Effects and mechanism of RhoC downregulation in suppressing ovarian cancer stem cell proliferation, drug resistance, invasion and metastasis
- Authors:
- Published online on: October 11, 2016 https://doi.org/10.3892/or.2016.5164
- Pages: 3267-3274
Abstract
Introduction
Epithelial ovarian cancer (referred to as ovarian cancer) is a common malignancy of the female reproductive system and has a 5-year survival rate of less than 44% (1). Recurrence and drug resistance are the main reasons for its poor prognosis (2). Cancer stem cells are a group of cells capable of self-renewal and unlimited proliferation, and they can also be drug-resistant and highly invasive (3,4). According to the theory of cancer stem cells, although tumor cells contain extremely few cancer stem cells, they are the root cause of tumor initiation, metastasis, recurrence and therapeutic resistance (5–9). Therefore, it is extremely important to discover new approaches to regulate ovarian cancer stem cells (OCSCs).
Ras homolog gene family member C (RhoC) is a small G protein and is one of the three members of the Rho subfamily of GTPases (10). Upregulation of RhoC is closely linked to the growth, metastasis, invasion and progression or adverse prognosis of various malignancies (11,12). More importantly, RhoC plays a critical role in regulating cancer stem cells, including head and neck squamous cell carcinoma and breast cancer (13,14). Our previous studies showed that RhoC overexpression in ovarian cancer may promote cancer invasion and metastasis, and may be an independent prognostic factor for ovarian cancer (15,16). A previous study reported that the RhoC homolog RhoA is closely linked to the Wnt pathway, which has been implicated in stem cell activity (17). Therefore, in the present study we aimed to explore the role of RhoC in the proliferation, cisplatin resistance and invasion ability of OCSCs.
Materials and methods
Cell culture
The OC cell lines A2780, A2780-PM and A2780-PTX were purchased from the American Type Culture Collection (ATCC; Manassas, VA, USA). The cells were maintained in Dulbeccos modified Eagles medium (DMEM) supplemented with 10% fetal bovine serum (FBS), 100 U/ml penicillin, and 100 µg/ml streptomycin in a humidified atmosphere of 5% CO2 at 37°C. The cells were harvested by centrifugation, rinsed with phosphate-buffered saline (PBS), and were then used for extraction of total RNA.
Cell selection
The resistant ovarian cancer cell line A2780-PTX was cultured in the top chambers of Matrigel™-coated Transwell® inserts (Beckon-Dickinson Biosciences) containing 1 ml of DMEM containing 10% FBS in the lower chamber. A2780-PTX cells that were highly invasive were able to pass through the membrane to the lower chamber. These cells have high resistance and high invasiveness, and were termed A2780-PTX-PM. Flow cytometry was used to determine the OCSCs from this population. Briefly, the cells were trypsinized to prepare a single cell suspension, adjusting the cell concentration to 5×105/tube cells. Then, 2 ml of diluted CD117 antibody was added to each tube containing the cell suspension, the mixture was incubated at room temperature for 30 min, washed thrice with PBS, and centrifuged at 1,000 rpm for 5 min. The cells were then incubated with fluorescein isothiocyanate (FITC)-labeled secondary antibodies at room temperature for 30 min, washed thrice with PBS, centrifuged at 1,000 rpm for 5 min, and resuspended in 2 ml PBS, prior to detection of fluorescence intensity and cell sorting. The sorted cells were cultured after the completion of the relevant experiments.
Proliferation assay
Cell proliferation was analyzed using the 3-(4,5-dimethylthiazol-2-yl)-2,5-diphenyltetrazolium bromide (MTT) assay. Cells were directly seeded into 96-well plates (5×103 cells/well) and allowed to adhere. At different time points (0, 24, 48 and 72 h) after seeding, 20 µl of 5 mg/ml of MTT (Sigma-Aldrich, St. Louis, MO, USA) was added to the cells, and the cells were incubated at 37°C for 4 h. The supernatants were removed, and 150 µl of dimethyl sulfoxide (DMSO; Sigma-Aldrich) was added to each well. The absorbance of each well was measured at 490 nm.
Assessment of wound healing
Cells were seeded at 1×106 cells/well in 6-well culture plates and cultured to confluence. The cell monolayer was then scratched with a pipette tip (200 µl). Cells were washed thrice with PBS and cultured in an FBS-free medium. The cells were photographed at 0, 24 and 48 h, and the scratched areas were measured using ImageJ software. The wound healing rate was calculated using the following formula: Wound healing rate = (area of original wound - area of actual wound at different times)/area of original wound × 100%.
Assessment of cell invasion
First, 5×104 cells were resuspended in FBS-free DMEM and seeded into the top chambers of Matrigel™-coated Transwell® inserts. The lower compartment of the chamber contained 10% FBS as a chemoattractant. After incubation for 48 h at 37°C in a 5% CO2 atmosphere, the cells on the upper surface of the membrane were wiped away. Cells on the lower surface of the membrane were washed with PBS, fixed in 4% methanol and stained with crystal violet dye to quantify the extent of invasion.
Real-time reverse transcription-polymerase chain reaction (RT-PCR)
Total RNA was extracted from OC cell lines using TRIzol reagent (Takara Bio, Japan). Real-time RT-PCR was carried out with 2 µg of total RNA using AMV reverse transcriptase and random primers (Takara Bio). PCR primers were designed according to the sequences in GenBank. cDNA amplification was carried out with a SYBR™ Premix Ex Taq II kit (Takara), using glyceraldehyde 3-phosphate dehydrogenase (18s) as an internal control, according to the manufacturer's instructions. Briefly, cDNA amplification for each primer was carried out in a final volume of 20 µl containing 10 µl SYBR Premix Ex Taq (2X), 0.08 µl of each primer, 0.4 µl of ROX reference dye, and 1 µl of template cDNA (50 µg/µl). The PCR protocol was as follows: initial incubation at 95°C for 30 sec followed by 40 cycles of denaturation at 95°C for 5 sec and annealing at 60°C for 34 sec. The relative gene expression levels (amount of the target gene normalized to that of the endogenous control gene) were calculated using the comparative Ct method (2−ΔΔCt).
Immunofluorescence
For the immunofluorescence experiment, the cells were cultured on glass coverslips, fixed with PBS containing 4% formaldehyde for 10 min, and permeabilized with 0.2% Triton X-100 in PBS for 30 min at room temperature. After washing with PBS, the cells were incubated overnight at 4°C with antibodies to RhoC, CD117 and CD133 (1:50; Proteintech, Shanghai, China). Then, the cells were washed three times with PBS and treated with the secondary antibody for 2 h at room temperature in a dark and humidified chamber. After washing thrice with PBS, the immunostained cells were mounted in mounting medium containing 4,6-diamidino-2-phenylindole (DAPI) for 5 min, and washed thrice with PBS. The cells were then visualized under a fluorescence microscope equipped with a camera.
Statistical analyses
Ranked data were analyzed using Spearman's rank correlation coefficient. The Mann-Whitney U test was used to differentiate between the mean values of different groups. A P-value of <0.05 was considered to indicate a statistically significant result. SPSS v.17.0 (IBM, Armonk, NY, USA) was employed to analyze data.
Results
Expression of stem cell markers and proliferation, migration and invasion ability of ovarian cancer cells
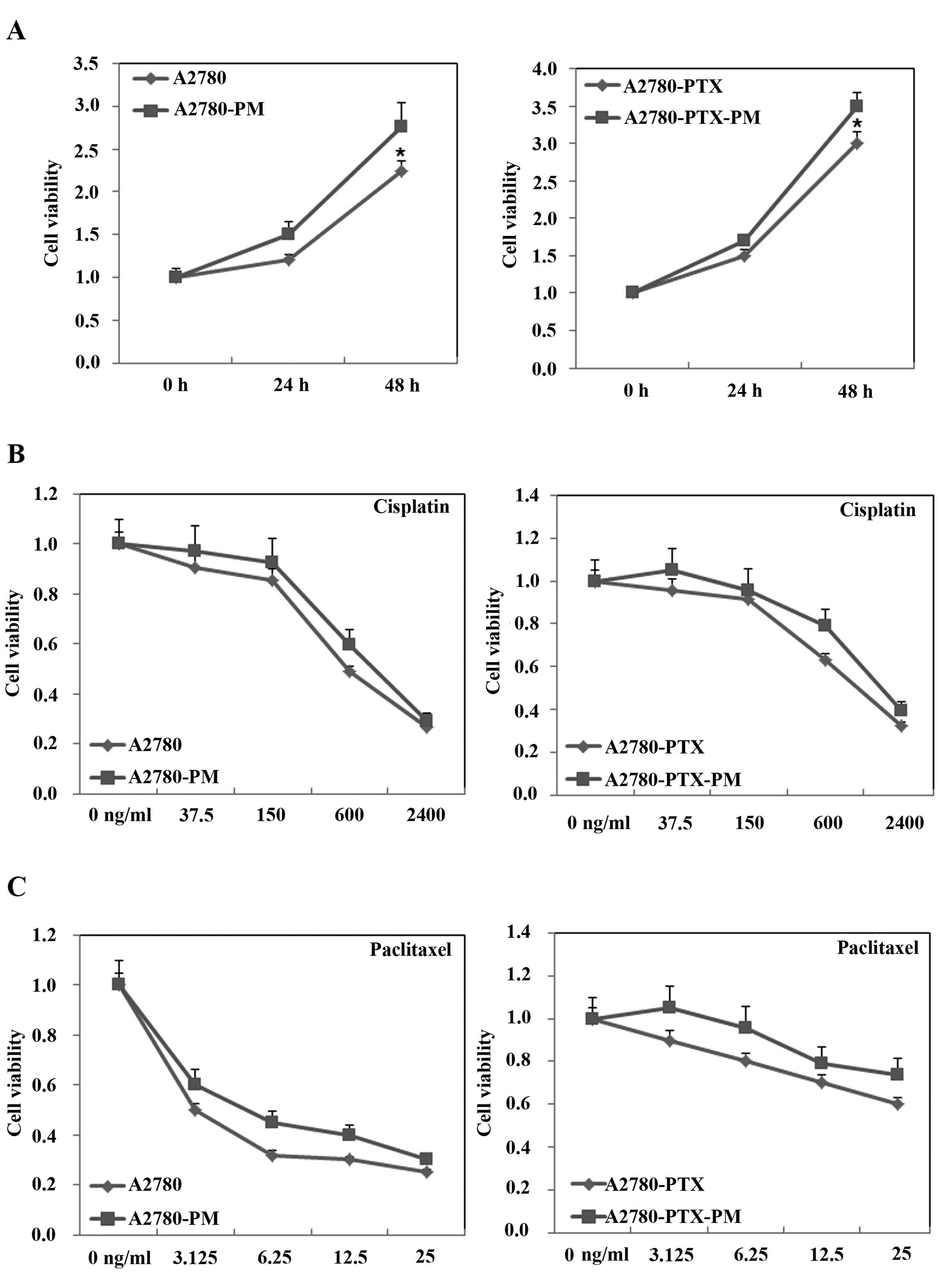
A2780-PM and A2780-PTX-PM cells showed higher cell proliferation (Fig. 1A), drug resistance (Fig. 1B and C) and invasion and migration ability (Fig. 2) than these parameters in the A2780 and A2780-PTX cell lines. Additionally, CD133 and CD117 expression levels were higher in the A2780-PM and A2780-PTX-PM cells than these levels in the A2780 and A2780-PTX cells (Fig. 3A and B).
Selection of OCSCs
Cells were sorted through flow cytometric analysis to select ovarian cancer cells with stem cell-like characteristics (Fig. 4).
Effects of si-RhoC on OCSCs
OCSCs showed induced cell proliferation, drug resistance and migration, and invasion ability. si-RhoC transfection in OCSCs reduced cell proliferation (Fig. 5A), drug resistance (Fig. 5B and C), and migration and invasion ability (Fig. 6). Results of the immunofluorescence analysis revealed that the expression of RhoC, CD133 and CD117 were also induced in the OCSCs, while transfection with si-RhoC reduced the expression of RhoC, CD133 and CD117 (Fig. 3C-E).
Expression of the mRNA of phenotype-related molecules in ovarian cancer cells
We assessed the mRNA expression levels of RhoC, CD133, CD117, MDR1 and MMP9 in A2780-PTX-PM cells, OCSCs and si-RhoC-transfected OCSCs. The results revealed that the expression levels of all of these markers were higher in OCSCs than levels in the A2780-PTX-PM cells, but the expression levels were lower in the si-RhoC-transfected OCSCs than levels in the OCSCs (Fig. 7).
Discussion
Given that stem cells have the ability of self-renewal, unlimited proliferation, drug resistance, high invasion and express high levels of CD117 and CD133 (18,19), we identified highly invasive populations of A2780 and A2780-PTX cells through Transwell assays. We screened the drug-resistant ovarian cancer cell line A2780-PTX for a highly drug-resistant ovarian cancer cell population with high invasiveness, and designated this population A2780-PTX-PM. Flow cytometric analysis was then applied to sort ovarian cancer cells bearing stem cell-like characteristics, ovarian cancer stem cells (OCSCs) expressing high levels of CD117 and CD133.
RhoC is known to be involved in the entire process of tumor progression and resistance in a variety of tumors. The RhoC protein regulates cell growth and proliferation mainly by affecting the cell cycle. Xie et al studied hepatoma cells in vitro and reported that RhoC expression regulated growth and apoptosis, and si-RhoC-transfected cells exhibited reduced cell proliferation and cell growth and a significantly reduced S-G2/M phase cell population (20). RhoC can affect cells in a variety of ways by altering the morphology and cell polarity, forming blood vessels, and is involved in tumor invasion and metastasis. Studies have shown that RhoGEF TEM4 (an activator of Rho family GTPases) regulates the cell migration of endothelial cells. TEM4 regulates cellular migration by signaling to RhoC as suppression of its expression recapitulated the loss of TEM4 phenotypes, and RhoC activation was impaired in TEM4-depleted cells (21). In addition, the destruction of the extracellular cell transfer mechanism is an important condition that is essential to the secretion of matrix metalloproteinases (MMPs). Various researchers have found associations between MMPs and the RhoC gene and reported that the RhoC gene promotes the expression of the MMP2 and MMP9 genes (20). Additionally, we found that RhoC was expressed at a higher level in epithelial ovarian carcinomas than this level in normal ovarian and benign ovarian tumor tissues. The RhoC expression level was positively correlated with ovarian cancer staging and differentiation. In addition, functional studies have shown that overexpression of RhoC promoted the invasion and metastasis of ovarian cancer through expression of VEGF, MMP9 and Rho-associated kinase (ROCK). After si-RhoC transfection in OCSCs, the proliferation, cisplatin resistance, invasion and stemness were decreased; the expression of associated proteins MDR1 and MMP9 were also decreased; and the positive expression of CD117 and CD133 was decreased. Therefore, based on our findings, we conclude that RhoC is an important oncogene that is required for the maintenance and propagation of OCSCs in ovarian cancer.
This is the first study to investigate the role and molecular mechanisms of RhoC in OCSCs, RhoC is an important gene that can be used for the treatment of OCSCs. We believe that the findings of the present study can shed insight into the root cause of ovarian cancer recurrence.
Acknowledgements
We would like to thank the native English speaking scientists of Elixigen Corporation (Huntington Beach, CA, USA) for editing our manuscript. The present study was supported by grants from the Liaoning Science and Technology Grant (no. 2013021077), and the Natural Scientific Foundation of China (nos. 81202049, 81472440 and 81472502).
References
|
Baldwin LA, Huang B, Miller RW, Tucker T, Goodrich ST, Podzielinski I, DeSimone CP, Ueland FR, van Nagell JR and Seamon LG: Ten-year relative survival for epithelial ovarian cancer. Obstet Gynecol. 120:612–618. 2012. View Article : Google Scholar : PubMed/NCBI | |
|
Bae T, Weon KY, Lee JW, Eum KH, Kim S and Choi JW: Restoration of paclitaxel resistance by CDK1 intervention in drug-resistant ovarian cancer. Carcinogenesis. 36:1561–1571. 2015.PubMed/NCBI | |
|
Yoo YD and Kwon YT: Molecular mechanisms controlling asymmetric and symmetric self-renewal of cancer stem cells. J Anal Sci Technol. 6:282015. View Article : Google Scholar : PubMed/NCBI | |
|
Beachy PA, Karhadkar SS and Berman DM: Tissue repair and stem cell renewal in carcinogenesis. Nature. 432:324–331. 2004. View Article : Google Scholar : PubMed/NCBI | |
|
Levina V, Marrangoni AM, DeMarco R, Gorelik E and Lokshin AE: Drug-selected human lung cancer stem cells: Cytokine network, tumorigenic and metastatic properties. PLoS One. 3:e30772008. View Article : Google Scholar : PubMed/NCBI | |
|
Klonisch T, Wiechec E, Hombach-Klonisch S, Ande SR, Wesselborg S, Schulze-Osthoff K and Los M: Cancer stem cell markers in common cancers - therapeutic implications. Trends Mol Med. 14:450–460. 2008. View Article : Google Scholar : PubMed/NCBI | |
|
Li F, Tiede B, Massagué J and Kang Y: Beyond tumorigenesis: Cancer stem cells in metastasis. Cell Res. 17:3–14. 2007. View Article : Google Scholar : PubMed/NCBI | |
|
Reya T, Morrison SJ, Clarke MF and Weissman IL: Stem cells, cancer, and cancer stem cells. Nature. 414:105–111. 2001. View Article : Google Scholar : PubMed/NCBI | |
|
Vezzoni L and Parmiani G: Limitations of the cancer stem cell theory. Cytotechnology. 58:3–9. 2008. View Article : Google Scholar : PubMed/NCBI | |
|
Sahai E and Marshall CJ: RHO-GTPases and cancer. Nat Rev Cancer. 2:133–142. 2002. View Article : Google Scholar : PubMed/NCBI | |
|
Hakem A, Sanchez-Sweatman O, You-Ten A, Duncan G, Wakeham A, Khokha R and Mak TW: RhoC is dispensable for embryogenesis and tumor initiation but essential for metastasis. Genes Dev. 19:1974–1979. 2005. View Article : Google Scholar : PubMed/NCBI | |
|
Kleer CG, Teknos TN, Islam M, Marcus B, Lee JS, Pan Q, Merajver SD and Rho C: RhoC GTPase expression as a potential marker of lymph node metastasis in squamous cell carcinomas of the head and neck. Clin Cancer Res. 12:4485–4490. 2006. View Article : Google Scholar : PubMed/NCBI | |
|
Islam M, Sharma S and Teknos TN: RhoC regulates cancer stem cells in head and neck squamous cell carcinoma by overexpressing IL-6 and phosphorylation of STAT3. PLoS One. 9:e885272014. View Article : Google Scholar : PubMed/NCBI | |
|
Rosenthal DT, Zhang J, Bao L, Zhu L, Wu Z, Toy K, Kleer CG and Merajver SD: RhoC impacts the metastatic potential and abundance of breast cancer stem cells. PLoS One. 7:e409792012. View Article : Google Scholar : PubMed/NCBI | |
|
Chen S, Chen X, Xiu YL, Sun KX and Zhao Y and Zhao Y: Inhibition of ovarian epithelial carcinoma tumorigenesis and progression by microRNA 106b mediated through the RhoC pathway. PLoS One. 10:e01257142015. View Article : Google Scholar : PubMed/NCBI | |
|
Chen X, Chen S, Xiu YL, Sun KX, Zong ZH and Zhao Y: RhoC is a major target of microRNA-93-5P in epithelial ovarian carcinoma tumorigenesis and progression. Mol Cancer. 14:312015. View Article : Google Scholar : PubMed/NCBI | |
|
Chen S, Wang J, Gou WF, Xiu YL, Zheng HC, Zong ZH, Takano Y and Zhao Y: The involvement of RhoA and Wnt-5a in the tumorigenesis and progression of ovarian epithelial carcinoma. Int J Mol Sci. 14:24187–24199. 2013. View Article : Google Scholar : PubMed/NCBI | |
|
Lukenda A, Dotlic S, Vukojevic N, Saric B, Vranic S and Zarkovic K: Expression and prognostic value of putative cancer stem cell markers CD117 and CD15 in choroidal and ciliary body melanoma. J Clin Pathol. 69:234–239. 2016. View Article : Google Scholar : PubMed/NCBI | |
|
Wright MH, Calcagno AM, Salcido CD, Carlson MD, Ambudkar SV and Varticovski L: Brca1 breast tumors contain distinct CD44+/CD24 and CD133+ cells with cancer stem cell characteristics. Breast Cancer Res. 10:R102008. View Article : Google Scholar : PubMed/NCBI | |
|
Xie SL, Zhu MG, Chen GF, Wang GY and Lv GY: Effects of Ras homolog gene family, member C gene silencing combined with rapamycin on hepatocellular carcinoma cell growth. Mol Med Rep. 12:5077–5085. 2015.PubMed/NCBI | |
|
Mitin N, Rossman KL, Currin R, Anne S, Marshall TW, Bear JE, Bautch VL and Der CJ: The RhoGEF TEM4 regulates endothelial cell migration by suppressing actomyosin contractility. PLoS One. 8:e662602013. View Article : Google Scholar : PubMed/NCBI |










