Spandidos Publications Logo
  • About
    • About Spandidos
    • Aims and Scopes
    • Abstracting and Indexing
    • Editorial Policies
    • Reprints and Permissions
    • Job Opportunities
    • Terms and Conditions
    • Contact
  • Journals
    • All Journals
    • Oncology Letters
      • Oncology Letters
      • Information for Authors
      • Editorial Policies
      • Editorial Board
      • Aims and Scope
      • Abstracting and Indexing
      • Bibliographic Information
      • Archive
    • International Journal of Oncology
      • International Journal of Oncology
      • Information for Authors
      • Editorial Policies
      • Editorial Board
      • Aims and Scope
      • Abstracting and Indexing
      • Bibliographic Information
      • Archive
    • Molecular and Clinical Oncology
      • Molecular and Clinical Oncology
      • Information for Authors
      • Editorial Policies
      • Editorial Board
      • Aims and Scope
      • Abstracting and Indexing
      • Bibliographic Information
      • Archive
    • Experimental and Therapeutic Medicine
      • Experimental and Therapeutic Medicine
      • Information for Authors
      • Editorial Policies
      • Editorial Board
      • Aims and Scope
      • Abstracting and Indexing
      • Bibliographic Information
      • Archive
    • International Journal of Molecular Medicine
      • International Journal of Molecular Medicine
      • Information for Authors
      • Editorial Policies
      • Editorial Board
      • Aims and Scope
      • Abstracting and Indexing
      • Bibliographic Information
      • Archive
    • Biomedical Reports
      • Biomedical Reports
      • Information for Authors
      • Editorial Policies
      • Editorial Board
      • Aims and Scope
      • Abstracting and Indexing
      • Bibliographic Information
      • Archive
    • Oncology Reports
      • Oncology Reports
      • Information for Authors
      • Editorial Policies
      • Editorial Board
      • Aims and Scope
      • Abstracting and Indexing
      • Bibliographic Information
      • Archive
    • Molecular Medicine Reports
      • Molecular Medicine Reports
      • Information for Authors
      • Editorial Policies
      • Editorial Board
      • Aims and Scope
      • Abstracting and Indexing
      • Bibliographic Information
      • Archive
    • World Academy of Sciences Journal
      • World Academy of Sciences Journal
      • Information for Authors
      • Editorial Policies
      • Editorial Board
      • Aims and Scope
      • Abstracting and Indexing
      • Bibliographic Information
      • Archive
    • International Journal of Functional Nutrition
      • International Journal of Functional Nutrition
      • Information for Authors
      • Editorial Policies
      • Editorial Board
      • Aims and Scope
      • Abstracting and Indexing
      • Bibliographic Information
      • Archive
    • International Journal of Epigenetics
      • International Journal of Epigenetics
      • Information for Authors
      • Editorial Policies
      • Editorial Board
      • Aims and Scope
      • Abstracting and Indexing
      • Bibliographic Information
      • Archive
    • Medicine International
      • Medicine International
      • Information for Authors
      • Editorial Policies
      • Editorial Board
      • Aims and Scope
      • Abstracting and Indexing
      • Bibliographic Information
      • Archive
  • Articles
  • Information
    • Information for Authors
    • Information for Reviewers
    • Information for Librarians
    • Information for Advertisers
    • Conferences
  • Language Editing
Spandidos Publications Logo
  • About
    • About Spandidos
    • Aims and Scopes
    • Abstracting and Indexing
    • Editorial Policies
    • Reprints and Permissions
    • Job Opportunities
    • Terms and Conditions
    • Contact
  • Journals
    • All Journals
    • Biomedical Reports
      • Information for Authors
      • Editorial Policies
      • Editorial Board
      • Aims and Scope
      • Abstracting and Indexing
      • Bibliographic Information
      • Archive
    • Experimental and Therapeutic Medicine
      • Information for Authors
      • Editorial Policies
      • Editorial Board
      • Aims and Scope
      • Abstracting and Indexing
      • Bibliographic Information
      • Archive
    • International Journal of Epigenetics
      • Information for Authors
      • Editorial Policies
      • Editorial Board
      • Aims and Scope
      • Abstracting and Indexing
      • Bibliographic Information
      • Archive
    • International Journal of Functional Nutrition
      • Information for Authors
      • Editorial Policies
      • Editorial Board
      • Aims and Scope
      • Abstracting and Indexing
      • Bibliographic Information
      • Archive
    • International Journal of Molecular Medicine
      • Information for Authors
      • Editorial Policies
      • Editorial Board
      • Aims and Scope
      • Abstracting and Indexing
      • Bibliographic Information
      • Archive
    • International Journal of Oncology
      • Information for Authors
      • Editorial Policies
      • Editorial Board
      • Aims and Scope
      • Abstracting and Indexing
      • Bibliographic Information
      • Archive
    • Medicine International
      • Information for Authors
      • Editorial Policies
      • Editorial Board
      • Aims and Scope
      • Abstracting and Indexing
      • Bibliographic Information
      • Archive
    • Molecular and Clinical Oncology
      • Information for Authors
      • Editorial Policies
      • Editorial Board
      • Aims and Scope
      • Abstracting and Indexing
      • Bibliographic Information
      • Archive
    • Molecular Medicine Reports
      • Information for Authors
      • Editorial Policies
      • Editorial Board
      • Aims and Scope
      • Abstracting and Indexing
      • Bibliographic Information
      • Archive
    • Oncology Letters
      • Information for Authors
      • Editorial Policies
      • Editorial Board
      • Aims and Scope
      • Abstracting and Indexing
      • Bibliographic Information
      • Archive
    • Oncology Reports
      • Information for Authors
      • Editorial Policies
      • Editorial Board
      • Aims and Scope
      • Abstracting and Indexing
      • Bibliographic Information
      • Archive
    • World Academy of Sciences Journal
      • Information for Authors
      • Editorial Policies
      • Editorial Board
      • Aims and Scope
      • Abstracting and Indexing
      • Bibliographic Information
      • Archive
  • Articles
  • Information
    • For Authors
    • For Reviewers
    • For Librarians
    • For Advertisers
    • Conferences
  • Language Editing
Login Register Submit
  • This site uses cookies
  • You can change your cookie settings at any time by following the instructions in our Cookie Policy. To find out more, you may read our Privacy Policy.

    I agree
Search articles by DOI, keyword, author or affiliation
Search
Advanced Search
presentation
Molecular Medicine Reports
Join Editorial Board Propose a Special Issue
Print ISSN: 1791-2997 Online ISSN: 1791-3004
Journal Cover
April-2023 Volume 27 Issue 4

Full Size Image

Sign up for eToc alerts
Recommend to Library

Journals

International Journal of Molecular Medicine

International Journal of Molecular Medicine

International Journal of Molecular Medicine is an international journal devoted to molecular mechanisms of human disease.

International Journal of Oncology

International Journal of Oncology

International Journal of Oncology is an international journal devoted to oncology research and cancer treatment.

Molecular Medicine Reports

Molecular Medicine Reports

Covers molecular medicine topics such as pharmacology, pathology, genetics, neuroscience, infectious diseases, molecular cardiology, and molecular surgery.

Oncology Reports

Oncology Reports

Oncology Reports is an international journal devoted to fundamental and applied research in Oncology.

Experimental and Therapeutic Medicine

Experimental and Therapeutic Medicine

Experimental and Therapeutic Medicine is an international journal devoted to laboratory and clinical medicine.

Oncology Letters

Oncology Letters

Oncology Letters is an international journal devoted to Experimental and Clinical Oncology.

Biomedical Reports

Biomedical Reports

Explores a wide range of biological and medical fields, including pharmacology, genetics, microbiology, neuroscience, and molecular cardiology.

Molecular and Clinical Oncology

Molecular and Clinical Oncology

International journal addressing all aspects of oncology research, from tumorigenesis and oncogenes to chemotherapy and metastasis.

World Academy of Sciences Journal

World Academy of Sciences Journal

Multidisciplinary open-access journal spanning biochemistry, genetics, neuroscience, environmental health, and synthetic biology.

International Journal of Functional Nutrition

International Journal of Functional Nutrition

Open-access journal combining biochemistry, pharmacology, immunology, and genetics to advance health through functional nutrition.

International Journal of Epigenetics

International Journal of Epigenetics

Publishes open-access research on using epigenetics to advance understanding and treatment of human disease.

Medicine International

Medicine International

An International Open Access Journal Devoted to General Medicine.

Journal Cover
April-2023 Volume 27 Issue 4

Full Size Image

Sign up for eToc alerts
Recommend to Library

  • Article
  • Citations
    • Cite This Article
    • Download Citation
    • Create Citation Alert
    • Remove Citation Alert
    • Cited By
  • Similar Articles
    • Related Articles (in Spandidos Publications)
    • Similar Articles (Google Scholar)
    • Similar Articles (PubMed)
  • Download PDF
  • Download XML
  • View XML

  • Supplementary Files
    • Supplementary_Data.pdf
Article

Non‑viral transfection methods optimized for miRNA delivery to human dermal fibroblasts

  • Authors:
    • Mirosław Kucharski
    • Patrycja Mrowiec
    • Szymon Białka
    • Hanna Misiołek
    • Maciej Misiołek
    • Andrzej Sechman
    • Dorota Zięba-Przybylska
    • Ewa Ocłoń
  • View Affiliations / Copyright

    Affiliations: Department of Animal Physiology and Endocrinology, Anatomy and Genomics, University of Agriculture in Krakow, 30-059 Krakow, Poland, Department of Animal Reproduction, Anatomy and Genomics, University of Agriculture in Krakow, 30-059 Krakow, Poland, Department of Anesthesiology and Intensive Care, Faculty of Medical Sciences in Zabrze, Medical University of Silesia, 40-055 Katowice, Poland, Clinical Department of Otorhinolaryngology and Laryngological Oncology, Faculty of Medical Sciences in Zabrze, Medical University of Silesia, 40-055 Katowice, Poland, Department of Animal Nutrition and Biotechnology, and Fisheries, University of Agriculture in Krakow, 30-248 Krakow, Poland, Centre for Experimental and Innovative Medicine, Laboratory of Recombinant Proteins Production, University of Agriculture in Krakow, 30-248 Krakow, Poland
  • Article Number: 89
    |
    Published online on: March 7, 2023
       https://doi.org/10.3892/mmr.2023.12976
  • Expand metrics +
Metrics: Total Views: 0 (Spandidos Publications: | PMC Statistics: )
Metrics: Total PDF Downloads: 0 (Spandidos Publications: | PMC Statistics: )
Cited By (CrossRef): 0 citations Loading Articles...

This article is mentioned in:



Abstract

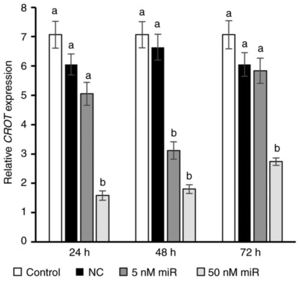
Fibroblasts are beneficial model cells for in vitro studies and are frequently used in tissue engineering. A number of transfection reagents have been employed to deliver microRNAs (miRNAs/miRs) into cells for genetic manipulation. The present study aimed to establish an effective method of transient miRNA mimic transfection into human dermal fibroblasts. The experimental conditions included three different methods: Physical/mechanical nucleofection, and two lipid‑based methods, Viromer® Blue and INTERFERin®. To evaluate the impact of these methods, cell viability and cytotoxicity assays were performed. The silencing effect of miR‑302b‑3p was revealed to alter the expression levels of its target gene carnitine O‑octanoyltransferase (CROT) by reverse transcription‑quantitative PCR. The present study showed that all selected non‑viral transient transfection systems exhibited good efficiency. It was also confirmed that nucleofection, for which a 21.4‑fold decrease in the expression of the CROT gene was observed 4 h after 50 nM hsa‑miR‑302b‑3p transfection, was the most effective method. However, these results indicated that lipid‑based reagents can maintain the silencing effect of miRNAs up to 72 h after transfection. In summary, these results indicated that nucleofection may be the optimal method for the transport of small miRNA mimics. However, lipid‑based methods allow for the use of lower concentrations of miRNA and maintain longer‑lasting effects.
View Figures

Figure 1

Figure 2

Figure 3

Figure 4

Figure 5

View References

1 

Maier AB and Westendorp RGJ: Relation between replicative senescence of human fibroblasts and life history characteristics. Ageing Res Rev. 8:237–243. 2009. View Article : Google Scholar : PubMed/NCBI

2 

Lago JC and Puzzi MB: The effect of aging in primary human dermal fibroblasts. PLoS One. 14:e02191652019. View Article : Google Scholar : PubMed/NCBI

3 

Gomes RN, Manuel F and Nascimento DS: The bright side of fibroblasts: Molecular signature and regenerative cues in major organs. NPJ Regen Med. 6:432021. View Article : Google Scholar : PubMed/NCBI

4 

Raab S, Klingenstein M, Liebau S and Linta L: A comparative view on human somatic cell sources for iPSC generation. Stem Cells Int. 2014:7683912014. View Article : Google Scholar : PubMed/NCBI

5 

Kim Y, Nam Y, Rim YA and Ju JH: Anti-fibrotic effect of a selective estrogen receptor modulator in systemic sclerosis. Stem Cell Res Ther. 13:3032022. View Article : Google Scholar : PubMed/NCBI

6 

Castro-Viñuelas R, Sanjurjo-Rodríguez C, Piñeiro-Ramil M, Hermida-Gómez T, Rodríguez-Fernández S, Oreiro N, de Toro J, Fuentes I, Blanco FJ and Díaz-Prado S: Generation and characterization of human induced pluripotent stem cells (iPSCs) from hand osteoarthritis patient-derived fibroblasts. Sci Rep. 10:42722020. View Article : Google Scholar : PubMed/NCBI

7 

Nuta O, Somaiah N, Boyle S, Chua ML, Gothard L, Yarnold J, Rothkamm K and Herskind C: Correlation between the radiation responses of fibroblasts cultured from individual patients and the risk of late reaction after breast radiotherapy. Cancer Lett. 374:324–330. 2016. View Article : Google Scholar : PubMed/NCBI

8 

Wang Y, Tu W, Tang Y and Zhang S: Prevention and treatment for radiation-induced skin injury during radiotherapy. Radiat Med Prot. 1:60–68. 2020. View Article : Google Scholar

9 

de Paepe B, Smet J, Leroy JG, Seneca S, George E, Matthys D, van Maldergem L, Scalais E, Lissens W, de Meirleir L, et al: Diagnostic value of immunostaining in cultured skin fibroblasts from patients with oxidative phosphorylation defects. Pediatr Res. 59:2–6. 2006. View Article : Google Scholar : PubMed/NCBI

10 

Oblong JE, Bowman A, Rovito HA, Jarrold BB, Sherrill JD, Black MR, Nelson G, Kimball AB and Birch-Machin MA: Metabolic dysfunction in human skin: Restoration of mitochondrial integrity and metabolic output by nicotinamide (niacinamide) in primary dermal fibroblasts from older aged donors. Aging Cell. 19:e132482020. View Article : Google Scholar : PubMed/NCBI

11 

Millioni R, Puricelli L, Iori E, Trevisan R and Tessari P: Skin fibroblasts as a tool for identifying the risk of nephropathy in the type 1 diabetic population. Diabetes Metab Res Rev. 28:62–70. 2012. View Article : Google Scholar : PubMed/NCBI

12 

Hu Y, Zhu Y, Lian N, Chen M, Bartke A and Yuan R: Metabolic syndrome and skin diseases. Front Endocrinol (Lausanne). 10:7882019. View Article : Google Scholar : PubMed/NCBI

13 

Auburger G, Klinkenberg M, Drost J, Marcus K, Morales-Gordo B, Kunz WS, Brandt U, Broccoli V, Reichmann H, Gispert S and Jendrach M: Primary skin fibroblasts as a model of Parkinson's disease. Mol Neurobiol. 46:20–27. 2012. View Article : Google Scholar : PubMed/NCBI

14 

Teves JMY, Bhargava V, Kirwan KR, Corenblum MJ, Justiniano R, Wondrak GT, Anandhan A, Flores AJ, Schipper DA, Khalpey Z, et al: Parkinson's disease skin fibroblasts display signature alterations in growth, redox homeostasis, mitochondrial function, and autophagy. Front Neurosci. 11:7372018. View Article : Google Scholar : PubMed/NCBI

15 

Mocali A, Della Malva N, Abete C, Mitidieri Costanza VA, Bavazzano A, Boddi V, Sanchez L, Dessì S, Pani A and Paoletti F: Altered proteolysis in fibroblasts of Alzheimer patients with predictive implications for subjects at risk of disease. Int J Alzheimers Dis. 2014:5201522014.PubMed/NCBI

16 

Drabik K, Malińska D, Piecyk K, Dębska-Vielhaber G, Vielhaber S, Duszyński J and Szczepanowska J: Effect of chronic stress present in fibroblasts derived from patients with a sporadic form of AD on mitochondrial function and mitochondrial turnover. Antioxidants (Basel). 10:9382021. View Article : Google Scholar : PubMed/NCBI

17 

Mesdom P, Colle R, Lebigot E, Trabado S, Deflesselle E, Fève B, Becquemont L, Corruble E and Verstuyft C: Human dermal fibroblast: A promising cellular model to study biological mechanisms of major depression and antidepressant drug response. Curr Neuropharmacol. 18:301–318. 2020. View Article : Google Scholar : PubMed/NCBI

18 

Wong T, McGrath JA and Navsaria H: The role of fibroblasts in tissue engineering and regeneration. Br J Dermatol. 156:1149–1155. 2007. View Article : Google Scholar : PubMed/NCBI

19 

Hsu CYM and Uludağ H: A simple and rapid nonviral approach to efficiently transfect primary tissue-derived cells using polyethylenimine. Nat Protoc. 7:935–945. 2012. View Article : Google Scholar : PubMed/NCBI

20 

Koster J and Waterham HR: Transfection of primary human skin fibroblasts for peroxisomal studies. Methods Mol Biol. 1595:63–67. 2017. View Article : Google Scholar : PubMed/NCBI

21 

Zhang S, Xu Y, Wang B, Qiao W, Liu D and Li Z: Cationic compounds used in lipoplexes and polyplexes for gene delivery. J Control Release. 100:165–180. 2004. View Article : Google Scholar : PubMed/NCBI

22 

Kundu PP and Sharma V: Synthetic polymeric vectors in gene therapy. Curr Opin Solid State Mater Sci. 12:89–102. 2008. View Article : Google Scholar

23 

Zhang Z, Slobodianski A, Arnold A, Nehlsen J, Hopfner U, Schilling AF, Perisic T and Machens HG: High efficiency low cost fibroblast nucleofection for GMP compatible cell-based gene therapy. Int J Med Sci. 14:798–803. 2017. View Article : Google Scholar : PubMed/NCBI

24 

Kucharski M, Mrowiec P and Ocłoń E: Current standards and pitfalls associated with the transfection of primary fibroblast cells. Biotechnol Prog. 37:e31522021.PubMed/NCBI

25 

Pezzoli D, Kajaste-Rudnitski A, Chiesa R and Candiani G: Lipid-based nanoparticles as nonviral gene delivery vectors. Methods Mol Biol. 1025:269–279. 2013. View Article : Google Scholar : PubMed/NCBI

26 

He L and Hannon GJ: Correction: MicroRNAs: Small RNAs with a big role in gene regulation. Nat Rev Genet. 5:6312004. View Article : Google Scholar : PubMed/NCBI

27 

Quévillon Huberdeau M and Simard MJ: A guide to microRNA-mediated gene silencing. FEBS J. 286:642–652. 2019. View Article : Google Scholar : PubMed/NCBI

28 

Peng B, Chen Y and Leong KW: MicroRNA delivery for regenerative medicine. Adv Drug Deliv Rev. 88:108–122. 2015. View Article : Google Scholar : PubMed/NCBI

29 

Paoletti C, Divieto C, Tarricone G, Di Meglio F, Nurzynska D and Chiono V: MicroRNA-mediated direct reprogramming of human adult fibroblasts toward cardiac phenotype. Front Bioeng Biotechnol. 8:5292020. View Article : Google Scholar : PubMed/NCBI

30 

Lee SWL, Paoletti C, Campisi M, Osaki T, Adriani G, Kamm RD, Mattu C and Chiono V: MicroRNA delivery through nanoparticles. J Control Release. 313:80–95. 2019. View Article : Google Scholar : PubMed/NCBI

31 

Chen L, Heikkinen L, Emily Knott K, Liang Y and Wong G: Evolutionary conservation and function of the human embryonic stem cell specific miR-302/367 cluster. Comp Biochem Physiol Part D Genomics Proteomics. 16:83–98. 2015. View Article : Google Scholar : PubMed/NCBI

32 

Sun S, Wang J, Liu J, Yin F, Xin C, Zeng X, Li J and Chen Q: MiR-302b suppresses tumor metastasis by targeting frizzled 6 in OSCC. J Dent Res. 100:739–745. 2021. View Article : Google Scholar : PubMed/NCBI

33 

He R, Tang GL, Niu L, Ge C, Zhang XQ, Ji XF, Fang H, Luo ZL, Chen M and Shang XF: Quietness Circ 0000962 promoted nerve cell inflammation through PIK3CA/Akt/NF-κB signaling by miR-302b-3p in spinal cord injury. Ann Palliat Med. 9:190–198. 2020. View Article : Google Scholar : PubMed/NCBI

34 

Basatemur GL, Jørgensen HF, Clarke MCH, Bennett MR and Mallat Z: Vascular smooth muscle cells in atherosclerosis. Nat Rev Cardiol. 16:727–744. 2019. View Article : Google Scholar : PubMed/NCBI

35 

Okui T, Iwashita M, Rogers MA, Halu A, Atkins SK, Kuraoka S, Abdelhamid I, Higashi H, Ramsaroop A, Aikawa M, et al: CROT (carnitine O-octanoyltransferase) is a novel contributing factor in vascular calcification via promoting fatty acid metabolism and mitochondrial dysfunction. Arterioscler Thromb Vasc Biol. 41:755–768. 2021. View Article : Google Scholar : PubMed/NCBI

36 

Iversen N, Birkenes B, Torsdalen K and Djurovic S: Electroporation by nucleofector is the best nonviral transfection technique in human endothelial and smooth muscle cells. Genet Vaccines Ther. 3:22005. View Article : Google Scholar : PubMed/NCBI

37 

Pfaffl MW: A new mathematical model for relative quantification in real-time RT-PCR. Nucleic Acids Res. 29:e452001. View Article : Google Scholar : PubMed/NCBI

38 

Younger ST and Corey DR: Transcriptional gene silencing in mammalian cells by miRNA mimics that target gene promoters. Nucleic Acids Res. 39:5682–5691. 2011. View Article : Google Scholar : PubMed/NCBI

39 

Wang Z: The guideline of the design and validation of MiRNA mimics. Methods Mol Biol. 676:211–223. 2011. View Article : Google Scholar : PubMed/NCBI

40 

McCoy AM, Collins ML and Ugozzoli LA: Using the gene pulser MXcell electroporation system to transfect primary cells with high efficiency. J Vis Exp. 7:16622010.

41 

Böttger J, Arnold K, Thiel C, Rennert C, Aleithe S, Hofmann U, Vlaic S, Sales S, Shevchenko A and Matz-Soja M: RNAi in murine hepatocytes: The agony of choice-a study of the influence of lipid-based transfection reagents on hepatocyte metabolism. Arch Toxicol. 89:1579–1588. 2015. View Article : Google Scholar : PubMed/NCBI

42 

Kasai H, Inoue K, Imamura K, Yuvienco C, Montclare JK and Yamano S: Efficient siRNA delivery and gene silencing using a lipopolypeptide hybrid vector mediated by a caveolae-mediated and temperature-dependent endocytic pathway. J Nanobiotechnology. 17:112019. View Article : Google Scholar : PubMed/NCBI

43 

Fan X, Yang J, Wu G, Wang M, Cheng X, Liu C, Liu Q, Wen Y, Meng S, Wang Z, et al: Optimization of cationic polymer-mediated transfection for RNA interference. Genet Mol Biol. 45:e202102372022. View Article : Google Scholar : PubMed/NCBI

44 

Jin HY, Gonzalez-Martin A, Miletic AV, Lai M, Knight S, Sabouri-Ghomi M, Head SR, Macauley MS, Rickert RC and Xiao C: Transfection of microRNA mimics should be used with caution. Front Genet. 6:3402015. View Article : Google Scholar : PubMed/NCBI

45 

Chan CL, Ewert KK, Majzoub RN, Hwu YK, Liang KS, Leal C and Safinya CR: Optimizing cationic and neutral lipids for efficient gene delivery at high serum content. J Gene Med. 16:84–96. 2014. View Article : Google Scholar : PubMed/NCBI

Related Articles

  • Abstract
  • View
  • Download
  • Twitter
Copy and paste a formatted citation
Spandidos Publications style
Kucharski M, Mrowiec P, Białka S, Misiołek H, Misiołek M, Sechman A, Zięba-Przybylska D and Ocłoń E: Non‑viral transfection methods optimized for miRNA delivery to human dermal fibroblasts. Mol Med Rep 27: 89, 2023.
APA
Kucharski, M., Mrowiec, P., Białka, S., Misiołek, H., Misiołek, M., Sechman, A. ... Ocłoń, E. (2023). Non‑viral transfection methods optimized for miRNA delivery to human dermal fibroblasts. Molecular Medicine Reports, 27, 89. https://doi.org/10.3892/mmr.2023.12976
MLA
Kucharski, M., Mrowiec, P., Białka, S., Misiołek, H., Misiołek, M., Sechman, A., Zięba-Przybylska, D., Ocłoń, E."Non‑viral transfection methods optimized for miRNA delivery to human dermal fibroblasts". Molecular Medicine Reports 27.4 (2023): 89.
Chicago
Kucharski, M., Mrowiec, P., Białka, S., Misiołek, H., Misiołek, M., Sechman, A., Zięba-Przybylska, D., Ocłoń, E."Non‑viral transfection methods optimized for miRNA delivery to human dermal fibroblasts". Molecular Medicine Reports 27, no. 4 (2023): 89. https://doi.org/10.3892/mmr.2023.12976
Copy and paste a formatted citation
x
Spandidos Publications style
Kucharski M, Mrowiec P, Białka S, Misiołek H, Misiołek M, Sechman A, Zięba-Przybylska D and Ocłoń E: Non‑viral transfection methods optimized for miRNA delivery to human dermal fibroblasts. Mol Med Rep 27: 89, 2023.
APA
Kucharski, M., Mrowiec, P., Białka, S., Misiołek, H., Misiołek, M., Sechman, A. ... Ocłoń, E. (2023). Non‑viral transfection methods optimized for miRNA delivery to human dermal fibroblasts. Molecular Medicine Reports, 27, 89. https://doi.org/10.3892/mmr.2023.12976
MLA
Kucharski, M., Mrowiec, P., Białka, S., Misiołek, H., Misiołek, M., Sechman, A., Zięba-Przybylska, D., Ocłoń, E."Non‑viral transfection methods optimized for miRNA delivery to human dermal fibroblasts". Molecular Medicine Reports 27.4 (2023): 89.
Chicago
Kucharski, M., Mrowiec, P., Białka, S., Misiołek, H., Misiołek, M., Sechman, A., Zięba-Przybylska, D., Ocłoń, E."Non‑viral transfection methods optimized for miRNA delivery to human dermal fibroblasts". Molecular Medicine Reports 27, no. 4 (2023): 89. https://doi.org/10.3892/mmr.2023.12976
Follow us
  • Twitter
  • LinkedIn
  • Facebook
About
  • Spandidos Publications
  • Careers
  • Cookie Policy
  • Privacy Policy
How can we help?
  • Help
  • Live Chat
  • Contact
  • Email to our Support Team