Spandidos Publications Logo
  • About
    • About Spandidos
    • Aims and Scopes
    • Abstracting and Indexing
    • Editorial Policies
    • Reprints and Permissions
    • Job Opportunities
    • Terms and Conditions
    • Contact
  • Journals
    • All Journals
    • Oncology Letters
      • Oncology Letters
      • Information for Authors
      • Editorial Policies
      • Editorial Board
      • Aims and Scope
      • Abstracting and Indexing
      • Bibliographic Information
      • Archive
    • International Journal of Oncology
      • International Journal of Oncology
      • Information for Authors
      • Editorial Policies
      • Editorial Board
      • Aims and Scope
      • Abstracting and Indexing
      • Bibliographic Information
      • Archive
    • Molecular and Clinical Oncology
      • Molecular and Clinical Oncology
      • Information for Authors
      • Editorial Policies
      • Editorial Board
      • Aims and Scope
      • Abstracting and Indexing
      • Bibliographic Information
      • Archive
    • Experimental and Therapeutic Medicine
      • Experimental and Therapeutic Medicine
      • Information for Authors
      • Editorial Policies
      • Editorial Board
      • Aims and Scope
      • Abstracting and Indexing
      • Bibliographic Information
      • Archive
    • International Journal of Molecular Medicine
      • International Journal of Molecular Medicine
      • Information for Authors
      • Editorial Policies
      • Editorial Board
      • Aims and Scope
      • Abstracting and Indexing
      • Bibliographic Information
      • Archive
    • Biomedical Reports
      • Biomedical Reports
      • Information for Authors
      • Editorial Policies
      • Editorial Board
      • Aims and Scope
      • Abstracting and Indexing
      • Bibliographic Information
      • Archive
    • Oncology Reports
      • Oncology Reports
      • Information for Authors
      • Editorial Policies
      • Editorial Board
      • Aims and Scope
      • Abstracting and Indexing
      • Bibliographic Information
      • Archive
    • Molecular Medicine Reports
      • Molecular Medicine Reports
      • Information for Authors
      • Editorial Policies
      • Editorial Board
      • Aims and Scope
      • Abstracting and Indexing
      • Bibliographic Information
      • Archive
    • World Academy of Sciences Journal
      • World Academy of Sciences Journal
      • Information for Authors
      • Editorial Policies
      • Editorial Board
      • Aims and Scope
      • Abstracting and Indexing
      • Bibliographic Information
      • Archive
    • International Journal of Functional Nutrition
      • International Journal of Functional Nutrition
      • Information for Authors
      • Editorial Policies
      • Editorial Board
      • Aims and Scope
      • Abstracting and Indexing
      • Bibliographic Information
      • Archive
    • International Journal of Epigenetics
      • International Journal of Epigenetics
      • Information for Authors
      • Editorial Policies
      • Editorial Board
      • Aims and Scope
      • Abstracting and Indexing
      • Bibliographic Information
      • Archive
    • Medicine International
      • Medicine International
      • Information for Authors
      • Editorial Policies
      • Editorial Board
      • Aims and Scope
      • Abstracting and Indexing
      • Bibliographic Information
      • Archive
  • Articles
  • Information
    • Information for Authors
    • Information for Reviewers
    • Information for Librarians
    • Information for Advertisers
    • Conferences
  • Language Editing
Spandidos Publications Logo
  • About
    • About Spandidos
    • Aims and Scopes
    • Abstracting and Indexing
    • Editorial Policies
    • Reprints and Permissions
    • Job Opportunities
    • Terms and Conditions
    • Contact
  • Journals
    • All Journals
    • Biomedical Reports
      • Information for Authors
      • Editorial Policies
      • Editorial Board
      • Aims and Scope
      • Abstracting and Indexing
      • Bibliographic Information
      • Archive
    • Experimental and Therapeutic Medicine
      • Information for Authors
      • Editorial Policies
      • Editorial Board
      • Aims and Scope
      • Abstracting and Indexing
      • Bibliographic Information
      • Archive
    • International Journal of Epigenetics
      • Information for Authors
      • Editorial Policies
      • Editorial Board
      • Aims and Scope
      • Abstracting and Indexing
      • Bibliographic Information
      • Archive
    • International Journal of Functional Nutrition
      • Information for Authors
      • Editorial Policies
      • Editorial Board
      • Aims and Scope
      • Abstracting and Indexing
      • Bibliographic Information
      • Archive
    • International Journal of Molecular Medicine
      • Information for Authors
      • Editorial Policies
      • Editorial Board
      • Aims and Scope
      • Abstracting and Indexing
      • Bibliographic Information
      • Archive
    • International Journal of Oncology
      • Information for Authors
      • Editorial Policies
      • Editorial Board
      • Aims and Scope
      • Abstracting and Indexing
      • Bibliographic Information
      • Archive
    • Medicine International
      • Information for Authors
      • Editorial Policies
      • Editorial Board
      • Aims and Scope
      • Abstracting and Indexing
      • Bibliographic Information
      • Archive
    • Molecular and Clinical Oncology
      • Information for Authors
      • Editorial Policies
      • Editorial Board
      • Aims and Scope
      • Abstracting and Indexing
      • Bibliographic Information
      • Archive
    • Molecular Medicine Reports
      • Information for Authors
      • Editorial Policies
      • Editorial Board
      • Aims and Scope
      • Abstracting and Indexing
      • Bibliographic Information
      • Archive
    • Oncology Letters
      • Information for Authors
      • Editorial Policies
      • Editorial Board
      • Aims and Scope
      • Abstracting and Indexing
      • Bibliographic Information
      • Archive
    • Oncology Reports
      • Information for Authors
      • Editorial Policies
      • Editorial Board
      • Aims and Scope
      • Abstracting and Indexing
      • Bibliographic Information
      • Archive
    • World Academy of Sciences Journal
      • Information for Authors
      • Editorial Policies
      • Editorial Board
      • Aims and Scope
      • Abstracting and Indexing
      • Bibliographic Information
      • Archive
  • Articles
  • Information
    • For Authors
    • For Reviewers
    • For Librarians
    • For Advertisers
    • Conferences
  • Language Editing
Login Register Submit
  • This site uses cookies
  • You can change your cookie settings at any time by following the instructions in our Cookie Policy. To find out more, you may read our Privacy Policy.

    I agree
Search articles by DOI, keyword, author or affiliation
Search
Advanced Search
presentation
Molecular Medicine Reports
Join Editorial Board Propose a Special Issue
Print ISSN: 1791-2997 Online ISSN: 1791-3004
Journal Cover
December-2022 Volume 26 Issue 6

Full Size Image

Sign up for eToc alerts
Recommend to Library

Journals

International Journal of Molecular Medicine

International Journal of Molecular Medicine

International Journal of Molecular Medicine is an international journal devoted to molecular mechanisms of human disease.

International Journal of Oncology

International Journal of Oncology

International Journal of Oncology is an international journal devoted to oncology research and cancer treatment.

Molecular Medicine Reports

Molecular Medicine Reports

Covers molecular medicine topics such as pharmacology, pathology, genetics, neuroscience, infectious diseases, molecular cardiology, and molecular surgery.

Oncology Reports

Oncology Reports

Oncology Reports is an international journal devoted to fundamental and applied research in Oncology.

Experimental and Therapeutic Medicine

Experimental and Therapeutic Medicine

Experimental and Therapeutic Medicine is an international journal devoted to laboratory and clinical medicine.

Oncology Letters

Oncology Letters

Oncology Letters is an international journal devoted to Experimental and Clinical Oncology.

Biomedical Reports

Biomedical Reports

Explores a wide range of biological and medical fields, including pharmacology, genetics, microbiology, neuroscience, and molecular cardiology.

Molecular and Clinical Oncology

Molecular and Clinical Oncology

International journal addressing all aspects of oncology research, from tumorigenesis and oncogenes to chemotherapy and metastasis.

World Academy of Sciences Journal

World Academy of Sciences Journal

Multidisciplinary open-access journal spanning biochemistry, genetics, neuroscience, environmental health, and synthetic biology.

International Journal of Functional Nutrition

International Journal of Functional Nutrition

Open-access journal combining biochemistry, pharmacology, immunology, and genetics to advance health through functional nutrition.

International Journal of Epigenetics

International Journal of Epigenetics

Publishes open-access research on using epigenetics to advance understanding and treatment of human disease.

Medicine International

Medicine International

An International Open Access Journal Devoted to General Medicine.

Journal Cover
December-2022 Volume 26 Issue 6

Full Size Image

Sign up for eToc alerts
Recommend to Library

  • Article
  • Citations
    • Cite This Article
    • Download Citation
    • Create Citation Alert
    • Remove Citation Alert
    • Cited By
  • Similar Articles
    • Related Articles (in Spandidos Publications)
    • Similar Articles (Google Scholar)
    • Similar Articles (PubMed)
  • Download PDF
  • Download XML
  • View XML
Article Open Access

Ubiquitin‑specific protease 8 ameliorates lipopolysaccharide‑induced spleen injury via suppression of NF‑κB and MAPK signaling pathways

  • Authors:
    • Wei Bi
    • Jiawei Zhang
    • Zhaohao Zeng
    • Ruiyi Zhou
    • Jiayi Zhao
    • Wei Yan
    • Lu Wang
    • Xiaoting Li
    • Lihong Zhu
  • View Affiliations / Copyright

    Affiliations: Department of Neurology, The First Affiliated Hospital of Jinan University, Guangzhou, Guangdong 510630, P.R. China, Department of Pathophysiology, School of Medicine, Jinan University, Guangzhou, Guangdong 510632, P.R. China, Department of Neurology, The First People's Hospital of Kashgar Prefecture, Kashgar, Xinjiang Uygur Autonomous Region 844000, P.R. China
    Copyright: © Bi et al. This is an open access article distributed under the terms of Creative Commons Attribution License.
  • Article Number: 370
    |
    Published online on: October 31, 2022
       https://doi.org/10.3892/mmr.2022.12887
  • Expand metrics +
Metrics: Total Views: 0 (Spandidos Publications: | PMC Statistics: )
Metrics: Total PDF Downloads: 0 (Spandidos Publications: | PMC Statistics: )
Cited By (CrossRef): 0 citations Loading Articles...

This article is mentioned in:



Abstract

In human immunity, the spleen is a major organ, being central to humoral and cellular immunity. In vitro and in vivo, inflammation is regulated by ubiquitin‑specific protease 8 (USP8); however, to the best of our knowledge, the effect of USP8 on spleen injury remains unknown. The present study aimed to investigate the protection offered by USP8 against spleen injury in lipopolysaccharide (LPS)‑induced mice via attenuation of inflammation. A total of 119 C57BL/6J mice were placed into the following groups: Control group, saline group, LPS group, USP8 group, USP8 + LPS group and negative control (NC) + LPS group. A USP8 lentivirus was injected into mice at 1x108 TU/ml intracerebroventricularly for 7 days before LPS was administered via intraperitoneal injection at 750 µg/kg. From each group, serum and spleen samples were collected for analysis. Histological imaging was used to examine the spleen structure. Western blotting was used to detect the expression levels of proteins associated with the mitogen‑activated protein kinase (MAPK) and nuclear factor (NF)‑κB signaling pathways. Pro‑inflammatory cytokines were detected using enzyme‑linked immunosorbent assays. Compared with that in the saline, control and USP8 + LPS groups, the spleen volume in the LPS group was markedly increased, and the width of the splenic cord and sinus exhibited morphological damage in the LPS group. Compared with that in the saline, control and USP8 + LPS groups, the protein expression levels of USP8 in the spleen were decreased in the LPS group. Furthermore, the production of LPS‑induced pro‑inflammatory cytokines (e.g., interleukin‑1β and tumor necrosis factor‑α) was reduced in serum and spleen homogenates by USP8. Related inflammatory pathways, including the NF‑κB and MAPK pathways, were downregulated in the USP8 + LPS group compared with those in the LPS group. In conclusion, the anti‑inflammatory effect of USP8 on LPS‑induced spleen injury may be mediated by the inhibition of MAPK and NF‑κB signaling pathways.

Introduction

The imbalance in the inflammatory response and organ injury following sepsis, cancer, trauma and shock are significantly affected by immune system dysfunction (1). In human immunity, the spleen is a major organ, being central to humoral and cellular immunity. The spleen performs a crucial role in antibacterial and antiviral immune reactivity, and is a major site of antibody production. Functional deficiency of the spleen results in increased susceptibility to systemic infections by bacteria or viruses (2).

The gram-negative bacterial outer membrane component lipopolysaccharide (LPS) can cause immune responses in the central and peripheral nervous systems, thereby inducing sickness in mice (3). Peripheral administration of LPS can induce the expression of proinflammatory cytokines in both the central and peripheral nervous systems, including inducible nitric oxide synthase, cyclooxygenase 2, interleukin (IL)-1β and tumor necrosis factor (TNF)-α, by activating Toll-like receptor 4 (TLR4) and regulating gene expression by initiating an intracellular signaling pathway involving nuclear factor (NF)-κB activation (4). LPS primarily activates pathways that are both independent and dependent on myeloid differentiation primary response 88 (MyD88). In both pathways, recognition by TLR4 of the lipid A-region of LPS is involved, suggesting that MyD88 signaling pathways have important functions in the immune response and inflammation (5). A previous study demonstrated that LPS could upregulate pro-inflammatory factor levels, including IL-1β and TNF-α, thus causing spleen injury in rats (6).

The cysteine protease ubiquitin-specific protease 8 (USP8) is a member of the USP/UBP subfamily (7). USP8 mediates the stability of ubiquitin protein ligases (E3s), including that of neuregulin receptor degradation protein-1 (NRDP1), an E3 that is expressed mainly in skeletal muscle, the prostate, the heart and the brain (8). The growth-regulated enzyme USP8 is essential and indispensable for cell survival and proliferation (9). Conditional knockout of USP8 in mice has been reported to result in marked loss of expression of receptor tyrosine kinases, such as MET proto-oncogene, receptor tyrosine kinase, Erb-B2 receptor tyrosine kinase 3 and epidermal growth factor receptor (10). Our previous study reported that the production of LPS-induced proinflammatory factors was reduced following USP8 overexpression; therefore, USP8 may be regarded as a novel candidate for the treatment of neuroinflammatory disorders (11). In addition, our previous study revealed that by modulating the TLR4/MyD88/NF-κB signaling pathway, USP8 could protect against LPS-induced cognitive and motor deficits in mice (12). However, the role of USP8 in LPS-induced spleen injury and its effects on the regulation of associated signaling pathways is poorly understood. The present study hypothesized that USP8 could inhibit the production of pro-inflammatory mediators, thereby protecting against LPS-induced spleen injury.

Materials and methods

Ethical approval

A total of 119 healthy male C57BL/6J mice (age, 10–12 weeks; weight, 20–25 g) were obtained from the Medical Laboratory Animal Center of Guangdong Province. All mice were housed in a under automatically controlled temperature (21–25°C), relative humidity (45–65%) and a 12-h light/dark cycle. The National Institutes of Health guidelines were followed strictly when performing all of the animal procedures (13). The Animal Care and Use Committee of Jinan University (Guangzhou, China; approval no. IACUC-20180726-03) approved all the animal procedures. Anesthesia was used during all surgeries, and pain and suffering were minimized as much as possible.

Experimental protocol

Mice (n=9/group) were randomly assigned to the following six groups: Control group, saline group, LPS group, USP8 + LPS group, USP8 group and negative control (NC) + LPS group. USP8 (lentiviruses encoding mouse USP8) were constructed and produced by OBiO Technology (Shanghai) Corp., Ltd., and 1×108 TU/ml (4 µl) was administered intracerebroventricularly (i.c.v.) on day 1 using a microsyringe with the following stereotaxic coordinates: −0.02 cm anterior, −0.15 cm lateral and −0.26 cm dorsal from the bregma, according to a previously described procedure (14). Age-matched NC mice were injected with an empty lentiviral plasmid (EF-1aF/GFP&Puro) at the same coordinates and with the same volume [OBiO Technology (Shanghai) Corp., Ltd.; 1×108 TU/ml; 4 µl). Injection of USP8 (i.c.v.; 1×108 TU/ml; 4 µl) started 7 days before the i.p. injection of LPS (MilliporeSigma; 750 µg/kg), which was injected once a day for 7 days. The saline group was injected with saline at an equal volume.

Enzyme-linked immunosorbent assay (ELISA)

Animals were anesthetized using 1.5% isoflurane (15,16), then sacrificed by cardiac perfusion, and the spleen tissues were harvested and homogenized. Spleen samples from the six groups were homogenized in radioimmunoprecipitation assay (RIPA) lysis buffer (Beyotime Institute of Biotechnology) containing 1 mM phenylmethylsulfonyl fluoride (PMSF; Beyotime Institute of Biotechnology). The bicinchoninic acid assay (Beyotime Institute of Biotechnology) was used to quantify the protein concentrations. The levels of TNF-α and IL-1β in serum and spleen homogenates were determined using ELISA kits (cat. nos. MTA00B and MLB00C; R&D Systems, Inc.) according to the manufacturer's protocols. Serum samples were obtained from whole blood samples (~800 µl) collected from the orbital sinus, by centrifugation at 12,000 × g for 20 min at 4°C. Mice were immediately sacrificed following blood collection.

Staining with hematoxylin and eosin (H&E)

Mice were anesthetized using 1.25% 2,2,2-tribromoethanol injected intraperitoneally (200 mg/kg), the heart was exposed and paraformaldehyde (PFA; 4%) was then injected through the right ventricle. Subsequently, 4% PFA was used to fix the collected spleen samples for 24 h at 4°C. The spleen samples were divided into two equal parts and immersed in distilled water with 40% sucrose overnight at 4°C. On day 2, the spleen samples were embedded in paraffin and were cut into 4-µm sections, before being stained with H&E (0.5% eosin) at room temperature for 10 sec to evaluate their morphology. The sections were observed under a light microscope.

Western blotting

Spleen tissue homogenates were harvested in RIPA lysis buffer containing 1 mM PMSF and then centrifuged at 6,000 × g for 15 min at 4°C. The detection of cytoplasmic and nuclear NF-κB was carried out following protein extraction using the NE-PER® kit (Thermo Fisher Scientific, Inc.). SDS-PAGE on 8–10% gels was used to separate equal amounts of protein, which were then electrotransferred onto polyvinylidene fluoride membranes (MilliporeSigma). Subsequently, 5% skimmed milk solution was used to block the membranes, after which they were incubated at 4°C overnight with primary antibodies against P38 (cat. no. 9218S), phosphorylated-(p)-P38 (cat. no. 4511S), ERK (cat. no. 4695S), p-ERK (cat. no. 4370S), JNK (cat. no. 9252S), p-JNK (cat. no. 9255S), IκBα (cat. no. 4814T), p-IκBα (cat. no. 2859), NF-κB (cat. no. 8242), MyD88 (cat. no. 4283S), USP8 (cat. no. 11832), Lamin-B1 (cat. no. 13435S) and GAPDH (cat. no. 2118S) (1:1,000 dilution; Cell Signaling Technology, Inc.), as reported previously (17). Following incubation with horseradish peroxidase-conjugated goat anti-rabbit (cat. no. 23240) or goat anti-mouse IgG (cat. no. 91196) secondary antibodies (1:2,000 dilution; Cell Signaling Technology, Inc.) for 1 h at room temperature, an enhanced chemiluminescence kit (MilliporeSigma) was used to detect the immunoreactive protein bands. The blots underwent scanning densitometry (Bio-Rad GelDoc XR imaging system; Bio-Rad Laboratories, Inc.) and semi-quantification of signal intensity was performed using Image J software (version 1.45; National Institutes of Health).

Statistical analysis

All data are presented as the mean ± standard error of the mean. SPSS 13.0 software (IBM Corp.) was used for all statistical analyses. Data were analyzed using one-way ANOVA followed by post hoc pairwise comparisons using Tukey's test. P<0.05 was considered to indicate a statistically significant difference.

Results

General appearance and alterations to spleen morphology

All mice were observed and weighed every day immediately before intraperitoneal injection of LPS. Following the administration of LPS, the mice displayed classic indications of sickness, such as reduced motion, a dispirited appearance, insensitivity to external stimulation, and reduced drinking and eating, which could be ameliorated by USP8 pretreatment (data not shown). Notably, the LPS-injected group exhibited splenomegaly, in which the spleen was twice as large as that in the USP8 + LPS group (Fig. 1). Spleen size was defined as the largest length of the spleen in the resected specimen. As shown in Fig. 1, spleen size was significantly reduced in the USP8 + LPS group compared with that in the LPS group.

Figure 1.

Alteration to mouse spleen morphology in the different groups. **P<0.01; #P<0.05 (n=5/group). LPS, lipopolysaccharide; NC, negative control; USP8, ubiquitin-specific protease 8.

Expression levels of USP8 protein in the spleen of LPS-induced mice

Western blotting was used to assess the protein expression levels of USP8 in the spleen after injecting the mice with LPS continuously for 7 days. As shown in Fig. 2, USP8 expression was significantly increased in the USP8 group compared with in the NC group, thus indicating successful USP8 overexpression. In the LPS group, the expression levels of USP8 in the spleen were significantly decreased compared with those in the control, saline and NC groups, whereas i.c.v. injection of USP8 into the mice resulted in a significant increase in USP8 expression levels compared with in the LPS group (Fig. 2).

Figure 2.

USP8 treatment reverses LPS-induced USP8 degradation in the spleen. **P<0.01; ##P<0.01 (n=9/group). LPS, lipopolysaccharide; NC, negative control; USP8, ubiquitin-specific protease 8.

USP8 alters the splenic structure in the LPS-induced systemic inflammation model

The spleens of the saline and control mouse groups had thin capsules, with clearly visible white and red pulp after H&E staining. The white pulp comprised splenic nodules and a periarteriolar lymphoid sheath (PALS). In the spleen, the marginal zone formed a unique region at the interface of both the white and red pulps (Fig. 3). The white pulp was disorganized in the LPS-treated group, without typical splenic nodules and PALS, both the marginal zone and germinal center had disappeared. The structure of the white pulp in the USP8 + LPS group exhibited splenic nodules with an obvious germinal center and a typical PALS; however, inflammation still existed.

Figure 3.

USP8 treatment reverses structural damage to the spleen in LPS-induced mice, as visualized using hematoxylin and eosin staining. Representative images from different groups of mice are shown. Scale bar, 100 µm. LPS, lipopolysaccharide; NC, negative control; PALS, periarteriolar lymphoid sheath; USP8, ubiquitin-specific protease 8.

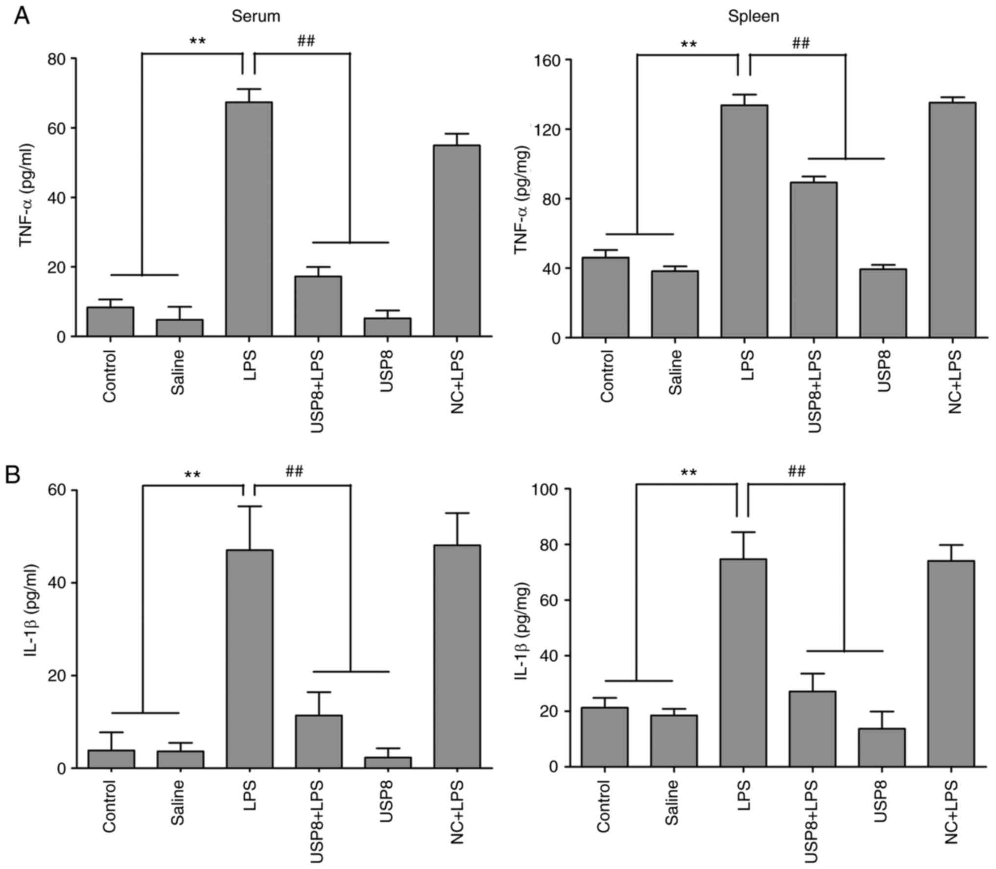
USP8 decreases serum and spleen levels of pro-inflammatory cytokines in LPS-treated mice

The TLR pathway mediates the LPS-induced inflammatory immune response, producing expression levels of pro-inflammatory cytokines, including IL-1β and TNF-α (18). The present study determined the concentrations of IL-1β and TNF-α in the serum and spleen homogenates using ELISA. Following injection with LPS, IL-1β and TNF-α levels in the spleen tissue homogenates were increased compared with those in the control and saline groups (Fig. 4). Furthermore, the levels of IL-1β and TNF-α in the serum samples were upregulated in the LPS-treated mice. However, significant decreases in the levels of IL-1β and TNF-α were observed in mice treated with USP8 + LPS compared with those in the LPS-treated mice (Fig. 4). These findings indicated that USP8 could effectively clear inflammation from the spleens of mice treated with LPS.

Figure 4.

USP8 decreases the serum and spleen levels of pro-inflammatory cytokines, which were increased in LPS-treated mice, as assessed using ELISA. (A) TNF-α levels in serum and spleen. (B) IL-1β levels in serum and spleen. **P<0.01; ##P<0.01 (n=9/group). IL-1β, interleukin-1β; LPS, lipopolysaccharide; NC, negative control; TNF-α, tumor necrosis factor-α; USP8, ubiquitin-specific protease 8.

USP8 protects against LPS-induced spleen injury by inhibiting the NF-κB pathway

NF-κB is an important transcription factor for the secretion of pro-inflammatory mediators (19). Therefore, the present study investigated the molecular mechanism by which USP8 exerted its therapeutic effects on pro-inflammatory-associated splenomegaly by determining the expression levels of NF-κB pathway-related proteins. When treated with LPS, the NF-κB P65 subunit was shown to move into the nucleus, which may upregulate the expression levels of genes encoding pro-inflammatory cytokines, such as TNF-α and IL-1β. Therefore, the protein expression levels of IκBα and MyD88 were detected. The expression levels of p-IκBα and MyD88 were significantly increased in the mice treated with LPS compared with those in the mice in the control and saline groups, whereas in the USP8 + LPS group, their levels were significantly lower than those in the LPS group (Fig. 5). These results indicated that USP8 may attenuate splenomegaly via NF-κB pathway inhibition.

Figure 5.

USP8 protects against LPS-induced spleen injury by inhibiting the nuclear factor-κB pathway. The protein expression levels of MyD88, P65 (cytosolic), P65 (nuclear) and p-IκBα were detected. **P<0.01; ##P<0.01 (n=9/group). LPS, lipopolysaccharide; MyD88, myeloid differentiation primary response 88; NC, negative control; p-, phosphorylated; t-, total; USP8, ubiquitin-specific protease 8.

USP8 protects against LPS-induced spleen injury by inhibiting the MAPK pathway

Growing evidence has suggested that MAPK has a vital function in regulating the synthesis and release of pro-inflammatory factors (20). The present study investigated how USP8 functions in MAPK signaling. LPS increased the levels of p-ERK, p-P38 (also known as MAPK14) and p-JNK (also known as MAPK8) compared with those in the control and saline groups, as indicated by western blotting, whereas in the USP8 + LPS group, their expression levels were decreased (Fig. 6). These results suggested that USP8 may mediate attenuation of the inflammatory response via the MAPK pathway.

Figure 6.

USP8 protects against LPS-induced spleen injury by inhibiting the mitogen-activated protein kinase pathway. The protein expression levels of ERK, JNK and P38 were detected. **P<0.01; ##P<0.01 (n=9/group). LPS, lipopolysaccharide; NC, negative control; p-, phosphorylated; USP8, ubiquitin-specific protease 8.

Discussion

The cellular ubiquitin proteasome system (UPS) efficiently degrades proteins; in particular, it regulates structurally abnormal, misfolded or damaged proteins, and short half-life regulatory proteins (21). The UPS comprises ubiquitin and various other enzymes, such as USP8, which belong to the deubiquitinating enzyme family (8). USP8 regulates growth-related proteins and the stability of its effector protein, NRDP1, in response to various stimuli (22). NRDP1 regulates TLR signaling via inhibition of activator protein 1 and NF-κB, which attenuates pro-inflammatory cytokine production (23). In the brains of cecal ligation and puncture (CLP) model mice, our previous study revealed that neuroinflammation occurred and that USP8 had protective functions against CLP-induced neuroinflammation, and cognitive and motor impairments. This previous observation may facilitate the development of novel therapeutic strategies to treat sepsis-associated encephalopathy (24). The spleen is the largest immune organ in the body and contains numerous lymphocytes, which have a vital function in the immune response, and exhibit antitumor, anti-inflammatory and hematopoietic properties (25). Our previous studies reported that USP8 could regulate inflammation in vitro and in vivo (11,12,22); however, to the best of our knowledge, the impact of USP8 on spleen injury remains unknown. The aim of the present study was to investigate the protective effects of USP8 against spleen injury in LPS-induced mice via attenuation of inflammation.

Viral or bacterial infections can cause splenomegaly resulting from the infiltration of a large number of inflammatory cells, accompanied by congestion of the spleen (2). results of the present study indicated that systemic inflammation, induced by LPS, may cause splenomegaly, which could be ameliorated by USP8 pretreatment. In addition, the spleen was shown to be damaged by LPS administration, with marked congestion in the white pulp, a reduction in typical splenic nodules and PALS, and disappearance of the marginal zone and germinal center; notably, all of these findings were ameliorated by USP8 treatment. Thus, USP8 might exert a protective effect on LPS-induced spleen injury.

It has previously been indicated that the expression of the transcription factor NF-κB is increased in various tissues, including the spleen, following LPS injection (26). Under LPS stimulation in mice, phosphorylated IκBα has been reported to be degraded via proteasome-mediated activation, resulting in active NF-κB nuclear translocation (27). Intranuclear blockage of NF-κB has been demonstrated to suppress pro-inflammatory cytokines, such as IL-1β and TNF-α (28,29). Furthermore, in a previous study, USP8 increased NRDP1 levels, potently downregulated MyD88 and TLR4 levels, and blocked inhibitor of NF-κB kinase subunit β and IκBα phosphorylation, thus decreasing p65 nuclear translocation, resulting in and inhibition of NF-κB signaling pathway activation in LPS-induced mice (12). In the present study, USP8 reduced the protein levels of MyD88, NF-κB and IκBα, which suppressed the release of pro-inflammatory cytokines, including TNF-α and IL-1β. Therefore, it was hypothesized that treatment with USP8 could ameliorate pro-inflammatory cytokine release, thereby attenuating spleen injury following LPS injection.

The MAPK serine/threonine protein kinases are common in mammals. MAPKs include ERK, JNK and P38 (30). The levels of p-P38 have been shown to be significantly increased by LPS treatment in spleen homogenates from rats (31). Mormède et al (32) observed that splenic MAPK signaling pathways were activated by i.p. injection of LPS. Increased expression of USP8 has been reported to induce increased surface localization of LepRb, which in turn can enhance leptin-mediated activation of the MAPK/ERK pathway and CREB activation (33). The present results demonstrated that USP8 treatment reduced the expression levels of p-JNK, p-ERK and p-P38 levels in the spleen of LPS-induced mice, which is beneficial to reducing inflammation. The results suggested that the attenuation of inflammatory responses by USP8 acts via the MAPK pathway.

In conclusion, USP8 contributed to suppressing the release of pro-inflammatory cytokines and prevented spleen injury following LPS injection in mice. These benefits of USP8 were associated with inhibition of inflammation-related signaling pathways, particularly the MAPK and NF-κB pathways. These data provided strong evidence that USP8 could be applied therapeutically to treat inflammation-mediated spleen injury.

Acknowledgements

Not applicable.

Funding

This study was supported by grants from the Natural Science Foundation of China (grant nos. 81200930 and 82071568), the Training Program for Outstanding Young Teachers in Higher Education Institutions of Guangdong Province (grant no. YQ2015024), the Fundamental Research Funds for the Central Universities (grant no. 21617482) and the Flagship Specialty Construction Project of the First Affiliated Hospital of Jinan University-Department of Neurology (grant no. 11001).

Availability of data and materials

The datasets used and/or analyzed during the current study are available from the corresponding author on reasonable request.

Authors' contributions

WB and LHZ designed the study. LHZ, WB and JWZ participated in designing the present study and reviewing the data, and confirmed the authenticity of all the raw data. ZHZ, RYZ and JYZ performed the majority of experiments. LW and XTL assisted in carrying out the H&E experiment. WY assisted with data analysis and interpretation, and critically read the manuscript. All authors read and approved the final manuscript.

Ethics approval and consent to participate

The Animal Care and Use Committee of Jinan University (Guangzhou, China; approval no. IACUC-20180726-03) approved all the animal procedures.

Patient consent for publication

Not applicable.

Competing interests

The authors declare that they have no competing interests.

References

1 

Jiang LN, Yao YM and Sheng ZY: The role of regulatory T cells in the pathogenesis of sepsis and its clinical implication. J Interferon Cytokine Res. 32:341–349. 2012. View Article : Google Scholar : PubMed/NCBI

2 

Altamura M, Caradonna L, Amati L, Pellegrino NM, Urgesi G and Miniello S: Splenectomy and sepsis: The role of the spleen in the immune-mediated bacterial clearance. Immunopharmacol Immunotoxicol. 23:153–161. 2001. View Article : Google Scholar : PubMed/NCBI

3 

Noh H, Jeon J and Seo H: Systemic injection of LPS induces region-specific neuroinflammation and mitochondrial dysfunction in normal mouse brain. Neurochem Int. 69:35–40. 2014. View Article : Google Scholar : PubMed/NCBI

4 

Badshah H, Ali T and Kim MO: Osmotin attenuates LPS-induced neuroinflammation and memory impairments via the TLR4/NFκB signaling pathway. Sci Rep. 6:244932016. View Article : Google Scholar : PubMed/NCBI

5 

Rahimifard M, Maqbool F, Moeini-Nodeh S, Niaz K, Abdollahi M, Braidy N, Nabavi SM and Nabavi SF: Targeting the TLR4 signaling pathway by polyphenols: A novel therapeutic strategy for neuroinflammation. Ageing Res Rev. 36:11–19. 2017. View Article : Google Scholar : PubMed/NCBI

6 

Xiao K, Zou WH, Yang Z, Rehman ZU, Ansari AR, Yuan HR, Zhou Y, Cui L, Peng KM and Song H: The role of visfatin on the regulation of inflammation and apoptosis in the spleen of LPS-treated rats. Cell Tissue Res. 359:605–618. 2015. View Article : Google Scholar : PubMed/NCBI

7 

Nijman SM, Luna-Vargas MP, Velds A, Brummelkamp TR, Dirac AM, Sixma TK and Bernards R: A genomic and functional inventory of deubiquitinating enzymes. Cell. 123:773–786. 2005. View Article : Google Scholar : PubMed/NCBI

8 

Soares L, Seroogy C, Skrenta H, Anandasabapathy N, Lovelace P, Chung CD, Engleman E and Fathman CG: Two isoforms of otubain 1 regulate T cell anergy via GRAIL. Nat Immunol. 5:45–54. 2004. View Article : Google Scholar : PubMed/NCBI

9 

Naviglio S, Mattecucci C, Matoskova B, Nagase T, Nomura N, Di Fiore PP and Draetta GF: UBPY: A growth-regulated human ubiquitin isopeptidase. EMBO J. 17:3241–3250. 1998. View Article : Google Scholar : PubMed/NCBI

10 

Niendorf S, Oksche A, Kisser A, Löhler J, Prinz M, Schorle H, Feller S, Lewitzky M, Horak I and Knobeloch KP: Essential role of ubiquitin-specific protease 8 for receptor tyrosine kinase stability and endocytic trafficking in vivo. Mol Cell Biol. 27:5029–5039. 2007. View Article : Google Scholar : PubMed/NCBI

11 

Zhu L, Bi W and Lu D, Zhang C, Shu X, Wang H, Qi R, Shi Q and Lu D: Regulation of ubiquitin-specific processing protease 8 suppresses neuroinflammation. Mol Cell Neurosci. 64:74–83. 2015. View Article : Google Scholar : PubMed/NCBI

12 

Zhao J, Bi W, Zhang J, Xiao S, Zhou R, Tsang CK, Lu D and Zhu L: USP8 protects against lipopolysaccharide-induced cognitive and motor deficits by modulating microglia phenotypes through TLR4/MyD88/NF-κB signaling pathway in mice. Brain Behav Immun. 88:582–596. 2020. View Article : Google Scholar : PubMed/NCBI

13 

National Research Council (US) Institute for Laboratory Animal Research, . Guide for the Care and Use of Laboratory Animals. National Academies Press (US); Washington DC, USA: pp. 21–48. 1996

14 

Haley TJ and Mccormick WG: Pharmacological effects produced by intracerebral injection of drugs in the conscious mouse. Br J Pharmacol Chemother. 12:12–15. 1957. View Article : Google Scholar : PubMed/NCBI

15 

Tunstall ME and Sheikh A: Comparison of 1.5% enflurane with 1.25% isoflurane in oxygen for caesarean section: Avoidance of awareness without nitrous oxide. Br J Anaesth. 62:138–143. 1989. View Article : Google Scholar : PubMed/NCBI

16 

Rao Z, Pan X, Zhang H, Sun J, Li J, Lu T, Gao M, Liu S, Yu D and Ding Z: Isoflurane preconditioning alleviated murine liver ischemia and reperfusion injury by restoring AMPK/mTOR-Mediated Autophagy. Anesth Analg. 125:1355–1363. 2017. View Article : Google Scholar : PubMed/NCBI

17 

Lin S, Yin Q, Zhong Q, Lv FL, Zhou Y, Li JQ, Wang JZ, Su BY and Yang QW: Heme activates TLR4-mediated inflammatory injury via MyD88/TRIF signaling pathway in intracerebral hemorrhage. J Neuroinflamm. 9:462012. View Article : Google Scholar

18 

Hernández-Romero MC, Delgado-Cortés MJ, Sarmiento Ml, de Pablos RM, Espinosa-Oliva AM, Argüelles S, Bández MJ, Villarán RF, Mauriño R, Santiago M, et al: Peripheral inflammation increases the deleterious effect of CNS inflammation on the nigrostriatal dopaminergic system. Neurotoxicology. 33:347–360. 2012. View Article : Google Scholar : PubMed/NCBI

19 

Ozato K, Tsujimura H and Tamura T: Toll-like receptor signaling and regulation of cytokine gene expression in the immune system. Biotechniques. (Suppl):66–68. 7072 passim. 2002. View Article : Google Scholar : PubMed/NCBI

20 

Koistinaho M and Koistinaho J: Role of p38 and p44/42 mitogen-activated protein kinases in microglia. Glia. 40:175–183. 2002. View Article : Google Scholar : PubMed/NCBI

21 

Gallastegui N and Groll M: The 26S proteasome: Assembly and function of a destructive machine. Trends Biochem Sci. 35:634–642. 2010. View Article : Google Scholar : PubMed/NCBI

22 

Wu X, Yen L, Irwin L, Sweeney C and Carraway KL III: Stabilization of the E3 ubiquitin ligase Nrdp1 by the deubiquitinating enzyme USP8. Mol Cell Biol. 24:7748–7757. 2004. View Article : Google Scholar : PubMed/NCBI

23 

Wang C, Chen T, Zhang J, Yang M, Li N, Xu X and Cao X: The E3 ubiquitin ligase Nrdp1 ‘preferentially’ promotes TLR-mediated production of type I interferon. Nat Immunol. 10:744–752. 2009. View Article : Google Scholar : PubMed/NCBI

24 

Bi W, Lan X, Zhang J, Xiao S, Cheng X, Wang H, Lu D and Zhu L: USP8 ameliorates cognitive and motor impairments via microglial inhibition in a mouse model of sepsis-associated encephalopathy. Brain Res. 1719:40–48. 2019. View Article : Google Scholar : PubMed/NCBI

25 

Fang WH, Yao YM, Shi ZG, Yu Y, Wu Y, Lu LR and Sheng ZY: Effect of recombinant bactericidal/permeability-increasing protein on endotoxin translocation and lipopolysaccharide-binding protein/CD14 expression in rats after thermal injury. Crit Care Med. 29:1452–1459. 2001. View Article : Google Scholar : PubMed/NCBI

26 

Mallard C: Innate immune regulation by toll-like receptors in the brain. ISRN Neurol. 2012:7019502012. View Article : Google Scholar : PubMed/NCBI

27 

Nair AR, Masson GS, Ebenezer PJ, Del Piero F and Francis J: Role of TLR4 in lipopolysaccharide-induced acute kidney injury: Protection by blueberry. Free Radic Biol Med. 71:16–25. 2014. View Article : Google Scholar : PubMed/NCBI

28 

Petrova TV, Akama KT and Van Eldik LJ: Cyclopentenone prostaglandins suppress activation of microglia: Down-regulation of inducible nitric-oxide 12,14-synthase by 15-deoxy-prostaglandin J2. Proc Natl Acad Sci USA. 96:4668–4673. 1999. View Article : Google Scholar : PubMed/NCBI

29 

Ye SM and Johnson RW: Regulation of interleukin-6 gene expression in brain of aged mice by nuclear factor kappaB. J Neuroimmunol. 117:87–96. 2001. View Article : Google Scholar : PubMed/NCBI

30 

Nithianandarajah-Jones GN, Wilm B, Goldring CE, Müller J and Cross MJ: ERK5: Structure, regulation and function. Cell Signal. 24:2187–2196. 2012. View Article : Google Scholar : PubMed/NCBI

31 

Meng AH, Ling YL, Zhang XP, Zhao XY and Zhang JL: CCK-8 inhibits expression of TNF-alpha in the spleen of endotoxic shock rats and signal transduction mechanism of p38 MAPK. World J Gastroenterol. 8:139–143. 2002. View Article : Google Scholar : PubMed/NCBI

32 

Mormède C, Palin K, Kelley KW, Castanon N and Dantzer R: Conditioned taste aversion with lipopolysaccharide and peptidoglycan does not activate cytokine gene expression in the spleen and hypothalamus of mice. Brain Behav Immun. 18:186–200. 2004. View Article : Google Scholar : PubMed/NCBI

33 

Bland T, Sahin GS, Zhu M, Dillon C, Impey S, Appleyard SM and Wayman GA: USP8 deubiquitinates the leptin receptor and is necessary for leptin-mediated synapse formation. Endocrinology. 160:1982–1998. 2019. View Article : Google Scholar : PubMed/NCBI

Related Articles

  • Abstract
  • View
  • Download
  • Twitter
Copy and paste a formatted citation
Spandidos Publications style
Bi W, Zhang J, Zeng Z, Zhou R, Zhao J, Yan W, Wang L, Li X and Zhu L: Ubiquitin‑specific protease 8 ameliorates lipopolysaccharide‑induced spleen injury via suppression of NF‑κB and MAPK signaling pathways. Mol Med Rep 26: 370, 2022.
APA
Bi, W., Zhang, J., Zeng, Z., Zhou, R., Zhao, J., Yan, W. ... Zhu, L. (2022). Ubiquitin‑specific protease 8 ameliorates lipopolysaccharide‑induced spleen injury via suppression of NF‑κB and MAPK signaling pathways. Molecular Medicine Reports, 26, 370. https://doi.org/10.3892/mmr.2022.12887
MLA
Bi, W., Zhang, J., Zeng, Z., Zhou, R., Zhao, J., Yan, W., Wang, L., Li, X., Zhu, L."Ubiquitin‑specific protease 8 ameliorates lipopolysaccharide‑induced spleen injury via suppression of NF‑κB and MAPK signaling pathways". Molecular Medicine Reports 26.6 (2022): 370.
Chicago
Bi, W., Zhang, J., Zeng, Z., Zhou, R., Zhao, J., Yan, W., Wang, L., Li, X., Zhu, L."Ubiquitin‑specific protease 8 ameliorates lipopolysaccharide‑induced spleen injury via suppression of NF‑κB and MAPK signaling pathways". Molecular Medicine Reports 26, no. 6 (2022): 370. https://doi.org/10.3892/mmr.2022.12887
Copy and paste a formatted citation
x
Spandidos Publications style
Bi W, Zhang J, Zeng Z, Zhou R, Zhao J, Yan W, Wang L, Li X and Zhu L: Ubiquitin‑specific protease 8 ameliorates lipopolysaccharide‑induced spleen injury via suppression of NF‑κB and MAPK signaling pathways. Mol Med Rep 26: 370, 2022.
APA
Bi, W., Zhang, J., Zeng, Z., Zhou, R., Zhao, J., Yan, W. ... Zhu, L. (2022). Ubiquitin‑specific protease 8 ameliorates lipopolysaccharide‑induced spleen injury via suppression of NF‑κB and MAPK signaling pathways. Molecular Medicine Reports, 26, 370. https://doi.org/10.3892/mmr.2022.12887
MLA
Bi, W., Zhang, J., Zeng, Z., Zhou, R., Zhao, J., Yan, W., Wang, L., Li, X., Zhu, L."Ubiquitin‑specific protease 8 ameliorates lipopolysaccharide‑induced spleen injury via suppression of NF‑κB and MAPK signaling pathways". Molecular Medicine Reports 26.6 (2022): 370.
Chicago
Bi, W., Zhang, J., Zeng, Z., Zhou, R., Zhao, J., Yan, W., Wang, L., Li, X., Zhu, L."Ubiquitin‑specific protease 8 ameliorates lipopolysaccharide‑induced spleen injury via suppression of NF‑κB and MAPK signaling pathways". Molecular Medicine Reports 26, no. 6 (2022): 370. https://doi.org/10.3892/mmr.2022.12887
Follow us
  • Twitter
  • LinkedIn
  • Facebook
About
  • Spandidos Publications
  • Careers
  • Cookie Policy
  • Privacy Policy
How can we help?
  • Help
  • Live Chat
  • Contact
  • Email to our Support Team