PubMed/NCBI

18 

Zhan JK, Wang YJ, Wang Y, Wang S, Tan P, Huang W and Liu YS: The mammalian target of rapamycin signalling pathway is involved in osteoblastic differentiation of vascular smooth muscle cells. Can J Cardiol. 30:568–575. 2014. View Article : Google Scholar : PubMed/NCBI

19 

Min J, Yuan Z, Zhang Q, Lin S, Wang K and Luo J: Analysis of anti-osteoporosis function of chlorogenic acid by gene microarray profiling in ovariectomy rat model. Biosci Rep. 38(pii): BSR201807752018. View Article : Google Scholar : PubMed/NCBI

20 

Kilkenny C, Browne WJ, Cuthill IC, Emerson M and Altman DG: Improving bioscience research reporting: The ARRIVE guidelines for reporting animal research. PLoS Biol. 8:e10004122010. View Article : Google Scholar : PubMed/NCBI

21 

Jiang Y, Jahagirdar BN, Reinhardt RL, Schwartz RE, Keene CD, Ortiz-Gonzalez XR, Reyes M, Lenvik T, Lund T, Blackstad M, et al: Pluripotency of mesenchymal stem cells derived from adult marrow. Nature. 418:41–49. 2002. View Article : Google Scholar : PubMed/NCBI

22 

Riggs BL, Khosla S and Melton LJ III: Sex steroids and the construction and conservation of the adult skeleton. Endocr Rev. 23:279–302. 2002. View Article : Google Scholar : PubMed/NCBI

23 

Chien KR and Karsenty G: Longevity and lineages: Toward the integrative biology of degenerative diseases in heart, muscle, and bone. Cell. 120:533–544. 2005. View Article : Google Scholar : PubMed/NCBI

24 

Hegarty VM, May HM and Khaw KT: Tea drinking and bone mineral density in older women. Am J Clin Nutr. 71:1003–1007. 2000. View Article : Google Scholar : PubMed/NCBI

25 

Guo AJ, Choi RC, Zheng KY, Chen VP, Dong TT, Wang ZT, Vollmer G, Lau DT and Tsim KW: Kaempferol as a flavonoid induces osteoblastic differentiation via estrogen receptor signaling. Chin Med. 7:102012. View Article : Google Scholar : PubMed/NCBI

26 

Trivedi R, Kumar S, Kumar A, Siddiqui JA, Swarnkar G, Gupta V, Kendurker A, Dwivedi AK, Romero JR and Chattopadhyay N: Kaempferol has osteogenic effect in ovariectomized adult Sprague-Dawley rats. Mol Cell Endocrinol. 289:85–93. 2008. View Article : Google Scholar : PubMed/NCBI

27 

Nowak B, Matuszewska A, Nikodem A, Filipiak J, Landwójtowicz M, Sadanowicz E, Jędrzejuk D, Rzeszutko M, Zduniak K, Piasecki T, et al: Oral administration of kaempferol inhibits bone loss in rat model of ovariectomy-induced osteopenia. Pharmacol Rep. 69:1113–1119. 2017. View Article : Google Scholar : PubMed/NCBI

28 

Kim CJ, Shin SH, Kim BJ, Kim CH, Kim JH, Kang HM, Park BS and Kim IR: The effects of Kaempferol-inhibited autophagy on osteoclast formation. Int J Mol Sci. 19(pii): E1252018. View Article : Google Scholar : PubMed/NCBI

29 

Adhikary S, Choudhary D, Ahmad N, Karvande A, Kumar A, Banala VT, Mishra PR and Trivedi R: Dietary flavonoid kaempferol inhibits glucocorticoid-induced bone loss by promoting osteoblast survival. Nutrition. 53:64–76. 2018. View Article : Google Scholar : PubMed/NCBI

30 

Kim IR, Kim SE, Baek HS, Kim BJ, Kim CH, Chung IK, Park BS and Shin SH: The role of kaempferol-induced autophagy on differentiation and mineralization of osteoblastic MC3T3-E1 cells. BMC Complement Altern Med. 16:3332016. View Article : Google Scholar : PubMed/NCBI

31 

Chen Q, Shou P, Zheng C, Jiang M, Cao G, Yang Q, Cao J, Xie N, Velletri T, Zhang X, et al: Fate decision of mesenchymal stem cells: Adipocytes or osteoblasts? Cell Death Differ. 23:1128–1139. 2016. View Article : Google Scholar : PubMed/NCBI

32 

Eriksen EF: Cellular mechanisms of bone remodeling. Rev Endocr Metab Disord. 11:219–227. 2010. View Article : Google Scholar : PubMed/NCBI

33 

Zuk PA, Zhu M, Ashjian P, De Ugarte DA, Huang JI, Mizuno H, Alfonso ZC, Fraser JK, Benhaim P and Hedrick MH: Human adipose tissue is a source of multipotent stem cells. Mol Biol Cell. 13:4279–4295. 2002. View Article : Google Scholar : PubMed/NCBI

34 

Lucero CM, Vega OA, Osorio MM, Tapia JC, Antonelli M, Stein GS, van Wijnen AJ and Galindo MA: The cancer-related transcription factor Runx2 modulates cell proliferation in human osteosarcoma cell lines. J Cell Physiol. 228:714–723. 2013. View Article : Google Scholar : PubMed/NCBI

35 

Wysokinski D, Pawlowska E and Blasiak J: RUNX2: A master bone growth regulator that may be involved in the DNA damage response. DNA Cell Biol. 34:305–315. 2015. View Article : Google Scholar : PubMed/NCBI

36 

Nakashima K, Zhou X, Kunkel G, Zhang Z, Deng JM, Behringer RR and de Crombrugghe B: The novel zinc finger-containing transcription factor osterix is required for osteoblast differentiation and bone formation. Cell. 108:17–29. 2002. View Article : Google Scholar : PubMed/NCBI

37 

Nishimura R, Wakabayashi M, Hata K, Matsubara T, Honma S, Wakisaka S, Kiyonari H, Shioi G, Yamaguchi A, Tsumaki N, et al: Osterix regulates calcification and degradation of chondrogenic matrices through matrix metalloproteinase 13 (MMP13) expression in association with transcription factor Runx2 during endochondral ossification. J Biol Chem. 287:33179–33190. 2012. View Article : Google Scholar : PubMed/NCBI

38 

Zoncu R, Efeyan A and Sabatini DM: mTOR: From growth signal integration to cancer, diabetes and ageing. Nat Rev Mol Cell Biol. 12:21–35. 2011. View Article : Google Scholar : PubMed/NCBI

39 

Howell JJ and Manning BD: mTOR couples cellular nutrient sensing to organismal metabolic homeostasis. Trends Endocrinol Metab. 22:94–102. 2011. View Article : Google Scholar : PubMed/NCBI

40 

Dai N, Rapley J, Angel M, Yanik MF, Blower MD and Avruch J: mTOR phosphorylates IMP2 to promote IGF2 mRNA translation by internal ribosomal entry. Genes Dev. 25:1159–1172. 2011. View Article : Google Scholar : PubMed/NCBI

41 

Cybulski N and Hall MN: TOR complex 2: A signaling pathway of its own. Trends Biochem Sci. 34:620–627. 2009. View Article : Google Scholar : PubMed/NCBI

42 

Alessi DR, Pearce LR and García-Martínez JM: New insights into mTOR signaling: MTORC2 and beyond. Sci Signal. 2:pe272009. View Article : Google Scholar : PubMed/NCBI

43 

Steelman LS, Martelli AM, Cocco L, Libra M, Nicoletti F, Abrams SL and McCubrey JA: The therapeutic potential of mTOR inhibitors in breast cancer. Br J Clin Pharmacol. 82:1189–1212. 2016. View Article : Google Scholar : PubMed/NCBI

44 

Liu ZG, Tang J, Chen Z and Zhang H, Wang H, Yang J and Zhang H: The novel mTORC1/2 dual inhibitor INK128 enhances radiosensitivity of breast cancer cell line MCF-7. Int J Oncol. 49:1039–1045. 2016. View Article : Google Scholar : PubMed/NCBI

45 

Ling S, Song L, Fan N, Feng T, Liu L, Yang X, Wang M, Li Y, Tian Y, Zhao F, et al: Combination of metformin and sorafenib suppresses proliferation and induces autophagy of hepatocellular carcinoma via targeting the mTOR pathway. Int J Oncol. 50:297–309. 2017. View Article : Google Scholar : PubMed/NCBI

46 

Guo H, Xu Y, Wang F, Shen Z, Tuo X, Qian H, Wang H and Wang K: Clinical associations between ASCT2 and p-mTOR in the pathogenesis and prognosis of epithelial ovarian cancer. Oncol Rep. 40:3725–3733. 2018.PubMed/NCBI

47 

Nicoletti F, Fagone P, Meroni P, McCubrey J and Bendtzen K: mTOR as a multifunctional therapeutic target in HIV infection. Drug Discov Today. 16:715–721. 2011. View Article : Google Scholar : PubMed/NCBI

48 

Donia M, McCubrey JA, Bendtzen K and Nicoletti F: Potential use of rapamycin in HIV infection. Br J Clin Pharmacol. 70:784–793. 2010. View Article : Google Scholar : PubMed/NCBI

49 

Mammana S, Bramanti P, Mazzon E, Cavalli E, Basile MS, Fagone P, Petralia MC, McCubrey JA, Nicoletti F and Mangano K: Preclinical evaluation of the PI3K/Akt/mTOR pathway in animal models of multiple sclerosis. Oncotarget. 9:8263–8277. 2018. View Article : Google Scholar : PubMed/NCBI

50 

Donia M, Mangano K, Amoroso A, Mazzarino MC, Imbesi R, Castrogiovanni P, Coco M, Meroni P and Nicoletti F: Treatment with rapamycin ameliorates clinical and histological signs of protracted relapsing experimental allergic encephalomyelitis in Dark Agouti rats and induces expansion of peripheral CD4+CD25+Foxp3+ regulatory T cells. J Autoimmun. 33:135–140. 2009. View Article : Google Scholar : PubMed/NCBI

51 

Oaks Z, Winans T, Huang N, Banki K and Perl A: Activation of the mechanistic target of Rapamycin in SLE: Explosion of evidence in the last five years. Curr Rheumatol Rep. 18:732016. View Article : Google Scholar : PubMed/NCBI

52 

Chen J and Long F: mTOR signaling in skeletal development and disease. Bone Res. 6:12018. View Article : Google Scholar : PubMed/NCBI

53 

Wu H, Wu Z, Li P, Cong Q, Chen R, Xu W, Biswas S, Liu H, Xia X, Li S, et al: Bone size and quality regulation: Concerted actions of mTOR in mesenchymal stromal cells and osteoclasts. Stem Cell Reports. 8:1600–1616. 2017. View Article : Google Scholar : PubMed/NCBI

54 

Chen C, Akiyama K, Wang D, Xu X, Li B, Moshaverinia A, Brombacher F, Sun L and Shi S: mTOR inhibition rescues osteopenia in mice with systemic sclerosis. J Exp Med. 212:73–91. 2015. View Article : Google Scholar : PubMed/NCBI

55 

Li SF, Tang JJ, Chen J, Zhang P, Wang T, Chen TY, Yan B, Huang B, Wang L, Huang MJ, et al: Regulation of bone formation by baicalein via the mTORC1 pathway. Drug Des Devel Ther. 9:5169–5183. 2015.PubMed/NCBI

56 

Chen S, Jia L, Zhang S, Zheng Y and Zhou Y: DEPTOR regulates osteogenic differentiation via inhibiting MEG3-mediated activation of BMP4 signaling and is involved in osteoporosis. Stem Cell Res Ther. 9:1852018. View Article : Google Scholar : PubMed/NCBI

57 

Martin SK, Fitter S, Bong LF, Drew JJ, Gronthos S, Shepherd PR and Zannettino AC: NVP-BEZ235, a dual pan class I PI3 kinase and mTOR inhibitor, promotes osteogenic differentiation in human mesenchymal stromal cells. J Bone Miner Res. 25:2126–2137. 2010. View Article : Google Scholar : PubMed/NCBI

58 

Xu S, Zhang Y, Liu B, Li K, Huang B, Yan B, Zhang Z, Liang K, Jia C, Lin J, et al: Activation of mTORC1 in B lymphocytes promotes osteoclast formation via regulation of β-catenin and RANKL/OPG. J Bone Miner Res. 31:1320–1333. 2016. View Article : Google Scholar : PubMed/NCBI

59 

Dai Q, Han Y, Xie F, Ma X, Xu Z, Liu X, Zou W and Wang J: A RANKL-based osteoclast culture assay of mouse bone marrow to investigate the role of mTORC1 in osteoclast formation. J Vis Exp. Mar 15–2018.doi: 10.3791/56468. View Article : Google Scholar

60 

Dai Q, Xie F, Han Y, Ma X, Zhou S, Jiang L, Zou W and Wang J: Inactivation of Regulatory-associated protein of mTOR (Raptor)/mammalian target of rapamycin complex 1 (mTORC1) signaling in osteoclasts increases bone mass by inhibiting osteoclast differentiation in mice. J Biol Chem. 292:196–204. 2017. View Article : Google Scholar : PubMed/NCBI

61 

Wang Y, Yi XD and Li CD: Suppression of mTOR signaling pathway promotes bone marrow mesenchymal stem cells differentiation into osteoblast in degenerative scoliosis: In vivo and in vitro. Mol Biol Rep. 44:129–137. 2017. View Article : Google Scholar : PubMed/NCBI

62 

Che J, Liang B, Zhang Y, Wang Y, Tang J and Shi G: Kaempferol alleviates ox-LDL-induced apoptosis by up-regulation of autophagy via inhibiting PI3K/Akt/mTOR pathway in human endothelial cells. Cardiovasc Pathol. 31:57–62. 2017. View Article : Google Scholar : PubMed/NCBI

63 

Varshney R, Gupta S and Roy P: Cytoprotective effect of kaempferol against palmitic acid-induced pancreatic β-cell death through modulation of autophagy via AMPK/mTOR signaling pathway. Mol Cell Endocrinol. 448:1–20. 2017. View Article : Google Scholar : PubMed/NCBI

64 

Kim GD: Kaempferol inhibits angiogenesis by suppressing HIF-1α and VEGFR2 Activation via ERK/p38 MAPK and PI3K/Akt/mTOR signaling pathways in endothelial cells. Prev Nutr Food Sci. 22:320–326. 2017. View Article : Google Scholar : PubMed/NCBI

Related Articles

  • Abstract
  • View
  • Download
  • Twitter
Copy and paste a formatted citation
Spandidos Publications style
Zhao J, Wu J, Xu B, Yuan Z, Leng Y, Min J, Lan X and Luo J: Kaempferol promotes bone formation in part via the mTOR signaling pathway. Mol Med Rep 20: 5197-5207, 2019.
APA
Zhao, J., Wu, J., Xu, B., Yuan, Z., Leng, Y., Min, J. ... Luo, J. (2019). Kaempferol promotes bone formation in part via the mTOR signaling pathway. Molecular Medicine Reports, 20, 5197-5207. https://doi.org/10.3892/mmr.2019.10747
MLA
Zhao, J., Wu, J., Xu, B., Yuan, Z., Leng, Y., Min, J., Lan, X., Luo, J."Kaempferol promotes bone formation in part via the mTOR signaling pathway". Molecular Medicine Reports 20.6 (2019): 5197-5207.
Chicago
Zhao, J., Wu, J., Xu, B., Yuan, Z., Leng, Y., Min, J., Lan, X., Luo, J."Kaempferol promotes bone formation in part via the mTOR signaling pathway". Molecular Medicine Reports 20, no. 6 (2019): 5197-5207. https://doi.org/10.3892/mmr.2019.10747
Copy and paste a formatted citation
x
Spandidos Publications style
Zhao J, Wu J, Xu B, Yuan Z, Leng Y, Min J, Lan X and Luo J: Kaempferol promotes bone formation in part via the mTOR signaling pathway. Mol Med Rep 20: 5197-5207, 2019.
APA
Zhao, J., Wu, J., Xu, B., Yuan, Z., Leng, Y., Min, J. ... Luo, J. (2019). Kaempferol promotes bone formation in part via the mTOR signaling pathway. Molecular Medicine Reports, 20, 5197-5207. https://doi.org/10.3892/mmr.2019.10747
MLA
Zhao, J., Wu, J., Xu, B., Yuan, Z., Leng, Y., Min, J., Lan, X., Luo, J."Kaempferol promotes bone formation in part via the mTOR signaling pathway". Molecular Medicine Reports 20.6 (2019): 5197-5207.
Chicago
Zhao, J., Wu, J., Xu, B., Yuan, Z., Leng, Y., Min, J., Lan, X., Luo, J."Kaempferol promotes bone formation in part via the mTOR signaling pathway". Molecular Medicine Reports 20, no. 6 (2019): 5197-5207. https://doi.org/10.3892/mmr.2019.10747
Follow us
  • Twitter
  • LinkedIn
  • Facebook
About
  • Spandidos Publications
  • Careers
  • Cookie Policy
  • Privacy Policy
How can we help?
  • Help
  • Live Chat
  • Contact
  • Email to our Support Team