Spandidos Publications Logo
  • About
    • About Spandidos
    • Aims and Scopes
    • Abstracting and Indexing
    • Editorial Policies
    • Reprints and Permissions
    • Job Opportunities
    • Terms and Conditions
    • Contact
  • Journals
    • All Journals
    • Oncology Letters
      • Oncology Letters
      • Information for Authors
      • Editorial Policies
      • Editorial Board
      • Aims and Scope
      • Abstracting and Indexing
      • Bibliographic Information
      • Archive
    • International Journal of Oncology
      • International Journal of Oncology
      • Information for Authors
      • Editorial Policies
      • Editorial Board
      • Aims and Scope
      • Abstracting and Indexing
      • Bibliographic Information
      • Archive
    • Molecular and Clinical Oncology
      • Molecular and Clinical Oncology
      • Information for Authors
      • Editorial Policies
      • Editorial Board
      • Aims and Scope
      • Abstracting and Indexing
      • Bibliographic Information
      • Archive
    • Experimental and Therapeutic Medicine
      • Experimental and Therapeutic Medicine
      • Information for Authors
      • Editorial Policies
      • Editorial Board
      • Aims and Scope
      • Abstracting and Indexing
      • Bibliographic Information
      • Archive
    • International Journal of Molecular Medicine
      • International Journal of Molecular Medicine
      • Information for Authors
      • Editorial Policies
      • Editorial Board
      • Aims and Scope
      • Abstracting and Indexing
      • Bibliographic Information
      • Archive
    • Biomedical Reports
      • Biomedical Reports
      • Information for Authors
      • Editorial Policies
      • Editorial Board
      • Aims and Scope
      • Abstracting and Indexing
      • Bibliographic Information
      • Archive
    • Oncology Reports
      • Oncology Reports
      • Information for Authors
      • Editorial Policies
      • Editorial Board
      • Aims and Scope
      • Abstracting and Indexing
      • Bibliographic Information
      • Archive
    • Molecular Medicine Reports
      • Molecular Medicine Reports
      • Information for Authors
      • Editorial Policies
      • Editorial Board
      • Aims and Scope
      • Abstracting and Indexing
      • Bibliographic Information
      • Archive
    • World Academy of Sciences Journal
      • World Academy of Sciences Journal
      • Information for Authors
      • Editorial Policies
      • Editorial Board
      • Aims and Scope
      • Abstracting and Indexing
      • Bibliographic Information
      • Archive
    • International Journal of Functional Nutrition
      • International Journal of Functional Nutrition
      • Information for Authors
      • Editorial Policies
      • Editorial Board
      • Aims and Scope
      • Abstracting and Indexing
      • Bibliographic Information
      • Archive
    • International Journal of Epigenetics
      • International Journal of Epigenetics
      • Information for Authors
      • Editorial Policies
      • Editorial Board
      • Aims and Scope
      • Abstracting and Indexing
      • Bibliographic Information
      • Archive
    • Medicine International
      • Medicine International
      • Information for Authors
      • Editorial Policies
      • Editorial Board
      • Aims and Scope
      • Abstracting and Indexing
      • Bibliographic Information
      • Archive
  • Articles
  • Information
    • Information for Authors
    • Information for Reviewers
    • Information for Librarians
    • Information for Advertisers
    • Conferences
  • Language Editing
Spandidos Publications Logo
  • About
    • About Spandidos
    • Aims and Scopes
    • Abstracting and Indexing
    • Editorial Policies
    • Reprints and Permissions
    • Job Opportunities
    • Terms and Conditions
    • Contact
  • Journals
    • All Journals
    • Biomedical Reports
      • Information for Authors
      • Editorial Policies
      • Editorial Board
      • Aims and Scope
      • Abstracting and Indexing
      • Bibliographic Information
      • Archive
    • Experimental and Therapeutic Medicine
      • Information for Authors
      • Editorial Policies
      • Editorial Board
      • Aims and Scope
      • Abstracting and Indexing
      • Bibliographic Information
      • Archive
    • International Journal of Epigenetics
      • Information for Authors
      • Editorial Policies
      • Editorial Board
      • Aims and Scope
      • Abstracting and Indexing
      • Bibliographic Information
      • Archive
    • International Journal of Functional Nutrition
      • Information for Authors
      • Editorial Policies
      • Editorial Board
      • Aims and Scope
      • Abstracting and Indexing
      • Bibliographic Information
      • Archive
    • International Journal of Molecular Medicine
      • Information for Authors
      • Editorial Policies
      • Editorial Board
      • Aims and Scope
      • Abstracting and Indexing
      • Bibliographic Information
      • Archive
    • International Journal of Oncology
      • Information for Authors
      • Editorial Policies
      • Editorial Board
      • Aims and Scope
      • Abstracting and Indexing
      • Bibliographic Information
      • Archive
    • Medicine International
      • Information for Authors
      • Editorial Policies
      • Editorial Board
      • Aims and Scope
      • Abstracting and Indexing
      • Bibliographic Information
      • Archive
    • Molecular and Clinical Oncology
      • Information for Authors
      • Editorial Policies
      • Editorial Board
      • Aims and Scope
      • Abstracting and Indexing
      • Bibliographic Information
      • Archive
    • Molecular Medicine Reports
      • Information for Authors
      • Editorial Policies
      • Editorial Board
      • Aims and Scope
      • Abstracting and Indexing
      • Bibliographic Information
      • Archive
    • Oncology Letters
      • Information for Authors
      • Editorial Policies
      • Editorial Board
      • Aims and Scope
      • Abstracting and Indexing
      • Bibliographic Information
      • Archive
    • Oncology Reports
      • Information for Authors
      • Editorial Policies
      • Editorial Board
      • Aims and Scope
      • Abstracting and Indexing
      • Bibliographic Information
      • Archive
    • World Academy of Sciences Journal
      • Information for Authors
      • Editorial Policies
      • Editorial Board
      • Aims and Scope
      • Abstracting and Indexing
      • Bibliographic Information
      • Archive
  • Articles
  • Information
    • For Authors
    • For Reviewers
    • For Librarians
    • For Advertisers
    • Conferences
  • Language Editing
Login Register Submit
  • This site uses cookies
  • You can change your cookie settings at any time by following the instructions in our Cookie Policy. To find out more, you may read our Privacy Policy.

    I agree
Search articles by DOI, keyword, author or affiliation
Search
Advanced Search
presentation
Molecular Medicine Reports
Join Editorial Board Propose a Special Issue
Print ISSN: 1791-2997 Online ISSN: 1791-3004
Journal Cover
October-2019 Volume 20 Issue 4

Full Size Image

Sign up for eToc alerts
Recommend to Library

Journals

International Journal of Molecular Medicine

International Journal of Molecular Medicine

International Journal of Molecular Medicine is an international journal devoted to molecular mechanisms of human disease.

International Journal of Oncology

International Journal of Oncology

International Journal of Oncology is an international journal devoted to oncology research and cancer treatment.

Molecular Medicine Reports

Molecular Medicine Reports

Covers molecular medicine topics such as pharmacology, pathology, genetics, neuroscience, infectious diseases, molecular cardiology, and molecular surgery.

Oncology Reports

Oncology Reports

Oncology Reports is an international journal devoted to fundamental and applied research in Oncology.

Experimental and Therapeutic Medicine

Experimental and Therapeutic Medicine

Experimental and Therapeutic Medicine is an international journal devoted to laboratory and clinical medicine.

Oncology Letters

Oncology Letters

Oncology Letters is an international journal devoted to Experimental and Clinical Oncology.

Biomedical Reports

Biomedical Reports

Explores a wide range of biological and medical fields, including pharmacology, genetics, microbiology, neuroscience, and molecular cardiology.

Molecular and Clinical Oncology

Molecular and Clinical Oncology

International journal addressing all aspects of oncology research, from tumorigenesis and oncogenes to chemotherapy and metastasis.

World Academy of Sciences Journal

World Academy of Sciences Journal

Multidisciplinary open-access journal spanning biochemistry, genetics, neuroscience, environmental health, and synthetic biology.

International Journal of Functional Nutrition

International Journal of Functional Nutrition

Open-access journal combining biochemistry, pharmacology, immunology, and genetics to advance health through functional nutrition.

International Journal of Epigenetics

International Journal of Epigenetics

Publishes open-access research on using epigenetics to advance understanding and treatment of human disease.

Medicine International

Medicine International

An International Open Access Journal Devoted to General Medicine.

Journal Cover
October-2019 Volume 20 Issue 4

Full Size Image

Sign up for eToc alerts
Recommend to Library

  • Article
  • Citations
    • Cite This Article
    • Download Citation
    • Create Citation Alert
    • Remove Citation Alert
    • Cited By
  • Similar Articles
    • Related Articles (in Spandidos Publications)
    • Similar Articles (Google Scholar)
    • Similar Articles (PubMed)
  • Download PDF
  • Download XML
  • View XML

  • Supplementary Files
    • Supplementary_Data.pdf
Article Open Access

Methylophiopogonanone B of Radix Ophiopogonis protects cells from H2O2‑induced apoptosis through the NADPH oxidase pathway in HUVECs

  • Authors:
    • Liling Wang
    • Yifeng Zhou
    • Yuchuan Qin
    • Yanbin Wang
    • Bentong Liu
    • Ru Fang
    • Minge Bai
  • View Affiliations / Copyright

    Affiliations: Zhejiang Academy of Forestry, Zhejiang University of Science and Technology, Hangzhou, Zhejiang 310023, P.R. China, School of Biological and Chemical Engineering, Zhejiang University of Science and Technology, Hangzhou, Zhejiang 310023, P.R. China
    Copyright: © Wang et al. This is an open access article distributed under the terms of Creative Commons Attribution License.
  • Pages: 3691-3700
    |
    Published online on: August 29, 2019
       https://doi.org/10.3892/mmr.2019.10625
  • Expand metrics +
Metrics: Total Views: 0 (Spandidos Publications: | PMC Statistics: )
Metrics: Total PDF Downloads: 0 (Spandidos Publications: | PMC Statistics: )
Cited By (CrossRef): 0 citations Loading Articles...

This article is mentioned in:



Abstract

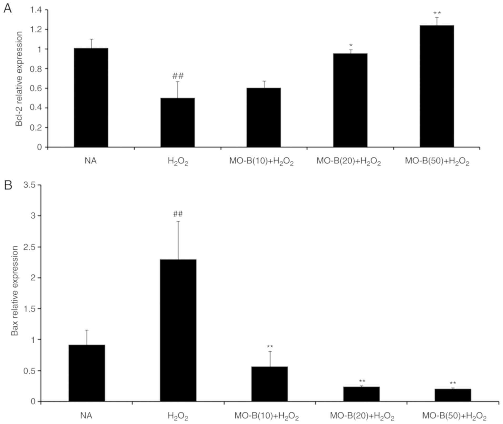
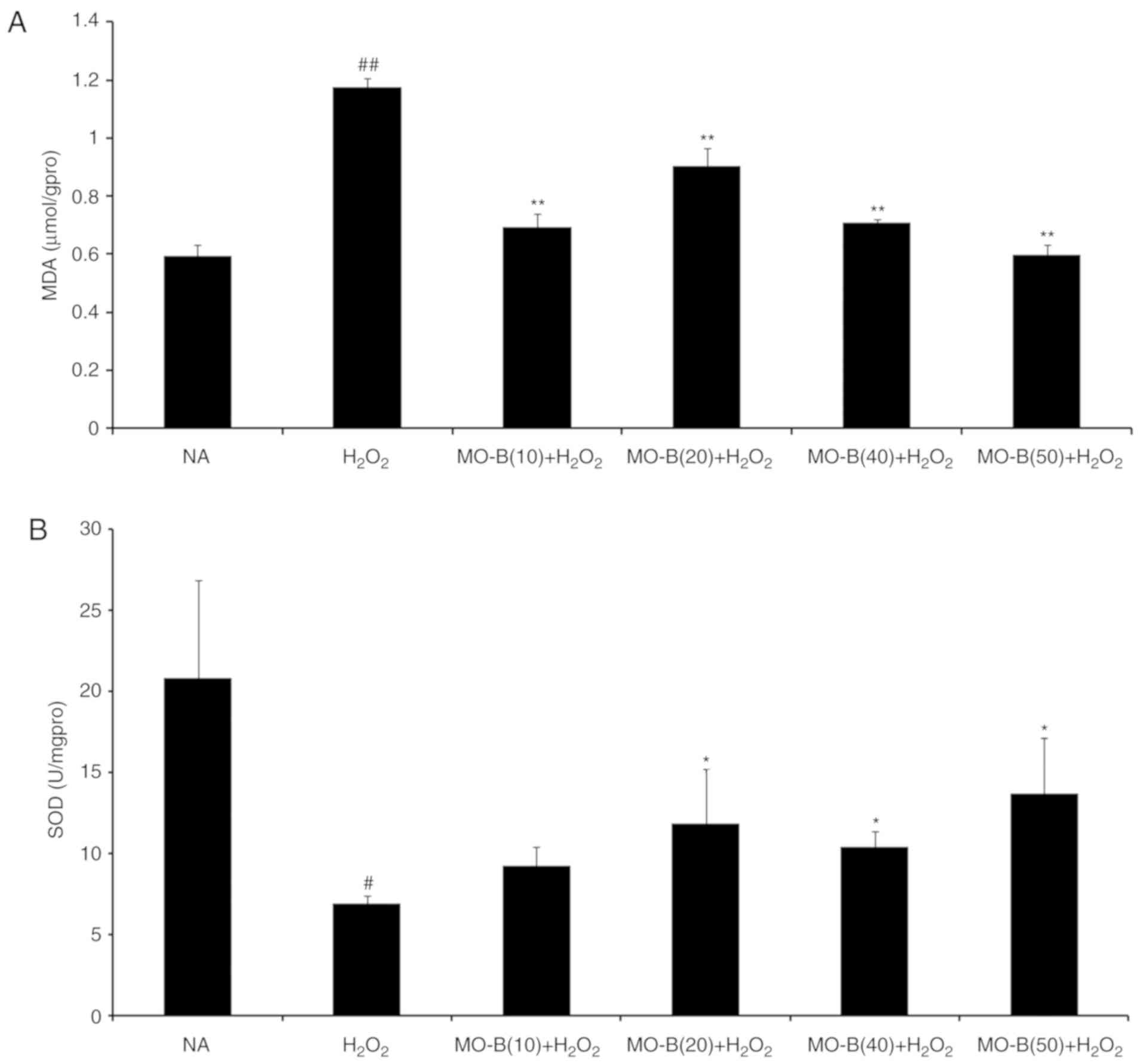
Methylophiopogonanone B (MO‑B), which belongs to a group of homoisoflavonoids, present in Ophiopogon japonicus, has been identified as an active component with antioxidative and anti‑tumor properties. The present study investigated whether MO‑B may exert protective effects on human umbilical vein endothelial cells (HUVECs) against H2O2‑induced injury in vitro, and whether the MO‑B effects may be modulated by the NADPH pathway. HUVECs were treated with MO‑B in the presence or absence of H2O2. Malondialdehyde (MDA), reactive oxygen species (ROS) levels, and superoxide dismutase (SOD) activity were analyzed to evaluate cell injury and the antioxidative potential of MO‑B. The results revealed that MO‑B inhibited the production of MDA and ROS, but enhanced SOD activity. Furthermore, MO‑B could alleviate H2O2‑induced apoptosis in HUVECs, which is consistent with the expression of apoptosis‑associated genes and proteins in cells, including Bax/Bcl‑2 and caspase‑3. To explore the potential mechanism, the present study investigated the effects of MO‑B on NADPH‑related signaling via the analysis of neutrophil cytochrome b light chain (p22phox) expression, which is the membrane‑associated subunit of NADPH oxidase. MO‑B could improve the survival of endothelial cells and therefore may be a potential drug in the treatment of cardiovascular diseases.
View Figures

Figure 1

Figure 2

Figure 3

Figure 4

Figure 5

Figure 6

View References

1 

Benjamin EJ, Blaha MJ, Chiuve SE, Cushman M, Das SR, Deo R, de Ferranti SD, Floyd J, Fornage M, Gillespie C, et al: Heart disease and stroke statistics-2017 update: A report from the American Heart Association. Circulation. 135:e146–e603. 2017. View Article : Google Scholar : PubMed/NCBI

2 

Lockshin RA and Zakeri Z: Programmed cell death and apoptosis: Origins of the theory. Nat Rev Mol Cell Biol. 2:545–550. 2001. View Article : Google Scholar : PubMed/NCBI

3 

Dimmeler S, Hermann C and Zeither AM: Apoptosis of endothelial cells: Contribution to the pathophysiology of atherosclerosis. Eur Cytokine Netw. 9:697–698. 1998.PubMed/NCBI

4 

Sharifpanah F and Sauer H: Reactive oxygen species, oxidative stress, and cardiovascular diseasesOxidative Stress and Antioxidant Protection: The Science of Free Radical Biology and Disease. Armstrong D and Stratton RD: John Wiley & Sons Inc.; Hoboken, NJ: pp. 281–306. 2016, View Article : Google Scholar

5 

Zhu YZ, Huang SH, Tan BK, Sun J, Whiteman M and Zhu YC: Antioxidants in Chinese herbal medicines: A biochemical perspective. Nat Prod Rep. 21:478–489. 2004. View Article : Google Scholar : PubMed/NCBI

6 

Lu LY, Zheng GQ and Wang Y: An overview of systematic reviews of shenmai injection for healthcare. Evid Based Complement Alternat Med. 2014:8406502014. View Article : Google Scholar : PubMed/NCBI

7 

Chen HD, Xie YM, Wang LX and Wu JB: Systematic review of efficacy and safety of shenmai injection for chronic heart failure. Zhongguo Zhong Yao Za Zhi. 39:3650–3661. 2014.(In Chinese). PubMed/NCBI

8 

Jun F and Xu Z: Advancement in research of pharmacological functions of Radix Ophiopogonis on cardiovascular system. J Nanjing Univ Tradit Chin Med. 22:270–272. 2006.

9 

Zhao M, Xu W, Shen HY, Shen PQ, Zhang J, Wang DD, Xu H, Wang H, Yan TT, Wang L, et al: Comparison of bioactive components and pharmacological activities of Ophiopogon japonicas extracts from different geographical origins. J Pharm Biomed Anal. 138:134–141. 2017. View Article : Google Scholar : PubMed/NCBI

10 

Yu BY: Exploration on the modern research methodology of traditional chinese medicine, basing on the systemic research of Radix Ophiopogonis. Chin J Nat Med Jan. 5:10–14. 2007.

11 

Chen MH, Chen XJ, Wang M, Lin LG and Wang YT: Ophiopogon japonicas-A phytochemical, ethnomedicinal and pharmacological review. J Ethnopharmacol. 181:193–213. 2016. View Article : Google Scholar : PubMed/NCBI

12 

Fan XH, Wang Y and Cheng YY: LC/MS fingerprinting of Shenmai injection: A novel approach to quality control of herbal medicines. J Pharm Biomed Anal. 40:591–597. 2006. View Article : Google Scholar : PubMed/NCBI

13 

Gu SL, Xu SS, Ji K, Yang QH, Lu WW, Jia YS and Wang N: Effects of maidong on experimental myocardial infarction and submicrostructure in myocardial hypoxia. Shanghai J Tradit Chin Med. 3:44–45. 1983.

14 

Wang Y, Liu F, Liang Z, Peng L, Wang B, Yu J, Su Y and Ma C: Homoisoflavonoids and the antioxidant activity of Ophiopogon japonicus root. Iran J Pharm Res. 16:357–365. 2017.PubMed/NCBI

15 

Ito Y, Kanamaru AA and Akihiro T: A novel agent, methylophiopogonanone B, promotes Rho activation and tubulin depolymerization. Mol Cell Biochem. 297:121–129. 2007. View Article : Google Scholar : PubMed/NCBI

16 

Fujii M, Egawa K, Hirai Y, Kondo M, Fujii K, Uekusa H, Akita H, Nose K, Toriizuka K and Ida Y: Dihydrochalcone designed from methylophiopogonanone B strongly inhibits hypoxia-inducible factor (HIF)-1α activity. Heterocycles. 78:2061–2065. 2009. View Article : Google Scholar

17 

Ito Y, Kanamaru A and Tada A: Effects of methylophiopogonanone B on melanosome transfer and dendrite retraction. J Dermatol Sci. 42:68–70. 2006. View Article : Google Scholar : PubMed/NCBI

18 

Wang KW, Zhang H, Shen LQ and Wang W: Novel steroidal saponins from liriope graminifolia (Linn.) baker with anti-tumor activities. Carbohydr Res. 346:253–258. 2011. View Article : Google Scholar : PubMed/NCBI

19 

Zhou Y, Wang L, Liu T, Mao Z, Ge Q and Mao J: Isolation of homoisoflavonoids from the fibrous roots of Ophiopogon japonicus by recycling high-speed counter-currentchromatography and online antioxidant activity assay. Acta Chromatogr. Oct 14–2018.(Epub ahead of print). doi.org/10.1556/1326.2018.00509. View Article : Google Scholar

20 

Livak KJ and Schmittgen TD: Analysis of relative gene expression data using real-time quantitative PCR and the 2(-Delta Delta C(T)) method. Methods. 25:402–408. 2001. View Article : Google Scholar : PubMed/NCBI

21 

Gaweł S, Wardas M, Niedworok E and Wardas P: Malondialdehyde (MDA) as a lipid peroxidation marker. Wiad Lek. 57:453–455. 2004.(In Polish). PubMed/NCBI

22 

Zelko IN, Mariani TJ and Folz RJ: Superoxide dismutase multigene family: A comparison of the CuZn-SOD (SOD1), Mn-SOD (SOD2), and EC-SOD (SOD3) gene structures, evolution, and expression. Free Radic Biol Med. 33:337–349. 2002. View Article : Google Scholar : PubMed/NCBI

23 

Cleary ML, Smith SD and Sklar AJ: Cloning and structural analysis of cDNAs for bcl-2 and a hybrid bcl-2/immunoglobulin transcript resulting from the t(14;18) translocation. Cell. 47:19–28. 1986. View Article : Google Scholar : PubMed/NCBI

24 

Gross A, Mcdonnell JM and Korsmeyer SJ: Bcl-2 family members and the mitochondria in apoptosis. Genes Dev. 13:1899–1911. 1999. View Article : Google Scholar : PubMed/NCBI

25 

Cohen GM: Caspases: The executioners of apoptosis. Biochem J. 326:1–16. 1997. View Article : Google Scholar : PubMed/NCBI

26 

Enari M, Sakahira H, Yokoyama H, Okawa K, Iwamatsu A and Nagata S: A caspase-activated DNase that degrades DNA during apoptosis, and its inhibitor ICAD. Nature. 391:43–50. 1998. View Article : Google Scholar : PubMed/NCBI

27 

Porter AG and Jänicke RU: Emerging roles of caspase-3 in apoptosis. Cell Death Differ. 6:99–104. 1999. View Article : Google Scholar : PubMed/NCBI

28 

Xia F, Wang C, Jin Y, Liu Q, Meng Q, Liu K and Sun H: Luteolin protects HUVECs from TNF-α-induced oxidative stress and inflammation via its effects on the Nox4/ROS-NF-κB and MAPK pathways. J Atheroscler Thromb. 21:768–783. 2014. View Article : Google Scholar : PubMed/NCBI

29 

Jiang HB, Huang J, Guo MJ, Zou P and Tian XQ: Recent advances in the study of natural homoisoflavonoids. Yao Xue Xue Bao. 42:118–126. 2007.(In Chinese). PubMed/NCBI

30 

Hung TM, Thu CV, Dat NT, Ryoo SW, Lee JH, Kim JC, Na M, Jung HJ, Bae K and Min BS: Homoisoflavonoid derivatives from the roots of Ophiopogon japonicus and their in vitro anti-inflammation activity. Bioorg Med Chem Lett. 20:2412–2416. 2010. View Article : Google Scholar : PubMed/NCBI

31 

Damodar K, Lee J, Kim JK and Jun JG: Synthesis and in vitro evaluation of homoisoflavonoids as potent inhibitors of nitric oxide production in RAW-264.7 cells. Bioorg Med Chem Lett. 28:2098–2102. 2018. View Article : Google Scholar : PubMed/NCBI

32 

Siddaiah V, Maheswara M, Venkata Rao C, Venkateswarlu S and Subbaraju GV: Synthesis, structural revision, and antioxidant activities of antimutagenic homoisoflavonoids from Hoffmanosseggia intricata. Bioorg Med Chem Lett. 17:1288–1290. 2007. View Article : Google Scholar : PubMed/NCBI

33 

Zhou YF, Qi J, Zhu DN and Yu BY: Homoisoflavonoids from Ophiopogon japonicus and its oxygen free radicals (OFRs) scavenging effects. Chin J Nat Med. 6:201–204. 2008. View Article : Google Scholar

34 

El-Elimat T, Rivera-Chávez J, Burdette JE, Czarnecki A, Alhawarri MB, Al-Gharaibeh M, Alali F and Oberlies NH: Cytotoxic homoisoflavonoids from the bulbs of Bellevalia flexuosa. Fitoterapia. 127:201–206. 2018. View Article : Google Scholar : PubMed/NCBI

35 

Duan CL, Kang ZY, Lin CR, Jiang Y, Liu JX and Tu PF: Two new homoisoflavonoids from the fibrous roots of Ophiopogon japonicus (Thunb.) Ker-Gawl. J Asian Nat Prod Res. 11:876–879. 2009. View Article : Google Scholar : PubMed/NCBI

36 

Alali F, El-Elimat T, Albataineh H, Al-Balas Q, Al-Gharaibeh M, Falkinham JO III, Chen WL, Swanson SM and Oberlies NH: Cytotoxic homoisoflavones from the bulbs of Bellevalia eigii. J Nat Prod. 78:1708–1715. 2015. View Article : Google Scholar : PubMed/NCBI

37 

Wang H, Fowler MI, Messenge DJ, Terry LA, Gu X, Zhou L, Liu R, Su J, Shi S, Ordaz-Ortiz JJ, et al: Homoisoflavonoids are potent glucose transporter 2(GLUT2) inhibitors: A potential mechanism for the glucose-lowering properties of Polygonatum odoratum. J Agric Food Chem. 66:3137–3145. 2018. View Article : Google Scholar : PubMed/NCBI

38 

Lee B, Sun W, Lee H, Basavarajappa H, Sulaiman RS, Sishtla K, Fei X, Corson TW and Seo SY: Design, synthesis and biological evaluation of photoaffinity probes of antiangiogenic homoisoflavonoids. Bioorg Med Chem Lett. 26:4277–4281. 2016. View Article : Google Scholar : PubMed/NCBI

39 

Amin SA, Adhikari N, Gayen S and Jha T: Homoisoflavonoids as potential antiangiogenic agents for retinal neovascularization. Biomed Pharmacother. 95:818–827. 2017. View Article : Google Scholar : PubMed/NCBI

40 

He F, Xu BL, Chen C, Jia HJ, Wu JX, Wang XC, Sheng JL, Huang L and Cheng J: Methylophiopogonanone A suppresses ischemia/reperfusion-induced myocardial apoptosis in mice via activating PI3K/Akt/eNOS signaling pathway. Acta Pharmacol Sin. 37:763–771. 2016. View Article : Google Scholar : PubMed/NCBI

41 

Lin M, Sun W, Gong W, Zhou Z, Ding Y and Hou Q: Methylophiopogonanone a protects against cerebral ischemia/reperfusion injury and attenuates blood-brain barrier disruption in vitro. PLoS One. 10:e01245582015. View Article : Google Scholar : PubMed/NCBI

42 

Richard V, Kindt N and Saussez S: Macrophage migration inhibitory factor involvement in breast cancer (Review). Int J Oncol. 47:1627–1633. 2015. View Article : Google Scholar : PubMed/NCBI

43 

Günther S, Fagone P, Jalce G, Atanasov AG, Guignabert C and Nicoletti F: Role of MIF and D-DT in immune-inflammatory, autoimmune, and chronic respiratory diseases: From pathogenic factors to therapeutic targets. Drug Discov Today. 24:428–439. 2019. View Article : Google Scholar : PubMed/NCBI

44 

Fagone P, Mazzon E, Cavalli E, Bramanti A, Petralia MC, Mangano K, Al-Abed Y, Bramati P and Nicoletti F: Contribution of the macrophage migration inhibitory factor superfamily of cytokines in the pathogenesis of preclinical and human multiple sclerosis: In silico and in vivo evidences. J Neuroimmunol. 322:46–56. 2018. View Article : Google Scholar : PubMed/NCBI

45 

Presti M, Mazzon E, Basile MS, Petralia MC, Bramant A, Colletti G, Bramanti P, Nicoletti F and Fagone P: Overexpression of macrophage migration inhibitory factor and functionally-related genes, D-DT, CD74, CD44, CXCR2 and CXCR4, in glioblastoma. Oncol Lett. 16:2881–2886. 2018.PubMed/NCBI

46 

Mangano K, Mazzon E, Basile MS, Marco R, Bramanti P, Mammana S, Petralia MC, Fagone P and Nicoletti F: Pathogenic role for macrophage migration inhibitory factor in glioblastoma and its targeting with specific inhibitors as novel tailored therapeutic approach. Oncotarget. 9:17951–17970. 2018. View Article : Google Scholar : PubMed/NCBI

47 

Kindt N, Journe F, Laurent G and Saussez S: Involvement of macrophage migration inhibitory factor in cancer and novel therapeutic targets. Oncol Lett. 12:2247–2253. 2016. View Article : Google Scholar : PubMed/NCBI

48 

Lin Y, Zhu D, Qi J, Qin M and Yu B: Characterization of homoisoflavonoids in different cultivation regions of Ophiopogon japonicus and related antioxidant activity. J Pharm Biomed Anal. 52:757–762. 2010. View Article : Google Scholar : PubMed/NCBI

49 

Yapislar H and Taskin E: L-carnosine alters some hemorheologic and lipid peroxidation parameters in nephrectomized rats. Med Sci Monit. 20:399–405. 2014. View Article : Google Scholar : PubMed/NCBI

50 

Tsikas D: Assessment of lipid peroxidation by measuring malondialdehyde (MDA) and relatives in biological samples: Analytical and biological challenges. Anal Biochem. 524:13–30. 2017. View Article : Google Scholar : PubMed/NCBI

51 

Jin Y, Liu K, Peng J, Wang C, Kang L, Chang N and Sun H: Rhizoma Dioscoreae Nipponicae polysaccharides protect HUVECs from H2O2-induced injury by regulating PPARγ factor and the NADPH oxidase/ROS-NF-κB signal pathway. Toxicol Lett. 232:149–158. 2015. View Article : Google Scholar : PubMed/NCBI

52 

Atig F, Raffa M, Ali HB, Abdelhamid K, Saad A and Ajina M: Altered antioxidant status and increased lipid per-oxidation in seminal plasma of tunisian infertile men. Int J Biol Sci. 8:139–149. 2012. View Article : Google Scholar : PubMed/NCBI

53 

Siddiqui WA, Ahad A and Ahsan H: The mystery of BCL2 family: Bcl-2 proteins and apoptosis: An update. Arch Toxicol. 89:289–317. 2015. View Article : Google Scholar : PubMed/NCBI

54 

Boatright KM and Salvesen GS: Mechanisms of caspase activation. Curr Opin Cell Biol. 15:725–731. 2003. View Article : Google Scholar : PubMed/NCBI

55 

Zafari AM, Ushio-Fukai M, Akers M, Yin Q, Shah A, Harrison DG, Taylor WR and Griendling KK: Role of NADH/NADPH oxidase-derived H2O2 in angiotensin II-induced vascular hypertrophy. Hypertension. 32:488–495. 1998. View Article : Google Scholar : PubMed/NCBI

56 

Drummond GR, Selemidis S, Griendling KK and Sobey CG: Combating oxidative stress in vascular disease: NADPH oxidases as therapeutic targets. Nat Rev Drug Discov. 10:453–471. 2011. View Article : Google Scholar : PubMed/NCBI

57 

Schramm A, Matusik P, Osmenda G and Guzik TJ: Targeting NADPH oxidases in vascular pharmacology. Vascul Pharmacol. 56:216–231. 2012. View Article : Google Scholar : PubMed/NCBI

58 

San José G, Fortuño A, Beloqui O, Díez J and Zalba G: NADPH oxidase CYBA polymorphisms, oxidative stress and cardiovascular diseases. Clin Sci (Lond). 114:173–182. 2008. View Article : Google Scholar : PubMed/NCBI

59 

Djordjevic T, Pogrebniak A, BelAiba RS, Bonello S, Wotzlaw C, Acker H, Hess J and Görlach A: The expression of the NADPH oxidase subunit p22phox is regulated by a redox-sensitive pathway in endothelial cells. Free Radic Biol Med. 38:616–630. 2005. View Article : Google Scholar : PubMed/NCBI

Related Articles

  • Abstract
  • View
  • Download
  • Twitter
Copy and paste a formatted citation
Spandidos Publications style
Wang L, Zhou Y, Qin Y, Wang Y, Liu B, Fang R and Bai M: Methylophiopogonanone B of Radix Ophiopogonis protects cells from H2O2‑induced apoptosis through the NADPH oxidase pathway in HUVECs. Mol Med Rep 20: 3691-3700, 2019.
APA
Wang, L., Zhou, Y., Qin, Y., Wang, Y., Liu, B., Fang, R., & Bai, M. (2019). Methylophiopogonanone B of Radix Ophiopogonis protects cells from H2O2‑induced apoptosis through the NADPH oxidase pathway in HUVECs. Molecular Medicine Reports, 20, 3691-3700. https://doi.org/10.3892/mmr.2019.10625
MLA
Wang, L., Zhou, Y., Qin, Y., Wang, Y., Liu, B., Fang, R., Bai, M."Methylophiopogonanone B of Radix Ophiopogonis protects cells from H2O2‑induced apoptosis through the NADPH oxidase pathway in HUVECs". Molecular Medicine Reports 20.4 (2019): 3691-3700.
Chicago
Wang, L., Zhou, Y., Qin, Y., Wang, Y., Liu, B., Fang, R., Bai, M."Methylophiopogonanone B of Radix Ophiopogonis protects cells from H2O2‑induced apoptosis through the NADPH oxidase pathway in HUVECs". Molecular Medicine Reports 20, no. 4 (2019): 3691-3700. https://doi.org/10.3892/mmr.2019.10625
Copy and paste a formatted citation
x
Spandidos Publications style
Wang L, Zhou Y, Qin Y, Wang Y, Liu B, Fang R and Bai M: Methylophiopogonanone B of Radix Ophiopogonis protects cells from H2O2‑induced apoptosis through the NADPH oxidase pathway in HUVECs. Mol Med Rep 20: 3691-3700, 2019.
APA
Wang, L., Zhou, Y., Qin, Y., Wang, Y., Liu, B., Fang, R., & Bai, M. (2019). Methylophiopogonanone B of Radix Ophiopogonis protects cells from H2O2‑induced apoptosis through the NADPH oxidase pathway in HUVECs. Molecular Medicine Reports, 20, 3691-3700. https://doi.org/10.3892/mmr.2019.10625
MLA
Wang, L., Zhou, Y., Qin, Y., Wang, Y., Liu, B., Fang, R., Bai, M."Methylophiopogonanone B of Radix Ophiopogonis protects cells from H2O2‑induced apoptosis through the NADPH oxidase pathway in HUVECs". Molecular Medicine Reports 20.4 (2019): 3691-3700.
Chicago
Wang, L., Zhou, Y., Qin, Y., Wang, Y., Liu, B., Fang, R., Bai, M."Methylophiopogonanone B of Radix Ophiopogonis protects cells from H2O2‑induced apoptosis through the NADPH oxidase pathway in HUVECs". Molecular Medicine Reports 20, no. 4 (2019): 3691-3700. https://doi.org/10.3892/mmr.2019.10625
Follow us
  • Twitter
  • LinkedIn
  • Facebook
About
  • Spandidos Publications
  • Careers
  • Cookie Policy
  • Privacy Policy
How can we help?
  • Help
  • Live Chat
  • Contact
  • Email to our Support Team